2. 船舶和海洋水动力湖北省重点实验室,湖北 武汉 430073;
3. 武汉理工大学 绿色智能江海直达船舶与邮轮游艇研究中心,湖北 武汉 430063
2. Hubei Key Laboratory of Naval Architecture & Ocean Engineering Hydrodynamics (HUST), Wuhan 430073, China;
3. Green & Smart River-Sea-Going Ship, Cruise and Yacht Research Center, Wuhan University of Technology, Wuhan 430063, China
现代潜艇多采用双层壳结构设计,当其遭遇水下非接触爆炸时,不仅存在轻外壳双面水及耐压壳单面水等复杂的流固耦合效应,同时存在流体空化、结构塑性变形/破口等强非线性效应。
提升双壳舰艇水下抗冲击能力方法一般分为两大类:一是优化结构本身参数及形状;二是采用抗冲击防护结构吸收冲击能量并保护结构。对于前者,常规双壳潜艇的影响因素主要考虑内外壳体厚度、舷间水体积、舷间肋骨结构形式等[1 - 5]。研究发现,外壳厚度增加会导致其冲击响应增加,而内壳厚度增加能减小内部冲击响应;舷间水能吸收一部分爆炸冲击能量,从而提升双层壳舰船抗爆性能。舷间肋骨对抗冲性能的影响与肋骨间距 l、型材剖面积 A、肋骨厚度 h 有关,当 hl/A 取值在 3~4 时,结构拥有更好的抗冲击性能;叶珍霞等[6]将传统T型加筋改良为圆管型加筋,发现圆管型加筋结构具有更好的缓冲和防护性能。后者而言,可采用敷设防护层或者单层轻外壳替换为三明治结构等[7 - 15]手段提升双壳舰艇抗冲击性能。研究表明,双层圆柱壳无覆盖层时变形模式主要为大面积塑性变形及拉伸破坏,而敷设覆盖层后主要破坏模式为拉伸破坏和剪切破坏。覆盖层材料包括橡胶、聚脲、高分子聚乙烯等,敷设位置的不同作用也有差异,敷设在外壳外侧能更好保护外壳,而敷设在外壳内侧,加上舷间水的作用,能更好地保护内壳。三明治夹芯型轻外壳依靠夹芯体的受压压缩坍塌变形大量吸收冲击波能量令冲击波快速衰减,同时延迟冲击波到达舰艇主体结构的时间,让舰船主体结构接受尽可能少的冲击能[16 - 17]。
目前关于潜艇抗冲击研究工作仍较稀少,对充水双层壳结构中冲击载荷传递路径中结构动态响应研究、流体空化现象演变过程、防护结构设计参数对抗冲效能的影响机制等仍缺乏系统研究。本文针对带舷间水的双壳潜艇结构建立局部等效充水双层板模型,基于可压缩多相流、等熵空化流和塑性冲击波理论,建立外流体-含防护层外板-舷间水、舷间连接结构-内板非线性双面水流固耦合冲击动力学模型,重点研究冲击载荷的传递特性、分析结构抗冲击响应、流场的空化效应及提供防护优化建议。研究工作旨在为轻外壳敷设防护结构用以提升双层壳潜艇抗冲击性能的方法提供指导意见。
1 流固耦合计算模型 1.1 流固耦合模型建立水下爆炸冲击下带防护层的充水双板非线性双面水流固耦合冲击动力学计算模型应该主要包括外流体、防护层、外板、舷间水、舷间连接结构、内板6部分。将轻外壳等效为厚度较薄的外板,将耐压壳等效为厚度较厚的内板;舷间连接结构强度用刚度系数为 K1 的连接弹簧表征;并用刚度系数为 K3 的连接弹簧表征耐压壳抵抗变形的能力。故而建立的外流体-含防护层外板-舷间水、舷间连接结构-内板非线性双面水流固耦合冲击动力学计算模型如图1(a)所示。为了对比外板防护层抗冲击效能,同时建立了外板无防护层时的对比模型,如图1(b)所示。
|
图 1 充水双层板模型示意图 Fig. 1 Analytical model of double plate structure sandwiched with water |
在充水双层板计算模型中,外流域和双层板之间的流体为水,舷间水厚度为500 mm。内外板均为正方形钢板,密度为
防护层为较软的材料主要起到缓冲作用,在本模型中选用聚氨脂泡沫充当防护层,防护层厚度为50 mm,建立如图1(a)所示含防护层模型。本文中选用3种不同密度的聚氨酯泡沫,用于研究防护层力学特性变化对抗冲效能的影响规律。3种不同密度聚氨酯泡沫材料的压缩应力应变曲线如图2所示。在理论分析模型中,防护层在冲击载荷作用下的动响应采用塑性冲击波理论求解,聚氨酯泡沫具体材料参数如表1所示。
|
图 2 聚氨酯泡沫应力应变曲线 Fig. 2 Stress-strain curve of polyurethane foam |
|
|
表 1 聚氨酯泡沫材料参数 Tab.1 Polyurethane foam material parameters |
