2. 江苏大学流体机械工程技术研究中心,江苏 镇江 212013
2. Research Center of Fluid Machinery Engineering and Technology, Jiangsu University, Zhenjiang 212013, China
离心泵是一种常见的流体输送设备及能量转换装置,在诸多重要领域都发挥着至关重要的作用,如船舶工业、石化工业、核电工业、航空航天等领域[1 − 3]。船用压载泵在进行压载水加注时,不可避免地会引入大量微生物,微生物进行呼吸作用必然会导致泵在气液两相工况下运行。受到叶片壁面及离心力的影响,气体容易导致叶轮流道内发生流动分离,造成离心泵能量性能与运行稳定性的下降[4 − 5]。随着进口气体体积分数的增加,甚至出现气体完全堵塞流道,导致严重事故的发生[6]。因此,研究气液两相条件下离心泵的内流特性,对保证其安全稳定运行具有重要意义。
20世纪60年代,国内外学者便开始对泵的气液两相流开展了研究。80年代后,核电站反应堆的安全性问题,更加速了泵内气液两相流的研究进程[7]。可视化试验研究一直是掌握离心泵内流特性最为直观的方法。Trevisan等[8]通过可视化试验,发现气体的聚集是导致电潜泵扬程下降的主要原因。Verde等[9]通过可视化试验,在电潜泵叶轮内获得了4种典型流型,即泡状流、凝聚气泡流、气囊流和分离流,同时发现该泵扬程的变化与流型密切相关。Cubas等[10]通过可视化试验,发现当分散的气泡聚集成团并发展到叶轮流道中部时,离心泵的能量性能开始迅速恶化。贺登辉等[11]通过可视化试验,发现离心泵叶轮内流型的变化容易引起喘振的发生。随着计算流体力学以及计算机技术的发展,数值计算方法也得到广泛应用。Caridad等[12]基于CFD方法,发现气泡在叶片压力面的聚集是电潜泵能量性能下降的主要原因,同时曳力和压力梯度力的共同作用是气体在叶轮流道内聚集的主要原因。罗旭等[13]基于CFD方法,发现随着气体在叶轮流道内的聚集,离心泵的能量性能降低,同时蜗壳内的压力脉动在低频处出现了明显的信号。李智豪等[14]基于CFD方法,发现气泡直径增加导致混输泵叶轮内气体聚集程度增强,流动分离程度加剧,同时能量性能显著下降。综上所述,关于泵内气液两相流动特性的研究主要集中于气体对流型、能量特性等的影响,而流型与能量特性、压力脉动特性的关系尚不明确。
因此,本文通过搭建离心泵气液两相流同步测试试验台,对模型泵进行了不同IGVF、不同清水流量工况下的气液两相流试验,并对同步采集到的可视化结果、能量特性数据以及压力脉动信号进行了分析。结果可以为离心泵在气液两相工况下的运行状态监测和安全稳定运行提供理论依据。
1 研究模型 1.1 试验台离心泵气液两相流试验台,如图1所示。
|
图 1 试验台结构示意图 Fig. 1 Schematic diagram of the test bench structure |
为同时满足试验过程中空气的排出以及来流的压力稳定,测试试验台设计为开式试验台。整个试验测试系统由液体循环系统(主水箱、进口管路、混气装置、出口管路、排气水箱、回水管路)、供气系统(空气压缩机、气体稳压罐、进气管路)、泵段(模型泵、联轴器、电机)以及测试系统(能量性能测试系统、动态压力采集系统、高速摄像图像采集系统)构成,试验台结构实物图如图2所示。
|
图 2 试验台结构实物图 Fig. 2 Physical diagram of the test bench structure |
试验过程中,进口调节阀保持全开,主水箱中的清水经进口管路与经稳压处理的空气在混气装置中混合,一起进入模型泵。混合工质再以喷洒的方式流入排气水箱,过程中大部分空气从混合工质中排出,受到重力、浮力作用,排气水箱内水中的空气也很快浮出水面,可实现气体的完全排出。通过调节出口调节阀、观察电磁流量计,实现清水流量的调节;通过调节气体出口调节阀、观察转子式气体流量计,实现空气流量的调节。从而实现模型泵气液两相流的性能测试。
常见的混气装置结构为在圆管相互垂直的4个位置处开设进气孔,再通过橡胶管、四通结构将4个进气孔相连,这样的混气装置易导致气体在进口管路中混合不均匀,从而影响试验结果。为实现空气与清水的充分、均匀混合,发明了内嵌微孔结构的混气装置,该混气装置与常见的混气装置区别在于,圆管内焊接开设有大量小孔并且厚度较薄的圆环结构,如图3所示。
