近些年随着舰用燃气轮机整机性能的不断发展,在保证足够稳定裕度的同时提高压气机级压比一直是众多研究学者追求的重要目标[1,2]。有关研究表明,高负荷扩压叶栅内部存在较大的横向逆压梯度导致端壁和吸力面极易发生角区分离[3 − 5],高轴向逆压梯度也影响低能流体的顺利流出,使得低能流体大量堆积,导致间隙泄露流和端区二次流的增加,叶栅流动损失加剧[6,7]。由于压气机实际运行过程中并不是一直处于设计工况,作为极易诱导不稳定变动参数之一的冲角会对叶栅气动性能产生一定影响。在极端冲角工况下,叶栅内分离加剧流动进一步恶化,甚至可能诱发失速和堵塞喘振现象[8 − 10],影响压气机的稳定工作。因此,探索变冲角对高负荷叶栅流动状态的影响对优化叶栅变工况条件下稳定运行性能具有非常重要的意义。
目前,大多数研究基于矩形平面叶栅进行变冲角特性研究。Weber等[11]针对某跨音速压气机叶栅进行了不同来流角度下的实验和数值研究,结果揭示了跨音速叶栅流动特性的不同之处,即叶片前缘存在端壁附面层与激波的相互作用。Gbadebo等[12]采用数值模拟的方法研究了不同冲角下压气机叶栅流动分离的特性,结果表明,角区分离的范围随着来流冲角的增加而不断扩大。Beselt等[13]对某高负荷环形叶栅开展变冲角实验研究,结果表明,在任意冲角工况下,作为叶栅通道内的主要涡结构,泄露涡均大量堆积在叶片吸力面-端壁附近。马威等[14]利用风洞对变攻角工况下叶栅流道流动进行探究,试验获得了叶片表面静压分布随来流冲角的变化趋势。孙忠民等[15]针对某级压气机级静叶栅开展了多冲角吹风试验,结果表明,相较于零冲角,正冲角(+7°)和负冲角(+7°)总压损失系数均有所提升,其中正冲角下造成的总压损失更为严重。陈浮等[16 − 18]通过试验研究了冲角变化对弯掠叶栅气动性能的影响,结果表明在较大正冲角工况时,吸力面角区范围流动稳定,低能流体堆积得到缓解,正冲角范围内具有较好的变工况性能。为探究不同来流角度对某型舰用燃气轮机高压压气机某级叶片气动性能及流场结构方面的作用影响,本文选择以0°冲角为基准向正负两边每2°选定一个冲角工况,以探究变冲角条件下高负荷扩压叶栅气动性能及流动结构的变化趋势。本文数值计算中当正负冲角分别为+8°和−10°时,叶栅通道内气动堵塞,出现分离/失速现象。为获得较为完整的叶栅变冲角损失特性,选择针对−8°~+6°冲角范围进行探究。
1 叶栅参数与数值方法 1.1 叶栅参数本文选用某型压气机静叶作为研究对象,如图1所示,该叶栅模型由50%叶高处经等值拉伸后获得,具有典型高负荷特征。其几何及气动参数如表1所示。
|
图 1 叶栅模型示意图 Fig. 1 Schematic diagram of a cascade model |
|
|
表 1 叶栅几何及气动参数 Tab.1 Cascade geometry and aerodynamic parameters |
为了更好探究变冲角对叶栅气动性能的影响,在权衡网格质量和计算资源2个因素的基础上,选取单叶片半叶高进行计算,网格数量约为131万。图2为高负荷扩压叶栅计算域网格示意图,为了使计算更好捕捉叶栅通道内的流动状态,使用Ansys ICEM对流场流域采用“H-O4H-H”划分策略生成六面体结构化网格,并在计算域三维方向上布置足够的网格节点。同时,对叶栅前尾缘及近壁面的网格进行加密处理,通过计算得到合适的壁面平均y+值为0.103,小于1,满足所选湍流模型(SST)的要求。稳态流动计算使用Ansys FLUENT 2021R2,选用耦合γ-θ转捩模型的shear stress transport(SST)模型封闭方程组。计算域进口处距离叶片前缘2C,计算域出口距离叶片尾缘2C。在叶栅通道两侧。本研究采用了平移周期性边界条件的设定,叶片表面及下端壁面设置为光滑绝热壁面,上端壁设置为对称边界条件。计算域进口给定总压、总温和湍流度,变冲角时调整进口总压使得进口马赫数保持0.66不变,出口给定静压为大气压(
|
