2. 上海船用柴油机研究所,上海 101108
2. Shanghai Marine Diesel Engine Research Institute, Shanghai 101108, China
船舶机舱是船舶的心脏,它承担着为船舶提供动力和推进船舶前进的作用[1]。机舱操作在确保船舶正常运行和安全航行方面至关重要,与之对应的各级管理和操作人员的整体综合素质也需要进一步提升[2 − 3]。并且船舶机舱具有设备种类多、数量大、耦合关系复杂等特点[4],若操作不慎可能导致严重的事故。因此在船舶机舱操作中,安全意识和应急处理能力对机舱操作员至关重要[5]。随着新兴技术的快速发展,智能船舶逐渐成为船舶工业的发展热点[6]。船舶机舱操作是智能化船舶工业的关键所在,其涉及复杂的机械和电气设备,需要高度的准确性和及时的决策。传统机舱操作依赖于人工经验,存在操作失误的风险。而船舶机舱的操作推荐系统能够通过模拟器进行验证对船舶机舱的操作进行规范性指导,旨在令船舶操作系统朝着自动化和智能化方向发展[7]。
目前已有很多对于操作指导的方法和研究。Lopez等[8]开发完成了一款专家系统,用于监视运行情况和分析设备的各类参数状态,提供操作指导和故障诊断;Hashimoto等[9]基于开发的瞬态模型建立模型预测控制,完成对高炉的操作指导;Stefano等[10]利用Petri网进行铁路运营形式化研究,用模块化面向对象的方法建立了能够有效模拟基础设施、信号和控制系统在所有边界条件下的过程。但此类传统船舶机舱操作指引存在多方面的局限性。首先,传统船舶机舱操作指导基于专家经验设定推理模型难以将节点间全部关联关系梳理,不利于理解机舱各操作间的联系。其次,传统船舶机舱操作指导模型在数据处理和实时分析方面能力不足,不能将实时分析结果输入模型中,缺乏有效应对动态变化和复杂情境的能力。最后,传统船舶机舱操作指导模型对操作员的展示效果不佳,不便于操作员直观观察到操作间的联系。
为解决船舶机舱操作当前的局限性,本文利用基于贝叶斯决策推理的船舶机舱操作推荐系统对船舶机舱操作提供智能决策支持。利用轮机模拟器更好地帮助操作员了解设备与按钮的具体功能以及船舶机舱操作步骤[11];保证操作员培训的安全性并能够提升系统性培训的质量与效率[12],使船员快速掌握相关技能和积累操作经验[13]。利用贝叶斯决策推理在根据不断更新的操作情况数据准确率优化推理模型指导,加强了对于实时性数据的分析与对当前所处状况而做出的最优决策支持。最终,推理结果利用贝叶斯网络的形式进行展现能够更加直观观测到各节点的操作概率,有利于提高船舶机舱的操作安全性与规范性。
1 贝叶斯系统理论 1.1 贝叶斯理论贝叶斯定理被应用于刻画2个事件H和D的条件概率关系。若已经发生了事件D,而事件H在此基础上发生,那么此概率就被定义为条件概率P(H|D)。联合概率P(H, D)不关注事件H与事件D发生的先后顺序,而是描述了2个事件同时发生的可能性[14]。
当得到2个离散随机变量H和D的联合概率P(H, D)时,要计算H的边际概率,可以对所有可能的D取值进行求和,表示为边际概率P(H)是在给定D的可能情况下,事件H发生的总概率:
| $ P(H) = \sum\limits_D {P(H,D)}。$ | (1) |
从条件概率和联合概率的定义中,能够基本理解贝叶斯定理:事件H与事件D同时发生的概率等于事件H发生概率与在事件H发生条件下事件D发生概率的乘积,并且等于事件D发生概率与在事件D发生条件下事件H发生概率的乘积,即联合概率定义可表示为:
| $ P(H,D) = P(H)P(D|H) = P(D)P(H|D)。$ | (2) |
当存在x个事件H1, H2, …, Hx时,可以由联合概率式(2)得到概率论中的贝叶斯的链式法则。多个事件间的条件概率关系表达式为:
| $ {P({H_1},{H_2},...,{H_x}) = P({H_1})P({H_2}|{H_1})...P({H_x}|{H_1},...,{H_{x - 1}})。}$ | (3) |
在构建概率模型时,一般将假设表示为H,将观测数据表示为D。每个概率在贝叶斯定理中都有其特定的名称:P(H)是H的先验概率,其得出无需考虑D可能带来的影响因素,仅由经验得出;P(H|D)是指在观测数据D发生后H发生的条件概率,被称为H的后验概率。而P(D|H)是指在H发生后D发生的条件概率,也称为D的似然函数。P(D)是D的边际概率,一般作为标准化常量。在给定观测数据D的情况下,可由贝叶斯定理推导出这些假设H的分布情况,即后验概率P(H|D)的分布即贝叶斯定理:
| $ P(H|D) = \frac{{P(D|H)P(H)}}{{P(D)}}。$ | (4) |
在数据D不能很好地被观测到的情况下,也可以将数据D的先验概率转换成数据D与相关假设Hi的后验概率P(D|Hi)与假设先验概率P(Hi)的乘积之和,即概率论中的全概率公式:
| $ P(D) = \sum\limits_{i = 1}^N {P(D|{H_i})P({H_i})} 。$ | (5) |
式中:N为与事件D相关假设Hi的总数。
对于存在多个父节点的贝叶斯定理公式表示为:
| $ P({H_j}|D) = \frac{{P(D|{H_k})P({H_j})}}{{P(D)}} 。$ | (6) |
式中:变量Hj为所求节点,j取值为1, 2, …, N;Hk为已知条件的节点,取值为k∈(1,N) ∩ k≠j。
1.2 贝叶斯网络贝叶斯网络(Bayesian Network,BN)是一种概率依赖图形模型,使用有向无环图(Direct Acyclic Graph, DAG)表示一组随机变量及其条件依赖关系[15 − 17]。在贝叶斯网络中,节点表示随机变量,节点间用有向边表示条件依赖关系。每个节点都与概率分布相关联,该概率分布描述了在给定其关联节点值的情况下节点取某个值的概率。贝叶斯的网络节点主要包括3类。第1类是目标节点,其特点为没有子节点只有父节点,此节点的意义是最终要解答的问题;第2类是证据结点,其特点为只有子节点而无父节点,通过观测证据节点情况来判断下一步操作的概率;第3类节点是中间节点,其特点为既有父节点也有子节点,它是将目标节点与证据节点连接起来的节点。
而贝叶斯网络另一要素是有向边,箭头指向表示变量之间的依赖关系[18]。箭头方向的意义在于一个变量的变化可以引起另一个变量的变化。箭头方向永远是父节点指向子节点,永远不会相反[19]。
1.3 贝叶斯决策推理公式 1.3.1 边际概率对于存在多个事件H1, …, HN,通过式(1)将P(D=T)表示为所有H1, …, HN的联合条件下事件D为T的边际概率:
| $ P(D = T) = \sum\limits_{{H_1},...,{H_N}} {P(D = {T},{H_1},...,{H_N})}。$ | (7) |
根据联合概率式(2),式(7)中的联合概率P(D=T, H1, …, HN)可写成:
| $ \begin{split} & P(D = T,{H_1},...,{H_N}) = \\ & P(D = {{T}}|{H_1},...,{H_N}) \times P({H_1},...,{H_N}) 。\end{split} $ | (8) |
在计算节点边际概率时,需要从贝叶斯网络证据节点向目标节点方向计算。每个节点边际概率由其父节点直接决定。对于D的父节点H1, …, HN事件间相互独立,可将式(8)中的P(H1, …, HN)写成:
| $ P({H_1},...,{H_N}) = \prod\limits_{n = 1}^N {P({H_n})} 。$ | (9) |
最终,结合式(8)和式(9),边际概率式(7)可写成:
| ${P(D = T) = \displaystyle\sum\limits_{{H_1},...,{H_N}} {P(D = {T}|{H_1},...,{H_N}) \times \prod\limits_{n = 1}^N {P({H_n})} }} 。$ | (10) |
式中:P(D=T)为节点D为T情况下的边际概率;P(D=T|H1, …, HN)为在父节点从H1~HN取全部情况下节点D为T的条件概率,可以代入节点D对应的条件概率表;P(Hn)为父节点Hn的边际概率,依赖于其直接父节点的边际概率。
1.3.2 条件概率若目标节点D存在N个相互独立的父节点H1, H2, …, HN,已知其中M个父节点H1, H2, …, HM为T的情况下,则需要利用其父节点的所有可能状态求和得到其条件概率。
根据边际概率式(1)得到:
| $ {\begin{split} &P(D = T,{H_1} = {T},...,{H_M} = {T}) = \\ &\sum\limits_{{H_{M + 1}},...,{H_N}} {P(D = {T},{H_1} = {T},...,{H_M} = {T},{H_{M + 1}}...,{H_N})}。\\ \end{split}} $ | (11) |
根据联合概率式(2)得到:
| $ \begin{split} &P(D = T|{H_1} = {T},...,{H_M} = {T}) = \\ &\frac{{P(D = {T},{H_1} = {T},...,{H_M} = {T})}}{{P({H_1} = {T},...,{H_M} = {T})}} 。\end{split} $ | (12) |
因H1, …, HN为已知条件,即P(H1=T, …, HM=T)=1,联立式(11)与式(12)得到条件概率为:
| $ {\begin{split} &P(D = T|{H_1} = {T},...,{H_M} = {T}) = \\ &\sum\limits_{{H_{M + 1}},...,{H_N}} {P(D = {T},{H_1} = {T},...,{H_M} = {T},{H_{M + 1}}...,{H_N})}。\\ \end{split}} $ | (13) |
根据联合概率式(2),联合概率可分解为条件概率与父节点联合发生概率的乘积:
| $ \begin{split} &P(D = {T},{H_1} = {T},...,{H_M} = {T},{H_{M + 1}},...,{H_N}) = \\ &P(D = {T}|{H_1} = {T},...,{H_M} = {T},{H_{M + 1}},...,{H_N}) \times \\ &P({H_1} = {T},...,{H_M} = {T},{H_{M + 1}},...,{H_N})。\end{split} $ | (14) |
根据式(3)链式法则处理父节点联合发生的概率P(H1=T, …, HM =T, …, HN),此联合概率可分解为一系列条件概率的乘积:
| $ \begin{split} &P({H_1} = {T},...,{H_M} = {T},{H_{M + 1}},...,{H_N}) = \\ &\prod\limits_{l = M + 1}^N {P({H_l}|{\text{Relevant(}}{H_l}{\text{)}})}。\end{split} $ | (15) |
式中:l为所求节点,取值范围为l∈(M+1,N);P(H1|Parents(H1))为D的父节点H1的条件概率,依赖于其直接父节点,并根据节点已知条件进行计算。
最后将式(14)与式(15)代入条件概率式(13)中得到:
| $ \begin{split} &P(D = T|{H_1} = {T},...,{H_M} = {T}) = \\ &\sum\limits_{{H_{M + 1}},...,{H_N}} {P(D = {T}|{H_1} = {T},...,{H_M} = {T},...,{H_N})}\times \\ &\prod\limits_{l = M + 1}^N {P({H_l}|{\text{Relevant}}({H_l}))}。\\[-1pt] \end{split} $ | (16) |
根据得到的贝叶斯网络边际概率以及某节点的条件概率,可以计算出在该节点确定发生的情况下其父节点发生的后验概率。当只有一个父节点为T时,根据条件概率式(16)的特殊情况,即仅有一个父节点Hi为T可以得到后验概率式(6)的分子中,似然概率的组成部分为:
| $ {\left\{ \begin{aligned} & PB{D_i} = P(D = T|{H_1},...,{H_{i - 1}},{H_i} = T,{H_{i + 1}},...,{H_N}),{i \in (1,N)}, \\ & PB{H_m} = P({H_m}|{\text{Relevant}}({H_m})),m \in (1,N)\;{\text{and}}\;{m \ne i} 。\end{aligned} \right.}$ | (17) |