|
图 3 混气装置 Fig. 3 Gas mixing device |
为验证内嵌微孔结构混气装置的混气效果,在混气装置下游安装了一段透明管,采用高速摄像技术,对透明管内的气体分布进行了记录,结果如图4所示。可以明显看到,采用常见的混气装置时,由于浮力作用,管路内的气体很快就聚集于管路上方,而采用内嵌微孔结构的混气装置时,虽然由于浮力的作用,管路上方的气体仍多于下方的,但此时管路内的气体分布显然更为分散,与清水的混合均匀程度更高。
|
图 4 管路内气体分布 Fig. 4 Gas distribution in the pipeline |
模型泵能量特性数据通过江苏大学自主研发的数据采集仪,采集仪中加入了信号隔离模块以及电源滤波器,以保证数据采集过程中不会受到干扰。采集的数据包含泵进出口压力、转速、功率等。采用MIK-P300型压力变送器测量模型泵进、出口压力,量程分别为0~100 kPa、0~1 MPa,精度为0.5%。采用KEFN-DN50型电磁流量计测量清水流量,量程为1~30 m3/h,精度为0.5%。采用CYT-302型扭矩传感器测量模型泵扭矩、转速,量程为0~±100 N·m,精度为±0.25%,转速测量范围为0~
本文研究的模型泵为转速ns=78的离心泵,其主要参数见表1。
|
|
表 1 模型泵的主要参数 Tab.1 Major parameters of the model pump |
为可视化试验需要,模型泵的主要过流部件叶轮及蜗壳采用聚甲基丙烯酸甲酯(Polymethyl methacrylate,PMMA),即有机玻璃加工;为捕捉到叶轮内气体分布、空穴形态,同时考虑到高速摄影拍摄的清晰度,将叶片设计为圆柱叶片,并且将叶轮前盖板涂成黑色。泵盖与泵体装配时采用橡胶圈进行密封,同时采用C型夹进行固定。
需要说明的是,为确保模型泵出口压力可以使气液混合介质顺利流入排气水箱,采用额定转速为
为便于进口气体流量的描述,引入进口气体体积分数IGVF描述来流中气体的占比,IGVF定义为:
| $ {\text{IGVF}} = \frac{{{Q_{\text{g}}}}}{{{Q_{\text{g}}} + {Q_{\text{l}}}}} \times {\text{100}}{\text{%}} 。$ | (1) |
式中:Qg为气体体积流量;Ql为清水体积流量。
2.1 气液两相流型为直观地掌握模型泵内气液两相流流型的变化,图5为1.0Qd、不同IGVF工况下,模型泵叶轮流道内气液两相流动结构的可视化结果。图中点划线圈出的区域为气环范围。可以看出,随着IGVF的增加,模型泵叶轮流道内的气体浓度明显增加,4种典型的流型依次呈现。IGVF=0.3%工况下,叶轮流道内的气体主要呈现为离散的小气泡形式,为泡状流。IGVF=1.0%工况下,叶轮内的气体在叶片工作面中上游附近、叶片吸力面中下游附近出现了一定程度的聚集,主要呈现为凝聚的大气泡形式,为凝聚气泡流;同时蜗壳流道靠近叶轮后盖板位置处出现了不规则形状的气环。IGVF=1.7%工况下,叶轮内的气体形成了较为明显的气泡团,主要分布于叶片吸力面附近,为气囊流;气环区域出现扩大的趋势。IGVF=4.5%工况下,气体成为连续工质,清水逐渐成为离散工质,为分离流;气环区域继续扩大;此时叶轮内清水的连续性遭到较大程度的破坏,极易出现断流现象。
|
图 5 IGVF对叶轮流道内流型的影响 Fig. 5 Effect of IGVF on flow pattern of the impeller |
进一步分析还可以发现,IGVF=4.5%工况下,叶轮流道内局部气体浓度显然更高。这是由于较大的气泡团会受到较大的压力梯度力,使得大量气体滞留于叶轮流道内,滞留的气体又会继续与来流中的气体发生凝聚,直至达到平衡状态,最终导致叶轮流道内局部区域的气体浓度明显高于来流的气体浓度。
