电磁发射装置依靠脉冲大电流代替火药将弹丸发射,发射过程中须保证电流回路的可靠连接[1 − 3],目前通常采用同轴电缆形式进行电流传导,大规模同轴电缆从电源系统敷设到发射系统炮尾汇流装置上[4],其汇流装置与身管采用硬连接方式,二者无法相对转动,即炮尾汇流装置将带着数量众多的同轴电缆随着身管同步进行高低和方位随动。同轴电缆系统运动产生的阻力[5],会对随动系统产生严重干扰,同时受制于在狭窄空间内电缆的敷设路径和方式,以及发射系统俯仰和回转需求,电磁发射装置往往体积过于庞大,且限制发射系统运动范围,直接影响武器装备轻型化和战斗力提升,图1为美国某电磁发射装置同轴电缆布局。
|
图 1 美国某电磁发射装置同轴电缆布局 Fig. 1 The coaxial cable layout of a certain electromagnetic launch device in the United States |
采用汇流环技术,同轴电缆分别固定在导电环内圈和外圈上,发射装置运动时电缆长度不受影响,可有效解决随动过程同轴电缆带来的体积、重量、运动范围限制等工程应用难题。
汇流环主要应用于航天、雷达天线座转动、电机、高压开关设备等[6]。传输电流多在几安到几百安,而电磁发射装置汇流环传输电流达百千安级及以上。汇流环设计的重点是电刷,电刷材料多是由银/石墨、铜/碳等复合材料制成,常用的结构形式通常采用活塞式电刷、丝状电刷、片状电刷、滚动电刷等[7 − 9]。
工业上接触导电在高速列车弓网系统应用广泛,认为接触电阻作为弓网接触导电的一个重要参数,是评价接触是否良好的直接依据,具体表现为接触电阻的阻值和稳定性,接触压力载荷又是界面接触表现的重要影响因素之一[10 − 11],钟江英等[12]给出了某型光电滑环接触电阻变化量≤10 mΩ。
本文基于电接触理论,对接触界面电磁斥力和接触电阻进行了分析,结合实验室环境下某汇流环试验平台,进行了百千安级脉冲大电流接触传导实验,得到了不同电流幅值、不同初始接触压力条件下的电磁斥力和接触电阻实验数据。本文研究结果可以为强电流工程应用场合下接触传导研究提供参考。
1 接触界面特征分析不同于传统的受电弓滑动电接触,脉冲大电流接触传导过程具有以下明显特点:
1)传导电流幅值大,基本在数十千安以上,最高达到兆安级;
2)传导电流为脉冲电流,具有明显的上升下降过程;
3)传导时间短,在毫秒级时间内完成电流传导。
在电刷与导电环接触副传导电流过程中,采用脉冲大电流滑动电接触的失效几乎全部发生在接触界面,其中接触压力及结构特征匹配程度直接影响界面载流能力和稳定性。汇流环设计不当,可导致电刷与导电环的接触异常,产生电弧烧蚀甚至最终接触失效。
1.1 电磁斥力分析根据电接触理论,在电刷和导电环接触区域,实际的接触是由一些离散斑点组成的,实际传导电流接触点只是接触面的小部分,电流通过这些斑点形成接触电阻,总接触面积等于接触力除以两接触材料中较软材料强度。
| $ {A_c} = F/{\sigma _{r}} 。$ | (1) |
式中:Ac为总接触面积;σr为较软材料的强度;F为接触压力。
接触面间的接触压力越大,每一接触点的半径就越大,其接触电阻就越小,如图2所示。其中,a为接触区域半径;J为电流密度;ρ1、ρ2为两接触材料电阻率;B为磁感应强度;CL为电刷接触中心线。当电流从一种导体流向另一导体时,接触点内部的电流流动路径如图3所示。
|
