2. 湖南省特种设备检验检测研究院,湖南 长沙 410117
2. Hunan Special Equipment Inspection and Testing Research Institute, Changsha 410117, China
目标回波中包涵着目标许多信息,是检测、识别水中目标的重要依据,发展更加高效、实时的散射回波模拟方法具有十分重要的现实意义[1 - 3]。
现阶段,研究水下复杂目标回声特性的预报方法主要分为数值积分方法和基于亮点模型的部件法两大类。数值积分方法主要包括有限元法、边界元法和板块元方法[4 - 5]等。其中,有限元法和边界元法只适用于计算量较小的低频问题,而基于Kirchhoff近似的板块元法能够克服高频计算量大的问题。对表面曲率较大或较复杂形状的目标,薛亚强等[6]采用曲面三角单元的高斯-勒让德求积方法对面积分直接数值计算,比传统的平面三角单元计算速度更快。声波在复杂凹面目标上会发生多次散射,柴鹏程等[7]基于Kirchhoff近似和射线追踪理论,考虑多次散射和遮挡影响,提出一种计算水下角反射组合体散射声场的快速预报方法(改进PEM法)。基于亮点模型[8]的部件法将复杂形状目标分解为一组简单形状的子目标,每个子目标的回波通过解析式表示,不仅计算快捷,而且物理概念清晰,具有明显的计算速度优势,常用于指导目标体结构或声诱饵的设计。MENG等[9]研究了双基地系统中有限长刚性圆柱体的声散射亮点模型。刘进伟等[10]借鉴变形柱方法的思想,通过分割变截面斜凸体结构得到微元目标,用亮点模型近似描述微元目标的散射声场,同时将相位因素考虑在内,进一步提升了亮点模型的实用价值。
本文基于修正亮点模型理论,引入多层弹性介质声传播理论对敷瓦水下航行体的回波进行仿真,考虑了声学覆盖层的反射系数对回波幅值和相位的影响,以及目标子部件间的相位干涉。通过计算得到水下目标的总声散射传递函数,将入射时域信号通过傅里叶变换后与频域传递函数进行点积,再经过傅里叶逆变换得到目标时域回波信号,并与板块元方法计算得到的回波信息以及光壳目标回波进行对比,进一步验证了基于修正亮点模型的时域回波快速预报方法的准确性。
1 目标的回声特性预报方法 1.1 修正亮点模型理论在高频条件下,理论分析和实验研究表明,复杂目标的回波通常由多个子回波叠加而成。每个子回波可以看作是由一个散射中心发出的波,这些散射中心被称为亮点。亮点不仅可以是物理上存在的真实点,也可以是某些等效点。因此,任何复杂目标都可以等效为由若干个亮点组成的系统,每个亮点产生一个对应的回波,最终的回波是这些亮点回波的干涉叠加结果。
收发合置时,定义远场频率为
| $ H\left( {\vec r,\omega } \right) = A\left( {\vec r,\omega } \right)V\left( \theta \right){e^{i\omega \tau }}{e^{i\varphi }}。$ | (1) |
式中:
复杂目标可以模型化为多个子亮点目标的叠加,根据线性叠加原理,总的传递函数表示为:
| $ H\left( {\vec r,\omega } \right) = \sum\limits_{m = 1}^N {{H_m}\left( {\vec r,\omega } \right)} = \sum\limits_{m = 1}^N {{A_m}\left( {\vec r,\omega } \right){V_m}\left( \theta \right){e^{i\omega {\tau _m}}}{e^{i{\varphi _m}}}}。$ | (2) |
弹性目标的反射、透射问题可以用多层弹性介质声传播理论表示,声波在多层均匀介质的传播过程如图1所示。
|
图 1 多层弹性介质声传播示意图 Fig. 1 Schematic diagram of viscoelastic stratified solid sound propagation |
图中,第1层到第
在任意层中,波函数由势函数表示,有以下定义:
| $ {\phi _l}{\text{ = (}}{A_l}{e^{i{\alpha _l}z}}{\text{ + }}{B_l}{e^{ - i{\alpha _l}z}}{\text{)}}{e^{i\left( {\sigma x - \omega t} \right)}},$ | (3) |
| $ {\psi _t} = \left( {{C_t}{e^{i{\beta _t}z}} + {D_t}{e^{ - i{\beta _t}z}}} \right){e^{i\left( {\sigma x - \omega t} \right)}}。$ | (4) |