图6为IGVF=1.7%工况下,不同清水流量时,模型泵叶轮流道内气液两相流动结构的可视化结果。可以看出,随着清水流量的增加,气体在叶轮内的聚集程度逐渐降低。清水流量为0.8Qd~1.0Qd时,叶轮流道内均存在明显的气泡团,气环区域随清水流量的增加先迅速扩大后逐渐缩小,此时流型均为气囊流。随着清水流量增加到1.1Qd~1.2Qd时,叶轮流道内气泡团消失,逐渐分散为凝聚的大气泡,气环区域继续缩小,此时流型转变为凝聚气泡流。这是由于某一IGVF工况下,气体在叶轮内的相对流速会随清水流量的增加而增加,导致曳力增大,气体更容易向叶轮出口运动,从而气体在叶轮流道内的聚集程度随之逐渐降低。
|
图 6 液体流量对叶轮流道内流型的影响 Fig. 6 Effect of liquid flow rate on flow pattern in the impeller |
能量特性是泵内工质发生能量转化时的宏观表现,同时也反映了泵的运行状态。气液两相工况下,离心泵的能量特性计算公式为[15]:
| $ H = \frac{{\text{1}}}{{{\rho _{\text{l}}}g{Q_{\text{l}}}}}\int_{{p_{{\text{in}}}}}^{{p_{{\text{out}}}}} {{Q_{\text{g}}}{\rm{d}}p} + \frac{{{p_{{\text{in}}}}}}{{{\rho _{\text{l}}}g}}\frac{{{Q_{\text{g}}}}}{{{Q_{\text{l}}}}}\ln \left( {\frac{{{p_{{\text{out}}}}}}{{{p_{{\text{in}}}}}}} \right),$ | (2) |
| $ \eta = \frac{{{\rho _{{\text{l,g}}}}gQH}}{P},$ | (3) |
| $ {\rho _{{l} ,g}} = \frac{{{\rho _{\text{l}}}{Q_{\text{l}}} + {\rho _{\text{g}}}{Q_{\text{g}}}}}{{{Q_{\text{l}}} + {Q_{\text{g}}}}}。$ | (4) |
式中:ρ为工质密度;ρl,g为混合工质的密度;下标l、g分别代表清水、空气;g为重力加速度;ΔZ为试验台中进、出口压力变送器的垂直高度差;u为混合工质的流速;下标in、out分别为模型泵进口、出口。
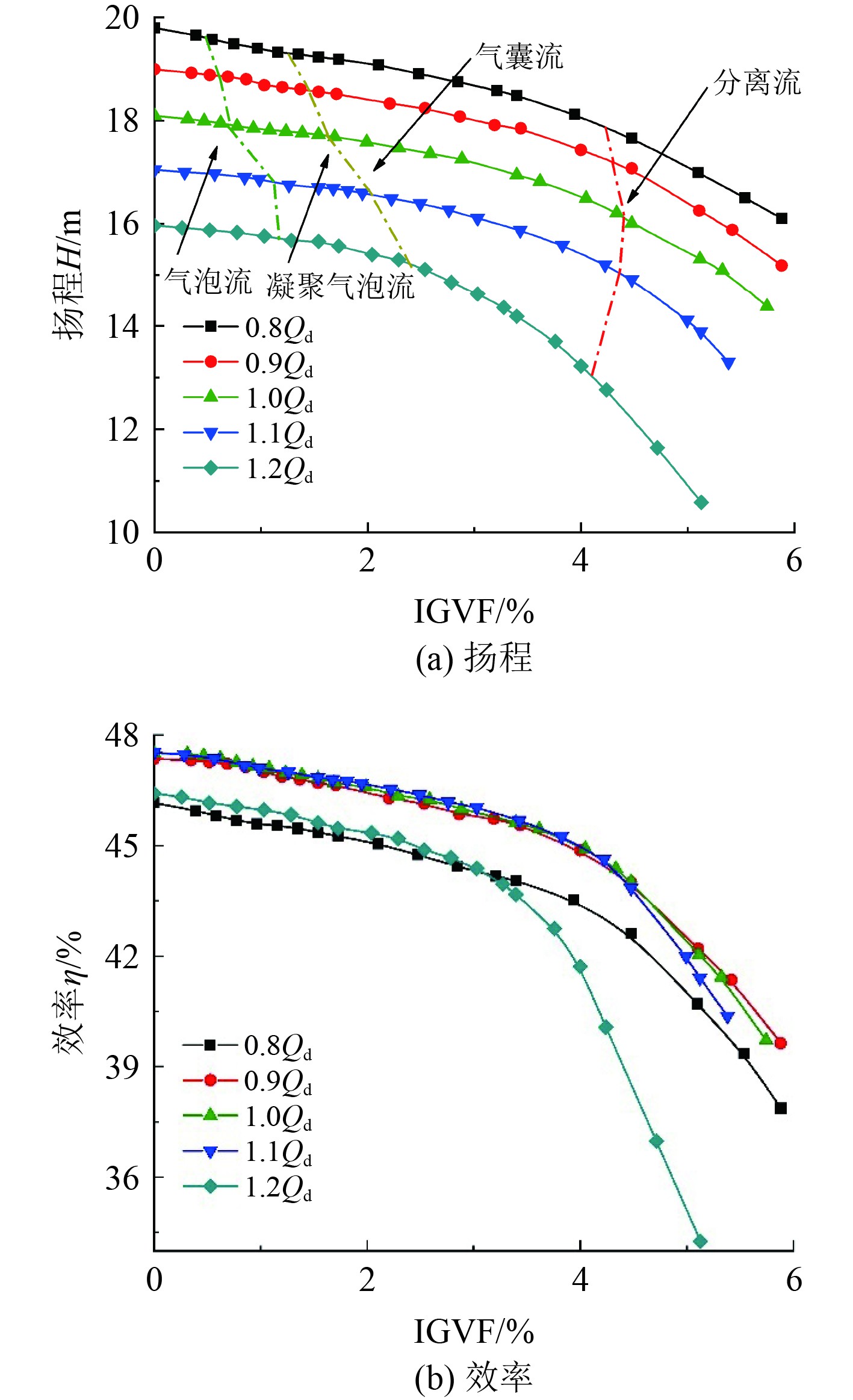
图7、图8分别为模型泵能量特性随IGVF变化、随清水流量变化的试验结果。可以发现,随IGVF增加、清水流量增加,模型泵的扬程均逐渐降低,并且IGVF越高、清水流量越大,降低速度越快;模型泵的效率随IGVF增加而降低、随清水流量增加先升高后降低,同样IGVF越高、清水流量越大,降低速度越快。
|
图 7 模型泵能量特性随IGVF的变化 Fig. 7 Variation of the model pump energy characteristics with IGVF |
|
图 8 模型泵能量特性随清水流量的变化 Fig. 8 Variation of the model pump energy characteristics with IGVF |
由图7(a)还可以看出,流型为泡状流、凝聚气泡流工况下,扬程随IGVF增加缓慢下降,此时曲线的下降斜率接近。随着流型发展为气囊流、分离流,扬程曲线的下降斜率随IGVF的增加逐渐增加,并且清水流量越大,斜率增加越显著。1.0Qd时,IGVF由3.8%(气囊流)增加到4.5%(分离流),扬程下降了4.26%,明显大于IGVF由0.7%(凝聚气泡流)增加到1.4%(凝聚气泡流)的1.1%;1.2Qd时,相同的IGVF范围内,扬程下降了10.60%,明显大于1.0Qd时的4.26%。这与此时气体形成的气泡团较大程度影响了模型泵内发生的能量交换有关;同时相同IGVF范围内,大流量时,气体、清水所需的过流面积均较大,从而较大程度影响了叶片对清水的做功能力,导致此时扬程曲线的下降斜率更大。
由图8(b)可以发现,气体对模型泵的最佳效率点存在影响。IGVF在0~3.4%范围内,模型泵的最佳效率点均在1.1Qd,IGVF升高到5.1%时,模型泵的最佳效率点发展为0.9Qd。这与气体导致进口液流角增大有关。