水下爆炸冲击载荷经外流场作用到外板/防护层,随后经舷间水及舷间连接结构传递到内板。该过程涉及结构大变形、流固耦合、空化和波的入射、反射、透射。本文拟联合可压缩多相流、等熵空化流和塑性冲击波理论求解该问题。其中流体及其空化采用可压缩多相流联合等熵空化流求解,防护层塑性变形过程采用塑性冲击波理论求解,结构运动采用牛顿第二定律求解,具体如下。
1)冲击载荷
水下爆炸产生的冲击波压力 pin 随着时间 t 以指数形式衰减:
| $ p_{ {\rm in }}(t)=p_{0} e^{-t / \theta}。$ | (1) |
式中:p0 为冲击波峰值压力;θ 为时间衰减系数;p0及 θ 与爆炸源的类型、质量、爆炸距离等有关。
距离爆点较远流场某一位置处压力 p 在任意时刻皆为该点处静水压力 pe 与指数衰减冲击波压力 pin 的叠加,可表示为:
| $ p(t)=p_{e}+p_{\rm in}(t)。$ | (2) |
本文将静水压力设为一个大气压,即 pe=0.1 MPa,设定到达双层壳外板的冲击波峰值压力为 p0=
2)结构响应
如图1所示,计算模型中,u为位移参量,V为速度分量,p为耦合面压力,各部件分量标识见图1,其中带防护层结构参数角标标注为i,相应光板参数分量角标为ii。
①防护层运动及变形
防护层采用聚氨酯塑性泡沫,在冲击载荷作用下,会发生非线性塑性变形,采用塑性冲击波理论求解该过程,其控制方程如下:
| $ \left\{ \begin{array}{l} V^+-V^-=V_s\left(\varepsilon^+-\varepsilon^-\right),\\ \sigma^+-\sigma^-=\rho_RV_s\left(V^+-V^-\right),\\ E^+-E^-=\left(\sigma^++\sigma^-\right)\left(\varepsilon^+-\varepsilon^-\right)/(2\rho_R)。\end{array}\right. $ | (3) |
式中:ρR 为防护层初始密度;VS 为冲击波波阵面传播速度;V 为粒子速度;+ 和 − 分别为波后和波前状态。
②内外板运动
在冲击载荷作用下,内板和外板会发生运动,其运动方程为:
| $ \left\{\begin{array}{l} m_1\ddot{u}_2-p_1+p_2+K_1\left(u_2-u_3\right)=0 ,\\ m_2\ddot{u}_3-p_3-K_1\left(u_2-u_3\right)+K_3u_3=0 。\end{array}\right. $ | (4) |
式中:m1 和m2 分别为外板和内板的面密度,kg/m3;p1、p2 和 p3 分别为外流体-外板液固交界面、舷间水-外板液固交界面和舷间水-内板液固交界面压力,通过求解流体响应获得。
3)流场响应
①可压缩流体方程及流体空化
针对流体,采用可压缩多相流模拟,求解可压缩流体欧拉方程,即:
| $ \boldsymbol{U}_{t}+\nabla \cdot \boldsymbol{F}(\boldsymbol{U})=\boldsymbol{S}(\boldsymbol{U})。$ | (5) |
式中:t 为时间;U、F(U)、S(U)和
| $ \left\{ \begin{aligned} & \boldsymbol{U}=\left[\rho,\rho u,E\right]^{\mathrm{T}}, \\ & \boldsymbol{F}(\boldsymbol{U})=\left[\rho u,\rho u^{2}+p,(E+p)u\right]^{\mathrm{T}}, \\ & \nabla={\frac{\partial}{\partial x}}。\end{aligned} \right. $ | (6) |
式中:ρ 为密度;u 为速度;p 为压力;E 为单位体积的总能量,可表示为:
| $ E=\rho e+\rho u^{2} / 2。$ | (7) |
式中:e 为单位质量内能。
外板/防护层的运动及变形会反射稀疏波,使流体出现空化,空化的产生会截断冲击载荷传播,而空化溃灭又辐射新的冲击载荷,是一个复杂的强非线性问题。本文采用等熵空化流模型模拟非定常空化的产生、发展及溃灭过程。在应用单流体空化模型时,流体粘性、湍流、热力学不平衡以及空化表面张力的影响可以忽略不计。此时,欧拉方程可以应用于求解有水下爆炸产生的空化流动,并应用均质等熵的Tait流体状态方程模拟水,空化混合流体假设为均质且等熵。基于这种假设,等熵单流体模型可以模拟非稳态空化:
| $ \rho=\alpha \rho_{g}+(1-\alpha) \rho_{l}。$ | (8) |