图 2 电流传输接触区的典型形态 Fig. 2 The typical morphology of the current transmission contact area |
|
图 3 接触表面的电磁斥力机理 Fig. 3 The mechanism of electromagnetic repulsion force on the contact surface |
图3中,r为电流沿导体表面流动时的导体表面任意一点半径距离。
根据电磁感应原理,大小为I的电流在此接触点会产生一个促使两接触面分离的力,可称之为电磁接触斥力,其值[1]:
| $ F_z=\int_a^R\frac{k\mu_0I^2\mathrm{d}r}{4\text{π}r}=\frac{k\mu_0I^2}{4\text{π}}\ln\left(\frac{R}{a}\right)。$ | (2) |
式中:k为经验系数;μ0为真空磁导率;R为接触电刷直径。接触面间外加的接触压力大于此电磁接触斥力,两接触面间才可能形成良好的电接触,否则就会接触失效,引起电弧烧蚀。
1.2 接触电阻分析接触电阻作为接触导电的一个重要参数,是评价导流质量是否良好的直接依据。
在10 ms内脉冲电流放电时间内,导电环和电刷自身电阻引起的能量损耗对于系统损耗影响较小,可忽略。如图4所示,导电环和电刷界面处接触电阻加热由膜层电阻和电流收缩部分电阻产生,接触电阻Rc由收缩电阻Rs和表面膜电阻Rf组成,公式表示如下[13]:
|
图 4 电刷和导电环的物理模型 Fig. 4 The physical model of the carbon brush and the conducting ring |
| $ {{{R}}_{{c}}} = {{{R}}_{{s}}} + {{{R}}_f} = \frac{{{\rho _1} + {\rho _2}}}{4}\sqrt {\frac{{{\text{π}} H}}{{nF}}} + \frac{{\sigma H}}{F}。$ | (3) |
式中:Rs为收缩电阻;Rf为膜电阻;n为平均导电斑点数;F为接触压力;H为材料硬度;σ为膜隧道电阻率。
由于计算导电斑点数n和平均半径a等参数非常困难,工程应用中,通常采用参考经验公式:
| $ {R_c} = \frac{{{K_c}}}{{{{(0.102F)}^m}}}。$ | (4) |
式中:Kc为与接触材料、接触表面加工情况及表面状况有关的系数;m为与接触形式有关的经验参数。
2 试验过程 2.1 试验原理在实验室环境下对电刷-导电环接触副进行脉冲大电流传导试验,原理如图5所示。脉冲电容器主要为电路回路提供毫秒级高能单脉冲电流。其中,放电主回路包括高密度脉冲电容器、控制系统、电刷-导电环。控制系统操控电源向脉冲电容器进行恒流充电至给定电压,随即触发脉冲电容器开关,将脉冲电容器迅速和电路连通,完成放电过程。
|
图 5 试验原理 Fig. 5 Principle of the experiment |
通过控制台对电路状态进行监测和控制,运动机构为导电环提供相对运动,并采集运行速度、接触压力等数据;示波器主要采集正负极电刷两侧电压等数据,系统传导电流通过控制系统自动收集保存。
2.2 试验工况设计某种电刷结构,保持电刷结构不变,实验中采用无氧纯铜材料的圆盘作为导电环,电刷材料采用铜碳复合材料,其性能参数和成分参数参考[10]。