2.3 气体诱导压力脉动压力脉动是动静干涉、涡流及回流等多种因素作用下的动态响应,包含了离心泵的多种内流信息[16]。为便于不同工况下压力脉动的比较分析,对动态压力进行无量纲化处理[17],压力脉动系数Cp计算公式为:
| $ {C_{{p}}} = \frac{{p - \overline p }}{{0.5{\rho _{{\text{l}},g}}u_2^2}}。$ | (5) |
式中:p为模型泵出口动态压力;
采用快速傅里叶变换(Fast Fourier transform,FFT)将采集到的瞬态压力信号转换为频域信号。
图9为1.0Qd、不同IGVF时,模型泵出口压力脉动频域分布。可以看出,随着IGVF的增加,出口压力脉动信号的主频由BPF(6fs),逐渐发展为APF(fs),并且低于APF的低频处的压力脉动系数也逐渐增加。结合图5还可以发现,IGVF=0.3%(泡状流)工况下,压力脉动主频为BPF,次主频为APF,其系数分别为
|
图 9 不同IGVF工况下模型泵出口压力脉动概率密度分布 Fig. 9 PD distribution of pressure pulsation at the outlet under different IGVFs |
图10为IGVF=1.7%、不同流量时,模型泵的出口压力脉动频域分布。可以看出,随着流量的增加,泵出口压力脉动在APF、BPF以及低频处的信号均逐渐减弱,APF、BPF处的压力脉动系数分别由0.8Qd时的
|
图 10 不同清水流量下模型泵出口压力脉动频域分布 Fig. 10 Frequency domain distribution of pressure pulsation at the outlet under different water flow rates |
本文搭建了离心泵气液两相流试验台,发明并采用了内嵌微孔结构的混气装置,测试了离心泵在不同IGVF、不同清水流量下的能量特性和内流特性,主要研究结论如下:
1)1.0Qd时,随着IGVF增加,模型泵内气体逐渐聚集,流型由泡状流逐渐发展为分离流;IGVF=1.7%时,随着清水流量增加,模型泵内气体逐渐分散,流型由气囊流逐渐发展为凝聚气泡流。同时模型泵叶轮流道内局部气体浓度明显高于来流的气体浓度。
2)随着IGVF增加,模型泵能量性能逐渐下降。泡状流、凝聚气泡流时,扬程下降速度较慢,扬程曲线下降斜率接近;气囊流、分离流时,扬程下降速度迅速加快,扬程曲线下降斜率随IGVF的增加逐渐增加,并且清水流量越大,斜率增加越显著,影响模型泵正常运行。同时气体会导致模型泵最佳效率点向小流量偏移。
3)1.0Qd时,随着IGVF增加,模型泵出口压力脉动逐渐增强,APF对应的压力脉动系数从IGVF=0.3%下的
| [1] |
袁寿其, 刘厚林. 泵类流体机械研究进展与展望[J]. 排灌机械, 2007, 25(6): 46-51. YUAN S Q, LIU H L. Research progress and prospect on fluid machinery-pumps[J]. Drainage and Irrigation Machinery, 2007, 25(6): 46-51. |
| [2] |
罗兴锜, 吴大转. 泵技术进展与发展趋势[J]. 水力发电学报, 2020, 39(6): 1-17. LUO X Q, WU D Z. Progress and developing trends in pump technology[J]. Journal of Hydroelectric Engineering, 2020, 39(6): 1-17. DOI:10.11660/slfdxb.20200601 |
| [3] |
徐声海, 郭超, 赵虎坡, 等. 舰船用泵转子动力学特性研究[J]. 舰船科学技术, 2024, 46(17): 34-37. XU H S, GUO C, ZHAO H P, et al. Research on dynamic characteristics of marine pump rotor[J]. Ship Science and Technology, 2024, 46(17): 34-37. |
| [4] |