式中:ρ 为空化汽液混合物的密度;ρg 为水蒸汽的密度,ρl 为水的密度;α 为孔隙分数;汽液质量传递通过每个时间步求解孔隙分数获取。孔隙分数可通过下式求解:
| $ \frac{\alpha}{1-\alpha}=k \frac{\left(\bar{p} / \bar{p}_{\mathrm{cav}}\right)^{1 / N}}{\left(p / p_{\mathrm{cav}}\right)^{1 / \gamma}}。$ | (9) |
代入式(6),则等熵单流体空化模型变为:
| $ \rho=\frac{k\rho_{g}^{\mathrm{cav}}+\rho_{l}^{\mathrm{cav}}}{\left(\overline{p}/\overline{p}_{\mathrm{cav}}\right)^{-1/N}+k\left(p/p_{\mathrm{cav}}\right)^{-1/\gamma}}。$ | (10) |
式中:k = α0 / (1-α0);
综上,考虑空化流体水的状态方程可以表示为:
| $ \rho= \left\{\begin{aligned} &\rho_0\left(\displaystyle\frac{\overline{p}}{B}\right)^{1/N}, \ \ p >p_{\mathrm{sat}},\\ &\displaystyle\frac{k\rho_g^{\mathrm{cav}}+\rho_l^{\mathrm{cav}}}{\left(\overline{p}/\overline{p}_{\mathrm{cav}}\right)^{-1/N}+k\left(p/p_{\mathrm{cav}}\right)^{-1/\gamma}} ,\ \ p \leqslant q p_{\mathrm{sat}} 。\end{aligned}\right. $ | (11) |
本文取 k =
②液固界面捕捉及耦合
采用水平集法捕捉液-固界面位置,再建立界面两端的黎曼问题并求解确定界面状态,最后通过外推方程给界面附近的网格赋值。水平集方程、液固界面状态和外推方程可分别表示为:
| $ \left\{\begin{aligned} & \displaystyle\frac{\partial\phi(\boldsymbol{x},t)}{\partial t}+\boldsymbol{u}\cdot\nabla\phi(\boldsymbol{x},t)=0,\\ & \boldsymbol{U}_I=\Re^*(\boldsymbol{U}_{i-1},u_I),\\ & \displaystyle\frac{\partial\boldsymbol{q}}{\partial t}+\boldsymbol{N}\cdot\nabla\boldsymbol{q}=0。\end{aligned}\right. $ | (12) |
式中:追踪函数 ϕ(x,t) 为各个网格点到界面的距离;u = (u, v, w)为欧拉网格的流体速度;
采用高精度高并行龙格库塔间断伽辽金方法求解上述流体方程及结构运动方程,获得冲击载荷传播、流体流动等流场响应和结构动态冲击响应过程。
1.4 计算工况本文主要研究外板敷设防护层后的抗冲击效果及防护层参数变化、舷间连接结构参数变化和内板刚度变化对防护层抗冲效能的影响规律。因此,本文共计算10种工况,如表2所示,工况1~工况3用于分析防护层力学参数变化对防护效能的影响;工况4~工况6用于分析舷间连接结构刚度变化对抗冲效能的影响规律;工况7~工况9用于分析内板刚度变化对抗冲效能的影响规律。工况10为外板无防护层的对比工况。表2中各个工况下的对比变化参数值均已添加下划线。
|
|
表 2 计算工况表 Tab.2 Sandwich parameters and spring K1, K3 strength setting |
图3 (a)为外流场-外结构交界面压力曲线,由图可知,在冲击波作用到外结构的一瞬间,由于瞬间反射作用,压力迅速增加,峰值接近入射冲击波峰值的两倍。随后由于外结构的运动及变形,压力迅速降低。对于外板无防护层的工况10,p11 在内板反射冲击波第一次传回外板时,其型态与入射冲击波基本一致,即冲击波透过外板。后续由于冲击波在舷间水中的来回反射。而外板有防护层的工况1,由于防护层具有一定厚度且易发生塑性大变形,p1迅速从初始的峰值压力降低到一个压力平台,由塑性冲击波理论可知,该平台在防护层屈服强度0.67 MPa附近,直到冲击波衰减到无法使防护层继续塑性变形为止,该过程持续时长约 5 ms。p11 和 p1的对比结果表明,防护层会显著改变流固耦合面压力型态。