式中:i为所求节点。PBDi为在Hi=T情况下,考虑除了Hi=T外其他所有父节点的全部情况后,得到D对应的条件概率;PBHm是在Hi=T情况下,节点Hm=T的条件概率;P (Hi=T)为节点Hi=T的先验概率。
最终,根据式(6)、式(10)和式(17),得到节点Hi在D=T情况下的后验概率为:
| $ \begin{split} &P({H_i} = T|D = T) = \\ &\frac{{\sum\limits_{{H_1},...,{H_{i - 1}},{H_{i + 1}},...,{H_N}} {PB{D_i} \times \prod\limits_m {PB{H_m}} \times P({H_i} = T)} }}{{P(D = {T})}}。\end{split} $ | (18) |
构建贝叶斯网拓扑结构时,首先确定所研究问题中的节点变量,即确定节点的定义。在船舶机舱中,证据结点对应着被观测的操作节点,用于根据它们的操作情况来判断是否进行下一步操作,包括如发电机转速、开关状态、电流表示数有无、仪表盘示数有无等。中间节点对应着为完成模拟器某步操作时要经过的操作节点。对于目标节点而言,它是船舶机舱在满足一定条件下最后达到的操作节点,如开启启动按钮等。为便于区分,将证据节点这类用以观测判断的节点标为矩形边框,中间节点和目标节点这类动作节点标为椭圆形边框。
确定节点之后,需要确定节点之间的因果关系,再用有向的线段将结点连接起来,表示父节点状态或动作操作子节点的决定作用。通过对轮机模拟器采样数据处理与分析形成操作节点的因果关系,利用有向线段相互连接最终确定船舶机舱操作的贝叶斯网络结构。
2.2 数据收集与预处理推理模型数据源是从轮机模拟器的M端进行采集,通过对于需要采集的操作节点ID名字进行标记,在操作时候对相关节点的状态进行导出为表格形式。在模拟器的历史操作数据中,提前规定好数据类型:对于动作开关类别开启为T,不进行操作为F。对于旋钮类别,例如电流表旋钮等,规定将其转到指定状态为T,不进行操作为F。对于仪表盘示数类别,有示数为T,无示数为F。通过对于模拟器操作节点的数据导出,得到所有操作节点数据集。
将从模拟器收集到的数据进行处理,保留符合正常操作逻辑的节点状态数据集。然后对数据进行分割,从模拟器中导出了120组数据,取其中100组用作训练集,20组作为测试集来验证模型的准确性。根据历史数据和专家经验法得到节点先验概率,根据数据中操作节点的特征关系验证贝叶斯网络并形成条件概率表,然后对先验概率和条件概率进行归一化处理。
例如,训练集100个数据中,应急发电机转速为T的数据个数为64个,所以概率为0.64;通过专家经验法得到应急发电机转速为T的概率为0.6,通过两者影响因素加权最终得到应急发电机转速为T的先验概率为0.62。
2.3 条件概率表(CPT)设定条件概率表(CPT)的构建可以基于多种类型的数据,包括专业知识、基于过程的建模输出、基于文献的值、实验和观察数据[20]。在完成数据的预处理与采集后,根据节点间关联关系进行条件概率表的设定。首先由专家根据船舶机舱操作经验进行对于条件概率进行赋予,另外从轮机模拟器中提取操作的数据,根据对于操作节点的状态读取情况数据来分析各节点间的条件概率。根据历史数据和专家经验法得到应急发电机启动的贝叶斯网络的条件概率表。
2.4 推理模型结构设计最后构建贝叶斯网络推理模型。将学员操作采集后作为测试集输入推理模型中,根据与测试集准确率的对比调节条件概率表从而优化贝叶斯推理模型,最后得到较为准确的推理模型。其对应的贝叶斯推理流程图,如图1所示。
|
图 1 贝叶斯网络推理流程图 Fig. 1 Bayesian network inference flowchart |
利用贝叶斯推理决策针对船舶机舱操作中应急发电机启动过程进行建模。根据船舶机舱中应急发电机启动过程中需要操作的设备开关以及操作过程中需要观测的一些仪表盘示数和开关状态作为节点进行了整理。共计整理得到了42个节点作为应急发电机启动操作中所需节点。这些节点间利用有向边连接,由父节点指向子节点表示父节点对于子节点的决定关系。节点间由决定性关系形成致因链,最后形成了应急发电机启动贝叶斯网络,如图2所示。
|
图 2 应急发电机启动贝叶斯网络 Fig. 2 Emergency generators start Bayesian networks |
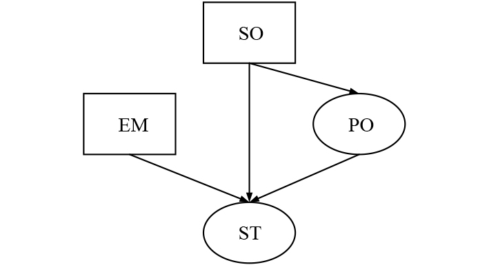