正极电刷共2块,每块面积均为40 cm2;负极电刷共2块,每块面积均为40 cm2。
进行试验时分别设置不同的接触压力和电流幅值,试验过程中实时监测正负极电刷两侧电压和电流,导电环上接触压力变化过程通过压力传感器获取如图6所示。由于放电过程中接触电阻无法直接测得,接触电阻值通过正负极电刷间接触电压和电流的有效值并利用伏安特性间接计算得出。
|
图 6 试验用电刷结构及布局 Fig. 6 The structure and layout of the carbon brush used in the test |
| $ R = \frac{U}{I}。$ | (5) |
本次电刷结构共施加了20、40、60、80、100 kA共5种不同幅值脉冲电流,每种电流工况条件下电刷-汇流环间设置初始压力,图7为5种电流工况下的电流试验数据以及监测到的正负极电刷两侧电压试验数据。
|
图 7 不同工况下放电电流及电压曲线 Fig. 7 The discharge current and voltage curves under different working conditions |
在不同的电流密度下,对电刷的性能进行试验和测试。试验过程中未出现电刷烧蚀导致试验无法进行的情况。
3.1 电磁斥力变化试验结果及分析对20~100 kA范围内不同电流工况下接触压力波动情况进行试验,其中某典型60 kA电流试验过程中接触压力变化情况如图8所示;在脉冲电流传导过程中,接触界面激发了电磁斥力,接触压力波动最大为197.5 N ,即为本次电流引起的最大电磁斥力。
|
图 8 典型放电过程中接触压力波动曲线 Fig. 8 Typical contact pressure fluctuation curve during the discharge process |
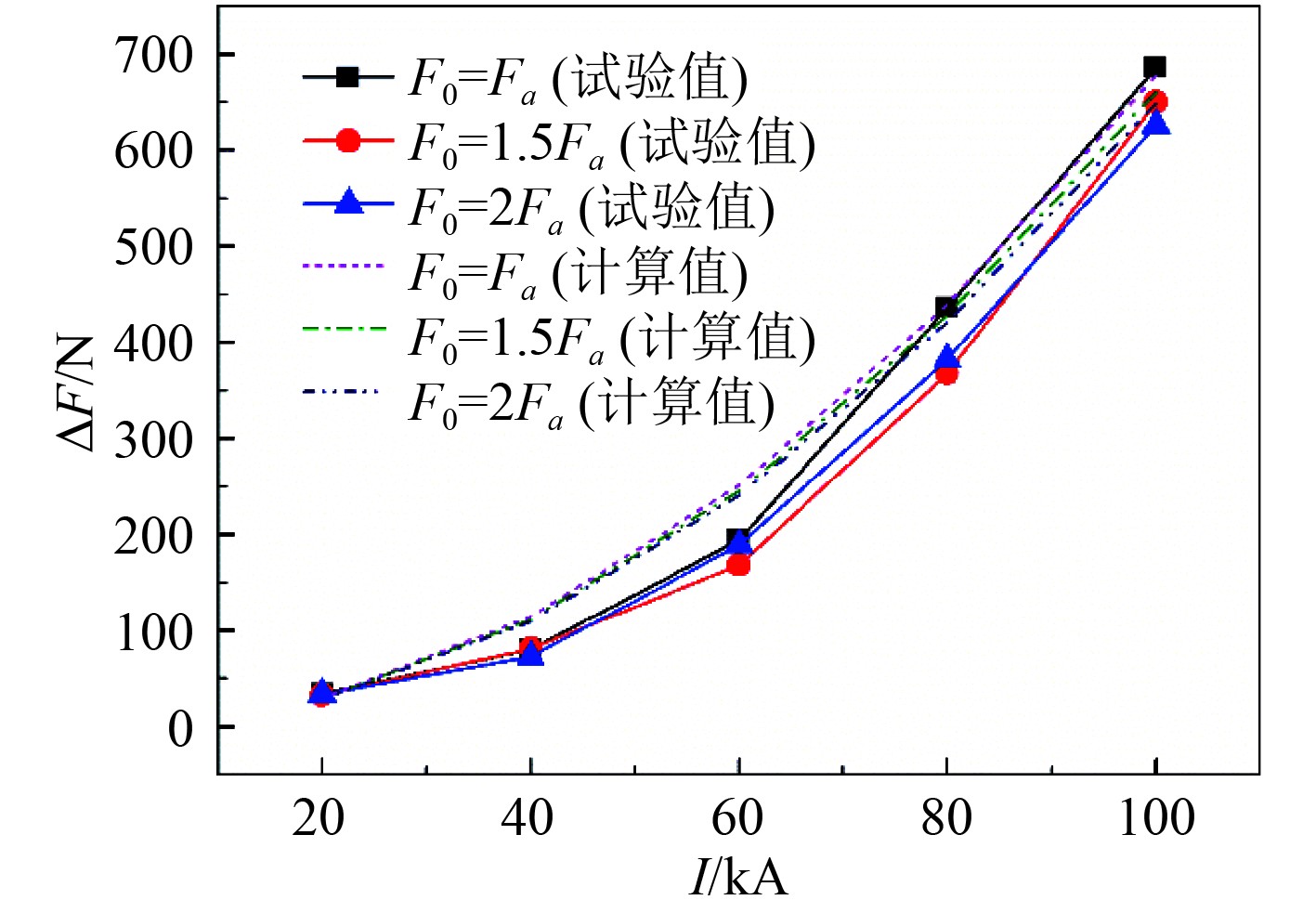
结合式(1)~式(2)对不同接触压力下的电磁斥力进行计算。结合试验数据对不同电流、不同初始接触压力工况下电磁斥力进行统计,最终得到图9结果。其中,Fa为初始接触压力,与传导脉冲电流幅值相关[1];μ=9.8。
|
图 9 不同工况下电磁斥力表现 Fig. 9 The manifestations of electromagnetic repulsion force under different working conditions |
| $ F_a = {\mu}{I}。$ | (6) |
结果表明:
1)同一种电流幅值工况试验过程中,3种不同初始接触压力条件下电磁斥力表现基本一致,表明在100 kA及以内幅值电流工况下,F0≥Fa时,电流传导界面接触特征稳定,脉冲大电流传导密度最大达到1348.8 A/cm2。
2)当接触压力满足界面良好接触时,随着脉冲电流幅值增大,理论计算结果与试验数据结果接近,变化趋势相同,整体上电磁斥力呈幂函数形式增加。
3)电磁斥力的表现特征对导电环-电刷整体匹配结构提出更高要求,即在更高能级大电流传导设计时,需要优先考虑降低单个电刷面积上的电流幅值,以此降低电磁斥力,更有利于工程化应用。
3.2 接触电阻试验结果及分析对电压和电流数据进行分析,试验过程中采集的为正负极电刷两侧电压数据,引起正负极电刷两侧电压变化的因素包含如下:
| $ {U_{a}} = L \cdot \frac{{{\rm{d}}I}}{{{\rm{d}}t}} + I \cdot {R_{a}}。$ | (7) |
式中:Ua为正极-负极电刷结构两端电压;Ra为正极电刷与负极电刷间电阻,包括正极电刷、负极电刷、导电环自身电阻和电刷-导电环接触界面电阻。本文忽略电刷和导电环自身电阻影响,L为正极电刷-负极电刷-导电环电感;I为通电电流。
| $ {U_1} = L \cdot \frac{{{\rm{d}}I}}{{{\rm{d}}t}}。$ | (8) |
对电压、电流数据进行处理,同时通过模型处理[14]得到L=0.1 μH,图10为某100 kA级典型电流传导过程中增加电感影响后的电压、电流曲线。
|
图 10 典型放电过程中电压电流曲线 Fig. 10 Typical voltage and current curves during the discharge process |
电感引起的电压与滑环两端电压峰值时间在0.12 ms时发生,电流峰值在0.50 ms发生。由图10可知,电流变化引起的电压波动和总电压曲线趋势接近,接触界面结构自身电感叠加脉冲电流高变化率对接触界面两侧电压波动贡献程度较大。
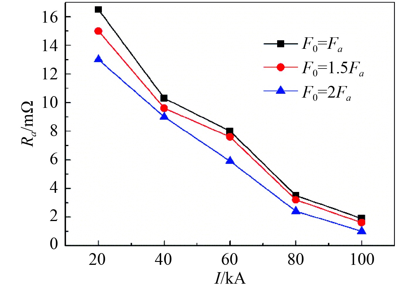
通过式(7)~式(8)对图10中数据进行数值计算,便可以得到正负极电刷间接触电阻数据值。对每一次静态放电工况最大接触电阻进行统计,得到20~100 kA放电工况下的接触电阻统计,结果如图11所示。
|
图 11 不同放电工况下接触电阻结果 Fig. 11 The results of contact resistance under different discharge working conditions |
结果表明:
1)在脉冲大电流接触传导过程中,电刷与汇流环结构的电感特性是引起正负极电刷两侧电压下降的主要因素,因而设计时需要尤其注意其结构特性;
2)同一种电流幅值工况试验过程中,初始接触压力越大,接触电阻越小,但随着电流增大,不同初始接触压力电阻波动减小;
3)随着脉冲电流幅值增大,传导界面接触电阻整体呈现下降趋势,降低趋势趋于线性;
4)总体工况中,接触电阻最大为16.5 mΩ。
4 结 语本文对影响接触界面特征的主要参数电磁斥力和接触电阻进行了分析,结合实验室环境下某电刷导流环接触副试验平台,进行了不大于100 kA的脉冲大电流传导实验,得到了不同电流幅值、不同初始接触压力条件下的电磁斥力和接触电阻实验数据。实验结果表明:
1)实验室环境下,100 kA及以内幅值脉冲大电流工况下,F≥Fa时,电流传导界面接触特征稳定,脉冲大电流传导密度最大达到1348.8 A/cm2,接触电阻不大于16.5 mΩ。
2)脉冲大电流接触传导过程中电刷-汇流环的匹配结构设计时,在满足传导界面接触电阻条件下,需要优先考虑降低单个电刷面积上的电流幅值,以此降低电磁斥力,更有利于工程化应用。但在后续研究中,仍需要对接触传导过程中传导电流、接触压力的临界性进行进一步探究。
3)本文通过试验得到了脉冲大电流接触传导过程中的电磁斥力和接触电阻值实际表现情况,可以为脉冲大电流滑动电接触的工程应用提供参考。
| [1] |
马歇尔, 王莹. 电磁轨道炮的科学与技术 [M]. 北京: 兵器工业出版社, 2006.
|
| [2] |
鲁军勇, 马伟明. 电磁轨道发射理论与技术[M]. 北京: 科学出版社, 2020.