式中:
式(3)和式(4)中有对应关系:
| $\left\{ \begin{aligned} &{\alpha _l} = {k_l}\cos {\zeta _l} = {\left( {{k_l}^2 - {\sigma ^2}} \right)^{1/2}},\\ & {\beta _t} = {K_t}\cos {\gamma _l} = {\left( {{K_t}^2 - {\sigma ^2}} \right)^{1/2}},\\ & {\sigma _l} = {k_l}\sin {\zeta _l} = {K_t}\sin {\gamma _l}。\end{aligned}\right. $ | (5) |
式中:
由文献[11]中的推导过程,最终声反射系数
| $ R = \frac{{\left( {{Z_0}{C_{33}} - {Z_{n + 1}}{C_{22}}} \right) + \left( {{C_{32}} - {Z_{n + 1}}{Z_0}{C_{23}}} \right)}}{{{Z_0}{C_{33}} + {Z_{n + 1}}{C_{22}} + \left( {{C_{32}} + {Z_{n + 1}}{Z_0}{C_{23}}} \right)}},$ | (6) |
| $ T = \frac{{2{Z_0}}}{{{Z_0}{C_{33}} + {Z_{n + 1}}{C_{22}} + \left( {{C_{32}} + {Z_{n + 1}}{Z_0}{C_{23}}} \right)}}。$ | (7) |
式中:
线性声学中,把目标看成线性时不变传递网络,入射信号为网络输入,回波为网络输出。设传递网络时域传递函数为
目标时域回波
|
图 2 时域回波信号传递网络模型 Fig. 2 Time domain echo signal transmission network model |
| $ y\left( t \right) = x\left( t \right) \otimes h\left( {\tau ,\vec r,\vec \rho } \right)。$ | (8) |
式中:
由信号处理中线性系统时间域响应和频率域响应相互对应的基本原理,可得目标的频域回波:
| $ Y\left( f \right) = F\left[ {x\left( t \right)} \right]{\cdot}H\left( {f,\vec r,\vec \rho } \right)。$ | (9) |
目标的瞬态时域回波可由式(10)得到:
| $ y\left( t \right) = {F^{ - 1}}\left[ {Y\left( f \right)} \right]。$ | (10) |
式中:
为实现水下航行体声隐身的目的,常采取在航行体表面敷设声学覆盖层的方法来降低回波强度,声学覆盖层的模型结构如图3所示,材料参数如表1所示。
|
图 3 外层敷设声学覆盖层模型 Fig. 3 Model of the outer layer with anechoic tiles |
|
|
表 1 材料参数 Tab.1 Material parameters |
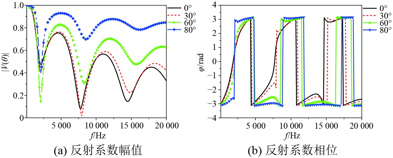
单位振幅的简谐平面声波从海水中入射到目标上时,声波从声学覆盖层透射到钢板上,当背衬为空气时,声波透射到空气中的量很少,透射系数几乎为0。应用多层弹性介质理论,可以计算得到声波在0°、30°、60°和80°入射时,覆盖层结构的反射系数的幅值和相位结果如图4所示。
|
图 4 声学覆盖层声学参数 Fig. 4 Acoustic parameters of the anechoic tiles |
由“分解-合成”的回波计算思想,某型UUV可简化为半椭球体、圆柱、圆台和圆板等基础几何形体的组合,几何模型如图5(a)所示。本文对航行体目标的外表面采取全部敷瓦的敷设方案。设艏部半椭球、艇身圆柱、艉部圆台、艉部圆板的传递函数分别为:
|
图 5 水下航行体简化模型 Fig. 5 Simplified model of an underwater vehicle |
考虑相位后的各部件传递函数为:
| $ \left\{ {\begin{array}{*{20}{l}} {{{H'}_1} = \left| {{V_1}\left( \alpha \right)} \right|{H_1}{e^{2jk{L_1}\cos (\theta )}}{e^{{\varphi _1}}}},\\ {{{H'}_2} = \left| {{V_2}\left( \alpha \right)} \right|{H_2}{e^{2jk{L_2}\cos (\theta )}}{e^{{\varphi _2}}}},\\ {{{H'}_3} = \left| {{V_3}\left( \alpha \right)} \right|{H_3}{e^{2jk{L_3}\cos (\theta )}}{e^{{\varphi _3}}}},\\ {{{H'}_4} = \left| {{V_4}\left( \alpha \right)} \right|{H_4}{e^{2jk{L_4}\cos (\theta )}}{e^{{\varphi _4}}}}。\end{array}} \right. $ | (11) |
式中:
|
|
表 2 几何参数 Tab.2 Geometric parameters |
收发合置时,由于稳相点处的声线与目标表面的法线重合,局部平面波反射系数
采用相干叠加后的目标总传递函数为:
| $ {H_{tot}} = {H'_1} + {H'_2} + {H'_3} + {H'_4}。$ | (12) |
理论上该航行体分部件考虑时的回波亮点位置如图6所示。其中,1为半椭球的镜反射亮点;2、3为圆柱的2个等效边缘亮点;4为圆柱的镜反射亮点;5、6为圆台的2个等效边缘亮点;7为圆板的边缘亮点。
|
图 6 目标亮点位置示意图 Fig. 6 Location diagram of highlights |
不同水平探测角下,回波亮点出现的位置如表3所示,其中
|
|
表 3 不同角度下回波亮点位置 Tab.3 Location of highlights at various angles |
假设声源位置距离UUV目标为1 km,定义声波沿艏部入射方向为水平0°方向,基于修正亮点模型法(HL)计算信号为5 kHz、0.4 ms脉宽的CW脉冲时,沿水平0°、45°、90°、135°和180°入射到敷瓦UUV上的时域脉冲回波信号,与板块元法(PEM)结果对比如图7(a)所示;敷瓦UUV与光壳UUV结果对比如图7(b)所示。采用修正亮点模型方法计算声波沿水平0°~180°(步长为1°)入射到敷瓦UUV上的时域回波耗时如表4所示。
|
图 7 水下航行体的时域回波 Fig. 7 Time-domain echo of the underwater vehicle |
|
|
表 4 回波计算耗时 Tab.4 Computational time of echo calculation |
由于目标的散射回波信号中包含了目标的距离、轮廓和尺寸等信息,根据声层析成像原理,提取目标在多角度下的时域回波作为一维距离像,通过构建二维空间谱,并作二维空间傅立叶逆变换重建得到目标的二维图像如图8所示。
|
图 8 回波重建目标 Fig. 8 Reconstructed target |
从图7(a)和表3的结果中不难发现,基于修正亮点模型的回波预报方法能够有效预报水下航行体的时域回波,其预报精度与板块元法相当,但计算速度提升了9倍,计算效率更高;图7(b)中,敷瓦后的UUV的回波强度相比UUV光壳时回波幅值显著降低,表明水下航行体的全敷瓦方案在一定程度实现了声隐声的效果。根据敷瓦后的时域回波信号,图8中重建的目标图像较好地还原了目标的轮廓和尺寸信息。
敷瓦后,由于声波通过声学覆盖层表面时发生多次散射,导致反射的散射回波相位发生干涉,在135°时干涉现象较为明显。图7(b)中,135°时的回波时刻相对于UUV光壳时出现偏移,此时UUV的散射回波主要由圆柱、圆台及圆板目标的边缘棱角亮点贡献,敷瓦后的相位差进一步加剧了回波的干涉现象。
3 结 语本文基于修正亮点模型理论,引入多层弹性介质声传播理论对敷瓦水下航行体的回波进行仿真,考虑了声学覆盖层的反射系数对回波幅值和相位的影响,以及目标子部件间的相位干涉。通过计算得到目标的声散射传递函数,进而由频域间接法得到目标时域回波信号,并与板块元法结果以及光壳结果进行对比,得出主要结论如下:
1)将修正亮点模型法与多层弹性介质声传播理论和频域间接法相结合,把亮点模型方法拓展到敷瓦水下航行体的时域回波预报中,仿真得到的回波幅值、回波结构和数量与板块元结果相吻合,计算精度较高。
2)基于修正亮点模型法的时域回波计算方法将复杂模型简化为有限个数基础几何的子回波亮点的相干叠加,相比板块元方法,回波预报的精度不受网格数量及大小的影响,且具有更快的计算速度。
| [1] |
D'AMICO A, PITTENGER R. A brief history of active sonar[J]. Aquatic Mammals, 2009, 35(4): 426−434.