最后的贝叶斯推理计算结果展示利用到GeNIe软件。为便于理解计算过程,单独提取机舱贝叶斯网络中SOURCE指示灯(SO)、Power旋钮(PO)、EM_CY_STOP按钮(EM)和Start按钮(ST)这4个节点的作为一个新的贝叶斯网络进行计算说明,如图3所示。
|
图 3 贝叶斯网络结构图 Fig. 3 Bayesian network structure diagram |
首先,输入证据节点的先验概率,在此贝叶斯网络中,SOURCE指示灯和EM_CY_STOP按钮2个操作节点为证据节点,其先验概率如表1所示。
|
|
表 1 节点先验表 Tab.1 Node prior table |
在得到证据节点的先验概率后,将条件概率表(CPT)中Power旋钮和Start按钮的条件概率数据输入模型。Power旋钮的条件概率表如表2所示。
|
|
表 2 Power旋钮条件概率表 Tab.2 Conditional probability table of Power knob |
Start按钮的条件概率如表3所示。
|
|
表 3 Start按钮条件概率表 Tab.3 Start button conditional probability table |
根据全概率公式可得Power旋钮和Start按钮的边际概率。将Power旋钮的父节点先验概率和对应的条件概率代入边际概率计算式(10)后得到Power旋钮的边际概率计算公式为:
| $ \begin{split} &P({\text{PO}} = {T}) = P({\text{PO}} = {T}|{\text{SO}} = {T}) \times P({\text{SO}} = {T})+ \\ & P({\text{PO}} = {T}|{\text{SO}} = {{F}}) \times P({\text{SO}} = {{F}})。\end{split} $ | (19) |
代入数值计算得到Power旋钮的边际概率为0.484,结果保留小数点后两位为0.48。
在得到Power旋钮的边际概率后,将此概率作为该节点的可能发生的概率,参与其子节点的边际概率的计算。Start启动按钮父节点包括:SOURCE指示灯、EM_CY_STOP按钮和Power旋钮。代入式(19)计算边际概率:
| $ \begin{split} &P({{ST}} = {{T}}) = \sum\limits_{{\text{SO}},{\text{EM}},{\text{PO}}} {P({{ST}} = {{T}}|{{SO}},{{EM}},{{PO}})} \times \\ &P({{SO}}) \times P({{EM}}) \times P({{PO|SO}}) 。\end{split} $ | (20) |
代入具体数据计算得到Start按钮边际概率为
|
图 4 Start按钮贝叶斯网络边际概率图 Fig. 4 Marginal probability plot of the Start button Bayesian network |
节点条件概率的计算是证据节点的概率设置为100%后,根据现有父节点的状况推测子节点的过程即操作节点条件概率的计算。当SOURCE指示灯为开启状态同时EM_CY_STOP按钮为未操作状态,即SOURCE指示灯为T同时EM_CY_STOP按钮为F时,计算Power旋钮和Start按钮在此条件下的条件概率。
节点Power旋钮只有一个父节点的,只需通过Power旋钮的条件概率表,找到父节点SOURCE指示灯为T的情况下Power旋钮的条件概率P(PO=T|SO=T)为0.25。再通过Power旋钮的条件概率来计算Start按钮的条件概率。根据条件概率计算式(16)得到:
| $ \begin{split} &P(ST = T|SO = T,EM = F) = \\ &\sum\limits_{PO} {P(ST = T|SO = T,EM = F,PO)} \times \\ &P(PO|SO = T,EM = F)。\end{split} $ | (21) |
将数据代入式(21)最终得到Start按钮在SOURCE指示灯为T同时EM_CY_STOP按钮为F时的条件概率0.70。此情况下对应的贝叶斯网络推理得到各节点条件概率情况,如图5所示。
|