图 2 计算域网格示意图 Fig. 2 Schematic diagram of the computational domain mesh |
本文根据跨音速平面叶栅风洞的试验结果对计算方法进行验证,图3展示了平面叶栅在进口马赫数0.72,
|
图 3 表面压力与进口总压之比的轴向分布对比 Fig. 3 Comparison of the axial distribution of the ratio of surface pressure to total inlet pressure |
为了对比分析不同来流条件下叶栅的流动性能,首先对设计工况下叶栅通道内的总压损失分布及其流场结构展开初步的探索性分析。
作为评估叶栅气动特性的一项关键指标,总压损失系数在衡量压气机内部流动损失方面提供了最为直观且准确的评价基准。定义总压损失系数为:
| $ \begin{array}{c}{ \omega }\text=\dfrac{{{p}}_{t,\text{ in}}-{{p}}_{t,\text{ out}}}{{{p}}_{t,\text{ in}}-{{p}}_{\text{in}}}。\end{array} $ | (1) |
式中:
|
图 4 叶栅S3截面位置及各S3截面总压损失系数变化曲线 Fig. 4 The position of the S3 section of the cascade and the variation curve of the total pressure loss coefficient of each S3 section |
叶根三维角区范围内低能流体团的堆积发展及通道内部复杂涡系的相互作用直接影响了压气机叶栅内的流动损失。为进一步探究各截面流动损失的发展成因,图5给出了叶栅S3截面总压损失系数分布及体流线图。可知,展向叶中处受到端壁粘性作用及二次流动影响最小,整个叶栅流道内叶型损失所占比例较小。从Sec1~Sec5截面,高损失范围在流向及展向上呈现出增大趋势,同时角区损失逐渐发展为总损失的主要表现形式,这是由于叶栅通道内轴向压力梯度的存在导致端壁附面层附近的低能流体发生分离并在叶栅吸力面和端壁之间的三维角区内大量堆积。进一步观察叶片吸力面近壁面区域体流线,由于来流附面层与端壁之间存在粘性作用,附面层范围的流体速度较低。同时受压力面与吸力面间的压差作用,横向二次流产生,大量低能流体在角区大量堆积。此外,由于受到轴向逆压梯度的影响,低能流体在抵达角区分离位置后,开始顺着吸力面及端壁分离线向前延伸发展。分别对叶片前后缘近端区区域放大,可以发现在前缘近端区,高速气流最先到达叶片前缘,之后流向端壁,在接触到端壁后分成2组后继续向四周扩散,并在端壁-前缘区域出现奇点
|
图 5 叶栅S3截面总压损失系数分布及体流线图 Fig. 5 Contours of total pressure loss in S3 sections and3D streamlines in cascade |
图6给出了叶栅通道内壁面极限流线分布及X方向速度云图。可知,叶片吸力面明显存在角区分离(Corner separation)、壁角涡(CV)和层流分离泡(SB)、转捩以及在附着现象。由于高负荷叶栅通道内的强逆压梯度,吸力面中部明显存在一起始于0.45C处分离线,终止于0.58C处再附线的闭式分离泡,其范围接近全叶高。再附线后,气流再次附着于吸力面并向叶片尾缘运动。由于受到端壁和吸力面附面层的共同影响,角区内存在起始于鞍点N3的闭式分离结构。同时可知,分离泡始发位置与角区分离起始处趋于一致。角区-端壁附近的低能流体因无法抵抗横向压气梯度的作用,沿叶片吸力面回流至角区分离点后又向尾缘折返形成回流区,并与主流形成一条明显分界线。此外,在端壁区可以清楚的观察到,来流气体在叶片前缘处形成鞍点
|
图 6 叶片表面及端壁极限流线图 Fig. 6 Limiting streamline on blade surface and endwall |