PINEDA H, BIAZUSSIB J, LÓPEZB F, et al. Phase distribution analysis in an Electrical Submersible Pump(ESP)inlet handling water-air two-phase flow using Computational Fluid Dynamics(CFD)[J]. Journal of Petroleum Science and Engineering, 2016, 139: 49-61. DOI:10.1016/j.petrol.2015.12.013 |
| [5] |
ALI A, SI Q, YUAN J, et al. Investigation of energy performance, internal flow and noise characteristics of miniature drainage pump under water–air multiphase flow: design and part load conditions[J]. International Journal of Environmental Science and Technology, 2022, 19(8): 7661-7678. DOI:10.1007/s13762-021-03619-1 |
| [6] |
苏筱斌, 徐强, 杨晨宇, 等. 离心泵内气液两相流动的数值模拟与实验研究[J]. 工程热物理学报, 2024, 45(8): 2396-2402. SU X B, XU Q, YANG C Y, et al. Numerical simulation and experimental study of gas-liquid two-phase flow in a centrifugal pump[J]. Journal of Engineering Thermophysics, 2024, 45(8): 2396-2402. |
| [7] |
肖文扬, 谭磊. 叶片式气液混输泵研究进展综述[J]. 水力发电学报, 2020, 39(5): 108-120. XIAO W Y, TAN L. Review on research of rotodynamic multiphase pumps[J]. Journal of Hydroelectric Engineering, 2020, 39(5): 108-120. DOI:10.11660/slfdxb.20200511 |
| [8] |
TREVISAN F, PRADO M. Experimental investigation of the viscous effect on two-phase-flow patterns and hydraulic performance of electrical submersible pumps[J]. Journal of Canadian Petroleum Technology, 2011, 50(4): 45-52. DOI:10.2118/134089-PA |
| [9] |
VERDE M W, BIAZUSSI J L, SASSIM N A, et al. Experimental study of gas-liquid two-phase flow patterns within centrifugal pumps impellers[J]. Experimental Thermal and Fluid Science, 2017, 85: 37-51. DOI:10.1016/j.expthermflusci.2017.02.019 |
| [10] |
CUBAS J, STEL H, OFUCHI E M, et al. Visualization of two-phase gas-liquid flow in a radial centrifugal pump with a vaned diffuser[J]. Journal of Petroleum Science and Engineering, 2020, 187: 106848. DOI:10.1016/j.petrol.2019.106848 |