图 5 Start按钮贝叶斯网络条件概率图 Fig. 5 Conditional probability plot of the Start button Bayesian network |
计算操作节点的后验概率是在确定目标节点的状态后,利用贝叶斯公式进行计算求出该节点对应父节点的后验概率过程。当Start按钮节点为T时,利用贝叶斯定理计算Power旋钮、SOURCE指示灯和EM_CY_STOP按钮的后验概率。将已求得的Start按钮边际概率代入到式(18)中,得到Power旋钮的后验概率为:
| $ \begin{split} &P(PO = T|ST = T)= \\ &\frac{{\sum\limits_{SO,EM} {P(ST = T|PO = T,SO,EM)} }}{{P(ST = T)}} \times \\ &P(SO|PO = T) \times P(EM) \times P(PO = T)。\end{split} $ | (22) |
代入数据进入式(22)中计算得到Power旋钮的后验概率为
在计算SOURCE指示灯的后验概率时,将SOURCE指示灯的相关节点概率代入后验概率计算公式中得到:
| $ \begin{split} &P(SO = T|ST = T) = \\ &\frac{{\sum\limits_{EM,PO} {P(ST = T|SO = T,EM,PO)} }}{{P(ST = T)}} \times \\ & P(PO|SO = T) \times P(EM) \times P(SO = T) 。\end{split} $ | (23) |
将数据代入式(23)后计算得到SOURCE指示灯的后验概率为
同理EM_CY_STOP按钮的后验概率计算,也需将其所在贝叶斯网络中节点代入到后验概率计算式(18)中得到在Start按钮为T情况下的后验概率为:
| $ \begin{split} &P(EM = T|ST = T) = \\ &\frac{{\sum\limits_{SO,PO} {P(ST = T|SO,EM = T,PO)} }}{{P(ST = T)}} \times \\ & P(PO|SO) \times P(SO) \times P(EM = T) 。\end{split} $ | (24) |
代入数据进入式(24)后,计算得到此情况下EM_CY_STOP按钮的后验概率
|
图 6 Start按钮贝叶斯网络后验概率图 Fig. 6 Posterior probability plot of the Start button Bayesian network |
在局部贝叶斯网络验证无误后,根据贝叶斯网络推理进行应急发电机启动操作推荐,最终得到全部42个操作节点的边际概率,如图7所示。
|
图 7 应急发电机启动边际概率图 Fig. 7 Marginal probability diagram of emergency generator start-up |
利用测试集算得操作员需要提供推荐时各节点的边际概率。通过计算应急发电机启动网络中42个节点的贝叶斯推理与测试集的边际概率对比,得到基于贝叶斯推理的模型准确率为92.86%,方差为
|
图 8 边际概率对比折线图 Fig. 8 Marginal probability contrast line chart |
根据准确率与方差可以得出,利用贝叶斯推理模型进行船舶机舱操作推荐能够满足实际情况。在得到贝叶斯推理模型与全部节点边际概率后,可以通过设定部分证据节点的状态,得到全部贝叶斯网络此情况下的条件概率,并通过条件概率正向完成船舶机舱操作的推荐;也可以通过设定一个目标节点发生情况下,观测到全部贝叶斯网络的后验概率,并通过后验概率逆向完成模拟器操作的推荐。
4 结 语基于贝叶斯决策推理的船舶机舱操作推荐方法,能确保船舶机舱操作决策指导的准确性,相较于传统Petri网等操作推荐方式能更好地兼顾各网络节点间的相互影响,并依据概率展示操作节点间的关联。利用船舶机舱的模拟器数据和专家经验共同构建贝叶斯推理模型,并根据节点边际概率准确率调整条件概率表进行模型优化以适应船舶机舱实际操作过程,经计算得到推理模型准确率为92.86%,方差为
| [1] |
钱兴达. 船舶机舱温度检测采集及预测关键技术研究[D]. 镇江: 江苏科技大学, 2018.