|
图 3 工况1和工况10中各流固耦合面压力时程曲线 Fig. 3 The history curve of pressure on different solid-structure interaction interface in case 1 and case 10 |
图3 (b)为舷间水-外板耦合交界面处的压力结果,p22相比 p11,p22在冲击波作用瞬间没有瞬态反射导致的峰值压力,且存在由于舷间水中冲击波来回反射的瞬态压力变化,但是该变化持续时间非常短。p2除了舷间水中冲击波来回反射导致的压力波动外,基本保持与 p1相同的平台压力。
图3 (c)为舷间水-内板耦合面压力结果,由图中可知,p2和 p22会直接影响 p3及 p33的压力型态。针对外板敷设防护层的工况,作用到内板的冲击波峰值大大衰减。
综上所述,防护层改变了外流场-外结构耦合面压力,进而改变了最终传递到内板的冲击载荷。
为了进一步评估有无防护层对各流固耦合压力的影响,将3个流固耦合面的压力分别关于时间积分(积分时长取10 ms),并关于
| $ {\bar I_{i\max }}{\text{ = }}{{\int_0^t {{p_i}(t)\mathrm{d}t} } \mathord{\left/ {\vphantom {{\int_0^t {{p_i}(t)dt} } {2{p_0}\theta }}} \right. } {2{p_0}\theta }},{\text{ }}i = 1,11,2,22,3,33。$ | (13) |
得到工况1和工况10中,3个流固耦合面的无量纲冲量结果,列于表3中。从表中可以看出,当外板敷设防护层(工况1)后,可显著降低作用到3个流固耦合面的冲击波冲量。定义外板敷设防护层后冲量降低率为:
|
|
表 3 工况1和工况10中各流固耦合面冲量对比 Tab.3 Comparison of total impulse on each fluid-structure interaction interface in case 1 and case 10 |
| $ \Delta = {{\left( {{{\bar I}_{ii\max }} - {{\bar I}_{i\max }}} \right)} \mathord{\left/ {\vphantom {{\left( {{{\bar I}_{ii\max }} - {{\bar I}_{i\max }}} \right)} {{{\bar I}_{ii\max }}}}} \right. } {{{\bar I}_{ii\max }}}},{\text{ }}i = 1,2,3。$ | (14) |
由表3可知,外板敷设防护层后,3个流固耦合面的冲击波冲量降低量均在60%左右。
2.2 流场空化在水下爆炸冲击波作用下,结构的运动及变形会产生稀疏波,而稀疏波为拉伸波,可能会使流体发生空化。图4为外流场及舷间水的流场压力结果,图中灰色填充区域即为空化区域。从图中工况10和工况1的对比结果可知,外板有防护层后,流体空化区别很大。针对外板无防护层的工况10,当冲击波作用到外板,外板开始运动后,流体并未发生空化;然而外板运动会通过舷间连接结构(即弹簧K1)传递到内板,内板开始运动,使得靠近内板区域流体出现短暂空化现象,随着舷间水中冲击波传递过来,空化会溃灭,该阶段的空化现象可忽略不计。内板在舷间水传递的冲击波的作用下继续运动,最终导致舷间水出现空化并向外板传递,进而使外流域空化。针对敷设防护层的工况1,从图中可以看出,当冲击波作用到防护层面板后,由于防护层的强可压缩性,使得面板快速运动,产生较大冲击波,使外流场迅速发生空化。由于外板和内板运动均较小,舷间水几乎没有空化发生。对比工况1和工况10可知,由于防护层在冲击波作用下运动响应更大,导致外流场空化早且空化持续时间长。
|
图 4 工况1~工况3和工况10的流场压力及空化结果 Fig. 4 Dynamic pressure and cavitation evolution in fluid field in case 1~case 3 and case 10 |
图5为外板有防护层(工况1)和外板无防护层(工况10)时结构的运动速度结果。从图5(a)可知,在相同的入射冲击波作用下,防护层面板运动速度V1显著>无防护层的外板运动速度V22,这是因为防护层强度低,聚氨酯泡沫被压溃产生塑性大变形。同时,由于V1大于V22,也直接导致图3(a)中p1比p11衰减更快。工况1中,由于防护层快速运动的防护作用,可以有效降低外板运动,V2速度峰值为0.7 m/s,V22速度峰值为6 m/s,说明外板敷设防护层后,速度峰值降低了88%。