| [11] |
贺登辉, 张振铎, 常壮, 等. 泡状入流条件下离心泵喘振特性试验研究[J]. 机械工程学报, 2022, 58(10): 289-297. HE D H, ZHANG Z D, CHANG Z, et al. Experimental investigation on surging characteristics of centrifugal pump under bubble inflow conditions[J]. Journal of Mechanical Engineering, 2022, 58(10): 289-297. DOI:10.3901/JME.2022.10.289 |
| [12] |
CARIDAD J, KENYERY F. CFD analysis of Electric Submersible Pumps (ESP) handling two-phase mixtures[J]. Journal of Energy Resources Technology, 2004, 126(2): 99-104. DOI:10.1115/1.1725156 |
| [13] |
罗旭, 宋文武, 万伦, 等. 气液两相条件下含气率对高速离心泵的影响研究[J]. 中国农村水利水电, 2020, (3): 174−178. LUO X, SONG W W, WAN L, et al. Research on the influence of gas volume fraction on high-speed centrifugal pumps under gas-liquid two-phase conditions[J] China rural water and hydropower, 2020(3): 174−178. |
| [14] |
李智豪, 张文武, 祝宝山, 等. 气泡直径对气液混输泵流动特性影响的数值研究[J]. 水动力学研究与进展A辑, 2023, 38(6): 836-841. LI Z H, ZHANG W W, ZHU B S, et al. Numerical study of influence of bubble diameter on flow characteristics of multiphase pump handling gas-liquid flow[J]. Chinese Journal of Hydrodynamics, 2023, 38(6): 836-841. |
| [15] |
杜欣来. 离心泵内气液两相流试验测试及气泡多尺寸数值模拟[D]. 镇江: 江苏大学, 2021.
|
| [16] |
施卫东, 陈成, 谭林伟, 等. 单叶片离心泵水力诱导径向力的试验研究[J]. 振动与冲击, 2022, 41(2): 185-192. SHI W D, CHEN C, TAN L W, et al. Experimental study on the single blade centrifugal pump radial force[J]. Journal of Vibration and Shock, 2022, 41(2): 185-192. |
| [17] |
司乔瑞, 夏欣, 武凯鹏, 等. 应急供水多级泵意外停机水力过渡过程瞬态特性[J]. 农业工程学报, 2024, 40(4): 72-81. SI Q R, XIA X, WU K P, et al. Transient characteristics of the hydraulic transition process of emergency water supply multi-stage pump with unexpected shutdown[J]. Transactions of the Chinese Society of Agricultural Engineering, 2024, 40(4): 72-81. DOI:10.11975/j.issn.1002-6819.202308219 |
2025, Vol. 47