|
| [2] |
贾宝柱, 林叶锦, 曹辉, 等. 轮机模拟器中机舱资源管理培训及评估功能[J]. 中国航海, 2013, 36(3): 28-33. DOI:10.3969/j.issn.1000-4653.2013.03.007 |
| [3] |
李军, 朱云升. 三角模糊层次分析的综合评价在黄河库区船舶安全评估中的应用[J]. 重庆交通大学学报(自然科学版), 2021, 40(7): 16−22.
|
| [4] |
许萌萌, 张成伟, 梅顺峰, 等. 基于数据大脑的船岸一体机舱智能运维系统研究设计[J]. 中国舰船研究, 2022, 17(6): 79-87. |
| [5] |
伍巧芸. 船舶轮机模拟器的应用与发展[J]. 中国水运(下半月), 2023, 23(5): 43-45. |
| [6] |
郎舒妍, 曾晓光, 张民. 智能船舶工程科技发展战略研究[J]. 中国工程科学, 2019, 21(6): 27-32. |
| [7] |
曹辉, 梁世源, 赵辉, 等. 基于TOPSIS-Vague集的轮机模拟器智能评估方法[J]. 重庆交通大学学报(自然科学版), 2022, 41(11): 1-6+24. |
| [8] |
LOPEZ M A A, FLORES C H, GARCIA E G. An intelligent tutoring system for turbine startup training of electrical power plant operators[J]. Expert Systems with Applications, 2003, 24(1): 95-101. DOI:10.1016/S0957-4174(02)00087-8 |
| [9] |
HASHIMOTO Y, KITAMURAL Y, OHASHI T, et al. Transient model-based operation guidance on blast furnace[J]. Control Engineering Practice, 2019, 82: 130-141. DOI:10.1016/j.conengprac.2018.10.009 |
| [10] |
STEDANO R. The use of Petri Nets models in railway traffic applications[J]. IFAC Proceedings Volumes, 2009, 42(5): 151−156.
|
| [11] |
李孝敏. 船舶轮机设备故障处理分析[J]. 智能城市应用, 2023, 6(7): 73-75. |
| [12] |
王源庆, 苏娟. 虚拟现实轮机模拟器在航运人才培训中的应用[J]. 中国航务周刊, 2024(33): 51-53. |
| [13] |
曾青山, 李忠辉. WMS2000型轮机模拟器在航海教学中的应用与展望[J]. 航海教育研究, 2002, 19(4): 61-63. DOI:10.3969/j.issn.1006-8724.2002.04.020 |
| [14] |
曹威. 高效的贝叶斯推理电路设计及应用[D]. 成都: 电子科技大学, 2019.
|
| [15] |
胡勇健, 肖志怀, 周云飞, 等. 基于贝叶斯网络Noisy Or模型的水电机组故障诊断研究[J]. 水力发电学报, 2015, 34(6): 197-203. |
| [16] |
刘亚辉, 谭暑秋, 王越. 一种改进的贝叶斯网络结构学习分类模型及应用[J]. 计算机应用与软件, 2013, 30(3): 118-121+144. DOI:10.3969/j.issn.1000-386x.2013.03.032 |
| [17] |
COOPER G F, HERSKOVITS E. A Bayesian method for the induction of probabilistic networks from data[J]. Machine learning, 1992(, 9: 309-347. |
| [18] |
WU J, ZHOU R, XU S, et al. Probabilistic analysis of natural gas pipeline network accident based on Bayesian network[J]. Journal of Loss Prevention in the Process Industries, 2017, 46: 126-136. DOI:10.1016/j.jlp.2017.01.025 |
| [19] |
于涛. 基于故障树贝叶斯网络的TDS-8SA顶驱装置故障分析与诊断[D]. 大连: 大连海洋大学, 2022.
|
| [20] |
DE V J, KRAAK M H S, SKEFFINGTON R A, et al. A Bayesian network to simulate macroinvertebrate responses to multiple stressors in lowland streams[J]. Water Research, 2021, 194: 116952. DOI:10.1016/j.watres.2021.116952 |
2025, Vol. 47