|
图 5 工况1和工况10中防护层面板、外板和内板速度结果 Fig. 5 Velocity histories of face plate, outer plate and inner plate in case 1 and case 10 |
图5(b)为外板有无防护层时内板速度结果,从图中可以看出,外板敷设防护层后,可显著降低内板运动。外板无防护层时,内板速度峰值为7.3 m/s;外板有防护层时,内板速度峰值为0.6 m/s。因此,外板敷设防护层后,内板速度峰值降低率达92%。综上,外板敷设防护层后,冲击波作用下防护层会发生大变形,进而大大降低外板及内板的运动。
综上所述,通过对比外板敷设防护层和不敷设防护层的冲击响应可知,敷设防护层后,可大大降低内外板冲击响应,其防护机理体现在两方面:一是覆盖层运动改变流固耦合面冲击波形态,进而降低作用到结构的冲击波冲量,本节工况中,敷设防护层后,冲量降低达60%;二是防护层通过塑性大变形吸收冲击波能量,降低外板和内板冲击响应,本节工况中,敷设覆盖层后外板速度峰值降低达88%,内板速度峰值降低达92%。
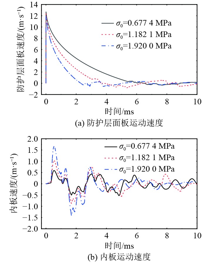
3 参数变化对抗冲性能的影响 3.1 防护层屈服强度变化选取σ0 =
图6为改变防护层时传递到内板的冲击波压力结果。从图中看出,当入射冲击波不变时,随着防护层屈服强度增加,传递到内板的冲击载荷强度也随之增加。这是因为防护层屈服强度增加,导致冲击载荷作用下防护层运动变慢,使得外流场-防护层面板耦合面冲击载荷衰减变缓,进而传递到舷间水的冲击载荷变大。将各流固耦合面的冲击波压力关于时间积分并无量纲化,得到防护层屈服强度变化时各流固耦合面冲击波冲量结果,如表4所示。由表可知,随着防护层屈服强度增加,冲量有所增加,但仍远低于表3所示的无防护层的结果。
|
图 6 不同防护层时舷间水-内板交界面压力结果 Fig. 6 Dynamic pressure imparted on the inner plate for different panel protective layer |
|
|
表 4 防护层参数变化时系统冲击响应结果 Tab.4 The influence of protective layer density on impact response |
图7给出了防护层屈服强度变化时防护层面板速度结果和内板速度结果。结果表明,防护层屈服强度增加,防护层面板峰值速度降低,速度衰减更快。这是因为,防护层屈服强度越高,越不易压溃,则速度峰值会降低,衰减会变快。对内板而言,防护层屈服强度增加,压溃难度增加,传递到内板的冲击载荷强度变大,内板运动速度也变大。因此,增加防护层屈服强度,内板冲击响应增大。由表4可知,随着屈服强度增加,防护层面板峰值速度呈降低趋势,而外板和内板的峰值速度均呈现出上升趋势。流场空化和结构运动息息相关。
|
图 7 不同防护层时防护层面板速度结果 Fig. 7 The velocity results of face sheet, outer panel and inner panel for different protective layer |
图4为工况1~工况3的流场压力及空化结果,由图可知,改变防护层屈服强度时,空化波前的扩展变化不大。这是因为空化波前由防护层面板初始阶段的运动速度决定,尽管速度峰值有所降低,但降低量较小,对空化波前的扩展影响不大。然而,防护层屈服强度变化对空化溃灭波前的扩展影响较大。随着防护层屈服强度增加,空化溃灭更早,空化溃灭波前扩展更快。这是因为空化溃灭过程由防护层面板完整的速度响应过程决定,由图7(a)可知,屈服强度越大,面板速度衰减越快,则空化溃灭更早且空化波前扩展更快。防护层通过牺牲自己达到降低舰艇结构冲击响应的目的。改变防护层屈服强度时,冲击载荷作用下防护层最大压缩量结果如表4所示。可以看出,在相同入射冲击波下,防护层越软,则最大压缩量越大。因此,尽管防护层越软,被防护结构冲击响应越小,但需要的防护层厚度也更厚。
3.2 K1刚度变化潜艇轻外壳和耐压壳通过铺板、肋板等舷间结构连接,在水下爆炸冲击载荷作用下,冲击载荷作用到轻外壳后,会通过舷间水和舷间连接结构2条通道传递到耐压壳。因此,舷间连接结构力学特性变化也会影响耐压壳的冲击响应。本文中,以工况4、工况5、工况1及工况6对舷间连接结构强度对冲击响应的影响进行分析。
图8为K1变化时结构峰值速度、各流固耦合面无量纲冲量及防护层压缩量结果。结果表明,K1的变化对结构速度响应和防护层压缩量影响均很小。图8(b)中各流固耦合面的冲量结果表明,K1变化对外流场-防护层面板交界面处冲量影响较小,但是随着K1增加,舷间水与外板和内板交界面处的冲量会降低。这是因为随着K1增加,通过K1传递的载荷增加,则通过流体传递的载荷就减少了,导致流固耦合面处冲击波冲量减小。综上所述,舷间连接结构的刚度K1对防护层抗冲击效能影响较小。