|
| [2] |
FOOTE K G. Underwater acoustic technology: review of some recent developments[J]. Oceans, 2008, 1-6. |
| [3] |
JIA H, LI X, MENG X. Rigid and elastic acoustic scattering signal separation for underwater target[J]. The journal of the acoustical society of America, 2017, 142(2): 653-665. DOI:10.1121/1.4996127 |
| [4] |
范军, 卓琳凯. 水下目标回波特性计算的图形声学方法[J]. 声学学报, 2006, 31(6): 511-516. FAN J, ZHUO L K. Graphical acoustics computing method for echo characteristics calculation of underwater targets[J]. ACTA ACUSTICA, 2006, 31(6): 511-516. |
| [5] |
范军, 汤渭霖, 卓琳凯. 声呐目标回声特性预报的板块元方法[J]. 船舶力学, 2012, 16(Z1): 171-180. FAN J, TANG W L, ZHUO L K. Planar elements method for forecasting the echo characteristics from sonar targets[J]. Journal of Ship Mechanics, 2012, 16(Z1): 171-180. |
| [6] |
薛亚强, 彭子龙, 俞强, 等. 基于Kirchhoff近似与曲面三角形网格的水下目标声散射特性分析[J]. 兵工学报, 2023, 44(8): 2424-2431. XUE Y Q, PENG Z L, YU Q, et al. Analysis of acoustic scattering characteristics of underwater targets based on kirchhoff approximation and curved triangular mesh[J]. Acta Armamentarii, 2023, 44(8): 2424-2431. |
| [7] |
柴鹏程, 陈昌雄, 刘妍, 等. 水下角反射组合体声散射特性[J]. 中国舰船研究, 2023, 18(5): 83-91. CHAI P CH, CHEN CH X, LIU Y, et al. Acoustic scattering properties of underwater corner reflector complexes[J]. Chinese Journal of Ship Research, 2023, 18(5): 83-91. |
| [8] |
汤渭霖. 声呐目标回波的亮点模型[J]. 声学学报, 1994, 19(2): 93-100. TANG W L. Highlight model of echoes from sonar targets[J]. Acta Acustica, 1994, 19(2): 93-100. |
| [9] |
MENG Z R, SONG Y, YU F X, et al. Highlight model of underwater target acoustic scattering in the bistatic system[J]. Journal of Computers, 2024, 35(2): 231-249. DOI:10.53106/199115992024043502015 |
| [10] |
刘进伟, 韩林江, 宋昊, 等. 基于分段合成法的水下凸体结构声散射亮点模型[J]. 噪声与振动控制, 2023, 43(4): 54-60. LIU J W, HAN L J, SONG H, et al. Highlight model of acoustic scattering for underwater convex structures based on segmented synthesis method[J]. Noise and Vibration Control, 2023, 43(4): 54-60. |
| [11] |
P. D. JACKINS. Resonance acoustic scattering from stacks of bonded elastic plates[J]. Journal of the Acoustical Society of America, 1986, 80(6): 1762-1776. DOI:10.1121/1.394291 |
2025, Vol. 47