|
| [3] |
马新科, 邱群先, 何行, 等. 螺栓紧固式轨道炮后坐规律研究[J]. 兵工学报, 2019, 40(6): 1297-1303. MA X K, QIU Q X, HE X, et al. Research on recoil law of bolt-fastened railgun[J]. Acta Armamentarii, 2019, 40(6): 1297-1303. |
| [4] |
刘可可, 吴立周, 陈亮, 等. 电磁轨道炮馈电方式分析及耦合仿真研究[J]. 舰船科学技术, 2021, 43(23): 166−169. LIU K K, WU L Z, CHEN L, et al. Research on the feed mode and coupling simulation of electromagnetic rail gun[J]. Ship Science and Technology, 2021, 43(23): 166−169. |
| [5] |
董志强, 黄凯, 陈彦辉, 等. 400kA通流能力的电磁炮俯仰型旋转电连接装置[J]. 高电压技术, 2016, 42(9): 2816-2821. DONG Z Q, HUANG K, CHEN Y H, et al. 400 kA pitching type rotary electrical joint device of electromagnetic gun[J]. High Voltage Engineering, 2016, 42(9): 2816-2821. |
| [6] |
张强, 张可墨, 刘继奎, 等. 空间导电滑环技术研究与发展综述[J]. 机械工程学报, 2022, 58(22): 334-348. ZHANG Q, ZHANG K M, LIU J K, et al. Overview of research and development on space slip rings[J]. Journal of Mechanical Engineering, 2022, 58(22): 334-348. |
| [7] |
邓书山, 赵克俊, 康成彬, 等. 汇流环关键材料选用探讨[J]. 电工材料, 2014(1): 39-42. DENG S S, ZHAO K J, KANG C B, et al. Discussion on key material selection of slip-ring[J]. Electrical Engineering Materials, 2014(1): 39-42. |
| [8] |
邓书山, 赵克俊, 康城彬. 一种新型功率汇流环的设计[J]. 舰船电子对抗, 2020, 43(3): 123-125. DENG S S, ZHAO K J, KANG C B. Design of a New Power Slip-ring[J]. Shipboard Electronic Countermeasure, 2020, 43(3): 123-125. |
| [9] |
薛萍, 陈少兵, 刘丽. 电滑环中的导电环和电刷[J]. 光纤与电缆及其应用技术, 2012(1): 11-14. XUE P, CHEN S b, LIU L. The ring and brush in the slip-ring[J]. Optical Fiber & Electric Cable and Their Applications, 2012(1): 11-14. |
| [10] |
陈忠华, 王一帆, 杨彩红, 等. 波动载荷下弓网动态接触电阻特性研究[J]. 高压电器, 2019, 55(10): 148-155+163. CHEN Z H, WANG Y F, YANG C H et al. Study on dynamic contact resistance of pantograph catenary under fluctuating load[J]. High Voltage Apparatus, 2019, 55(10): 148-155+163. |
| [11] |
陈忠华, 吴迪, 回立川, 等. 波动载荷下弓网滑动电接触失效研究[J]. 电工技术学报, 2019, 34(21): 4492-4500. CHEN Z H, WU D, HUI L C et al. Research on failure of pantograph-catenary sliding electrical contact under fluctuation load[J]. Transactions of China Electrotechnical Society, 2019, 34(21): 4492-4500. |
| [12] |
钟江英, 郭治军, 戴长军, 等. 光电滑环设计及性能动态检测研究[J]. 航空精密制造技术, 2020, 56(5): 22-25. ZHONG J Y, GUO Z J, DAI C J, et al. Research on design and dynamic detection of opto-electrical slip ring[J]. Aviation Precision Manufacturing Technology, 2020, 56(5): 22-25. |
| [13] |
王景朝, 周立宪, 司佳钧, 等. 基于温升试验的特高压换流站通流回路接头端子接触电阻经验公式参数推导研究[J]. 三峡大学学报, 2017, 39(2): 74-78. WANG J C, ZHOU L X, SI J J, et al. Research on parameter deduction in contact resistance empirical formula of contact terminal in converter station based on large current temperature rise tes[J]. Journal of China Three Gorges University, 2017, 39(2): 74-78. |
| [14] |
吴立周. 轨道炮电感梯度计算与仿真[J]. 船舶物资与市场, 2019(3): 26-29. WU L Z. Calculation and simulation of the inductance gradient of the railgun[J]. Marine Equipment Materials & Marketing, 2019(3): 26-29. |
2025, Vol. 47