|
图 8 K1变化对结构速度、流固耦合面最大冲量及夹防护层压缩量的影响 Fig. 8 The results of structure velocity, impulse acted on the fluid-structure interaction and the compression of protective layer when the stiffness of K1 is changed |
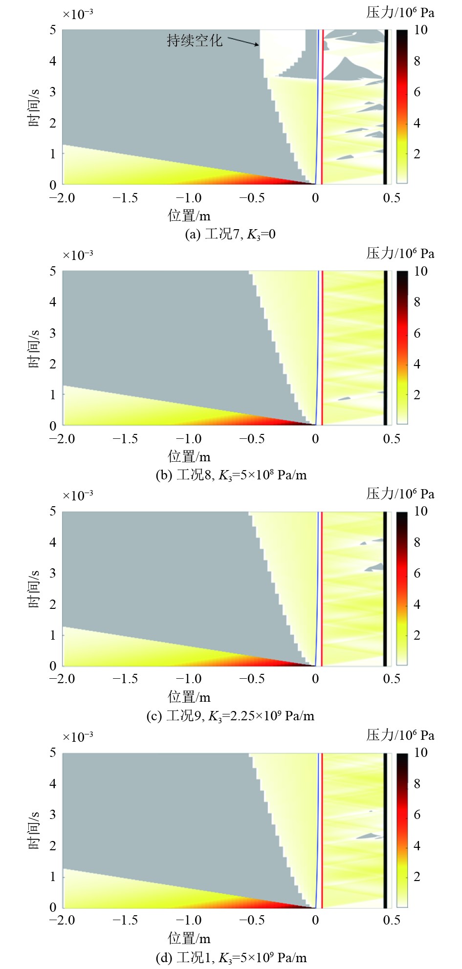
耐压壳的运动决定了潜艇内部装备的冲击环境。因此,耐压壳抵抗变形的能力也是系统冲击响应的重要影响参数。本文中,采用弹簧K3表征耐压壳抵抗变形的能力,取0、5×108、2.25×109、5×109 Pa/m四种刚度,分别对应工况7、工况8、工况9、工况1。图9给出了K3变化时外流场及舷间水中压力分布及空化特性。由于外流场空化主要由防护层面板的运动决定,而K3对防护层压缩停止前的运动影响较小。因此,4种工况中外流场空化扩展及空化溃灭扩展结果变化较小。舷间水空化主要由内板运动决定,当K3较小时,内板运动速度大,舷间水更易空化,如图9中工况7所示。将各流固耦合面压力积分并无量纲化,得到各流固耦合面冲击波冲量结果,如表5所示。针对K3=0的理想情况,由于面板、外板和内板达到共同速度后不会衰减,流体空化会持续,导致各流固耦合面无量纲冲量最小。随着K3刚度增加,各流固耦合面无量纲冲量先增加再减小。
|
图 9 改变K3时流场压力分布及空化演化的变化规律 Fig. 9 The pressure distribution and cavitation evolution in fluid when the stiffness of K3 is changed |
|
|
表 5 K3刚度变化对系统冲击响应的影响 Tab.5 The influence of K3 on the shock response |
图10为不同K3刚度下防护层面板、外板及内板的运动速度结果。可以看出,防护层前面板在冲击载荷作用的初始阶段即达到速度峰值,随后一直处于减速阶段;而外板和内板则缓慢加速或振动,直到面板速度下降到和外板速度一致时,防护层停止压缩,防护层面板和外板以相同的速度共同运动。随着K3增加,其对防护层面板速度影响不大,但外板和内板的速度增加变慢,防护层可以充分压缩,起到很好的抗冲击作用。由表可知,当K3从0增加到5×109 Pa/m时,防护层压缩量增加了57%;防护层面板速度峰值无变化;外板和内板速度降低约77%。
|
图 10 不同耐压壳强度下的双层壳结构速度响应 Fig. 10 Velocity response of double shell structure under different pressure shell strength |
综上,K3越大,代表耐压壳抵抗变形的能力增强,其冲击响应也随之变小,此时防护层压缩量会显著增加。因此,防护层设计时要考虑被防护结构抵抗变形的能力,使防护层比被保护结构更易变形,才能起到防护效能。
4 结 语本文针对双壳潜艇抗冲击防护问题,将其简化为弹性连接充水双层板模型,基于可压缩多相流、等熵空化流和塑性冲击波理论,建立外流体-含防护层外板-舷间水、舷间连接结构-内板非线性双面水流固耦合冲击动力学模型;研究外板敷设防护层时的双层壳抗冲击效能;分析防护层力学特性变化、舷间连接结构刚度变化和内板刚度变化对防护层抗冲效能的影响规律。具体结论如下:
1)外板敷设防护层可有效降低系统冲击响应,一方面防护层的快速运动及压缩会改变外流场-结构流固耦合面的冲击波型态,进而降低内板的冲击波冲量,本文工况中,敷设防护层后,冲量降低达60%;另一方面防护层通过压缩变形吸收冲击波能量,降低外板和内板冲击响应,本文工况中,外板速度峰降低达88%,内板速度峰值降低达92%。
2)防护层力学特性是影响抗冲击效能的重要因素。当入射冲击波不变时,软防护层抗冲击效果更好,但防护层压缩量更大。因此,在实际工程应用中,要根据防护层厚度限制和冲击环境强度,优化分析获得防护层力学特性参数。
3)舷间连接结构的刚度变化对防护层抗冲击效能影响较小。内板支撑弹簧刚度对防护层抗冲击效能影响较大,内板支撑弹簧刚度增加,可增加防护层压缩量、降低结构冲击响应,起到更好的防护效果。因此,防护层设计时,要综合考虑内板刚度,使防护层相对于内板更易变形,才能更好地发挥抗冲击效果。
| [1] |
姚熊亮, 梁德利, 许维军. 结构参数变化对双层圆柱壳冲击响应的影响[J]. 哈尔滨工程大学学报, 2006, 27(4): 477-483. YAO X L, LIANG D L, XV W J. The effect of changing structure parameters on impulse response of double cylinder shell structure[J]. Journal of Harbin Engineering University, 2006, 27(4): 477-483. |
| [2] |
李玉节, 李国华, 赵本立, 等. 双层壳体对水下爆炸作用的影响研究[J]. 船舶力学, 2006, 10(5): 127-134. LI Y J, LI G H, ZHAO B L, et al. Influence of double hull structure on the effects of underwater explosion[J]. Journal of Ship Mechanics, 2006, 10(5): 127-134. |
| [3] |
肖巍, 张阿漫, 汪玉. 具有内域的双层加筋圆柱壳动响应特性[J]. 力学学报, 2014, 46(1): 120-127. XIAO W, ZHANG A M, WANG Y. Dynamic response of double ring-stiffened cylindrical hull with internal fluid[J]. Chinese Journal of Theoretical and Applied Mechanics, 2014, 46(1): 120-127. |
| [4] |
HUANG S Z, TONG X D, CHEN Y, et al. Effects of internal fluid on the dynamic behaviors of double cylindrical hulls subjected to underwater explosion[J]. Journal of Offshore Mechanics and Arctic Engineering, 2022, 144(4): 041701. DOI:10.1115/1.4053699 |
| [5] |
GAO F, JI C, LONG Y, et al. Numerical investigation of the dynamic response of CWC structures subjected to underwater explosion loading[J]. Ocean Engineering, 2020, 203: 107214. DOI:10.1016/j.oceaneng.2020.107214 |
| [6] |
叶珍霞, 谌勇. 水下爆炸载荷下圆管型加筋缓冲防护性能研究[J]. 噪声与振动控制, 2023, 43(1): 239-243+274. YE Z X, CHEN Y. Shock mitigation of circular tubular stiffeners subjected to underwater explosion loads[J]. Noise and vibration control, 2023, 43(1): 239-243+274. |
| [7] |
ZHANG Z F, MING F R, ZHANG A M. Damage characteristics of coated cylindrical hulls subjected to underwater contact explosion [J]. Shock and Vibration, 2014, 2014.
|
| [8] |
ZHANG Z F, LI H L, WANG L K, et al. Protection mechanism of underwater double-hull coated with UHMW-PE subjected to shaped charge[J]. Ocean Engineering, 2023, 272: 113842. DOI:10.1016/j.oceaneng.2023.113842 |
| [9] |
LIU J, AN F J, NIU Z Y, et al. Study on the blast-resistance of polyurea-steel plates subjected to underwater explosion[J]. Ocean Engineering, 2022, 265: 111814. DOI:10.1016/j.oceaneng.2022.111814 |
| [10] |
YIN C Y, JIN Z Y CHEN Y, et al. Effects of sacrificial coatings on stiffened double cylindrical hulls subjected to underwater blasts[J]. International Journal of Impact Engineering, 2020, 136: 103412. DOI:10.1016/j.ijimpeng.2019.103412 |
| [11] |
ZHANG Y, LI Y G, GUO K L, et al. Dynamic mechanical behaviour and energy absorption of aluminium honeycomb sandwich face plates under repeated impact loads[J]. Ocean Engineering, 2021, 219: 108344. DOI:10.1016/j.oceaneng.2020.108344 |
| [12] |
WU X, LI Y G, CAI W, et al. Dynamic responses and energy absorption of sandwich face plate with aluminium honeycomb core under ice wedge impact[J]. International Journal of impact Engineering, 2022, 162: 104137. DOI:10.1016/j.ijimpeng.2021.104137 |
| [13] |
KORUPOLU D K, BUDARAPU P R, VUSA V R, et al. Impact analysis of hierarchical honeycomb core sandwich structures[J]. Composite Structures, 2022, 280: 114827. DOI:10.1016/j.compstruct.2021.114827 |
| [14] |
SUN G Y, HUO X T, WANG H X, et al. On the structural parameters of honeycomb-core sandwich face plates against low-velocity impact[J]. Composites Part B: Engineering, 2021, 216: 108881. DOI:10.1016/j.compositesb.2021.108881 |
| [15] |
SCHIFFER A, TAGARIELLI V L. The one-dimensional response of a water-filled double hull to underwater blast: experiments and simulations[J]. International journal of impact engineering, 2014, 63: 177-187. DOI:10.1016/j.ijimpeng.2013.08.011 |
| [16] |
YIN C Y, YU H T, JIN Z Y, et al. Investigation of shock wave propagation and water cavitation in a water-filled double plate subjected to underwater blast[J]. International Journal of Mechanical Sciences, 2023, 253: 108400. DOI:10.1016/j.ijmecsci.2023.108400 |
| [17] |
YIN C Y, LIU J X, JIN Z Y, et al. A comparative study of underwater shock wave propagation in the single or water-filled double plate[J]. Available at SSRN 4339665, 2023.
|
2025, Vol. 47