通过对设计工况下叶栅通道内流动特性分析不难得知:位于吸力面与端壁交界处的低能流体积聚及其复杂多变的涡系结构,是诱发流动损失加剧的主要原因。端壁附面层内低能流体受轴向逆压梯度影响沿角区向前缘回游至分离点后折转向尾缘发展。在此过程中,角涡与马蹄涡吸力面分支相遇后随主流向尾缘移动。作为叶栅流动损失的主体部分,三维角区分离的形成不仅于前缘马蹄涡吸力面分支、端壁-角区角涡等涡系结构有关,也对叶片尾缘脱落涡的形成具有诱导作用,而这一相互作用最终导致角区分离所造成严重损失。
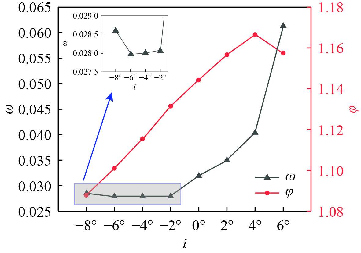
2.2 变冲角对叶栅气动性能的影响 2.2.1 整体性能分析以0°冲角为基准向正负两边每隔2°选定一个来流冲角工况,便于探究不同来流条件下高负荷扩压叶栅气动性能的变化发展。当正负冲角达到+8°和−10°时,调节总压进口均无法使进口马赫数达到设计工况要求,即此时叶栅通道内分离加剧,流动恶化,在+8°时出现了阻塞现象,在−10°时出现擁塞现象。因此,选择−8°~6°变冲角范围探究变冲角特性。为了较为全面评估叶栅的整体性能,选取总压损失系数与静压比作为2个关键的衡量参数。静压比为测点静压与进口静压之比,表征了叶栅的增压能力。静压比定义为:
| $ \begin{array}{c}\phi=\dfrac{{p}}{{{p}}_{\text{in}}}。\end{array} $ | (2) |
式中:
图7为叶栅总压损失系数及静压比随冲角的变化趋势。观察发现,随着来流角度的逐渐增大,出口处总压损失系数先呈现下降趋势,随后又表现为上升。当来流冲角为−6°时,总压损失系数达到最小值为
|
图 7 叶栅总压损失系数和静压比随冲角的变化曲线 Fig. 7 Variation curves of the total pressure loss coefficient and static pressure ratio of the cascade with the angle of attack |
来流冲角的改变必然导致流动结构发生变化,进而对叶栅通道内流动损失的发展造成一定波动。观察图8所呈现的S3截面总压损失系数云图,可清晰看出,不同冲角条件下,通道内总压损失发展趋势表现出一致性。当来流为负冲角(−8°~−2°)时,由于受端壁-吸力面侧低能流体团的影响,高损区主要位于吸力面角区附近,随着气流在叶栅通道内的运动,高损失范围沿着展向及横向变大。中径附近因端壁粘性及二次流较小波及而呈现为低损失区域。随着来流冲角的继续增大,特别是正冲角时,叶栅通道内二次流流动加剧,角区分离进一步恶化,复杂涡系结构剧烈掺混导致其裹挟的低能流体沿展向不断抬升并运动到中径附近,导致角区分离提前发生,分离范围迅速扩大并逐渐恶化。当来流冲角为+6°时,在靠近叶片前缘位置即开始发生流动分离,角区分离的高损区在近乎全流道内覆盖至1/4叶高范围,表现为强烈的角区失速。
|
图 8 各冲角下叶栅S3截面总压损失系数云图 Fig. 8 Contour of the total pressure loss coefficient of the S3 section of the cascade at each angle of attack |
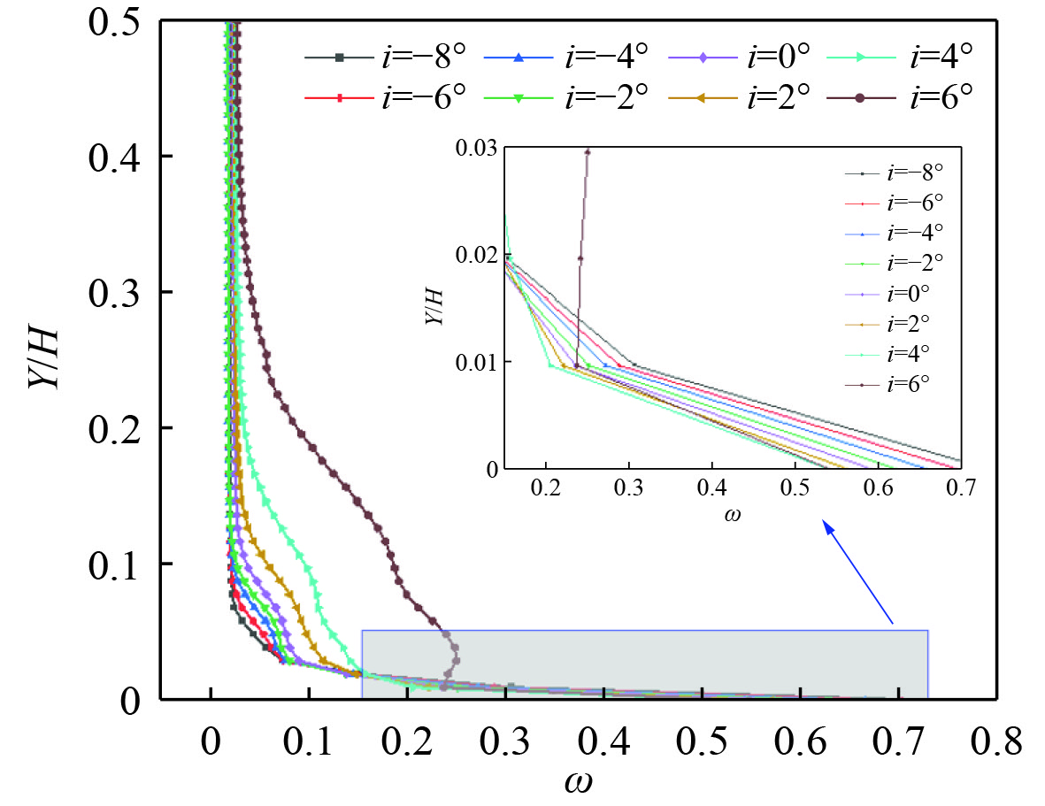
此外,为进一步量化各冲角下总压损失系数径向上的发展趋势,图9给出了Sec7截面位置总压损失系数经节距平均后随叶高的变化规律,其中纵坐标Y/H对叶高进行了无量纲化处理。如图9所示,与叶栅S3截面总压损失系数云图相一致,叶栅损失由叶型损失、端壁附面层损失和二次流损失组成。叶中展向处所对应的叶型损失处于较低水平,由于流体具有粘性,在近端壁区域存在较大的端壁附面层损失。但随着来流冲角的不断增大,叶栅通道内二次流加剧恶化,角区分离与主流之间的相互作用使得二次流损失影响程度及作用范围呈现增大趋势,相较于−6°冲角下二次流损失范围(0.03<Y/H<0.08),+6°冲角下二次流损失范围扩大为0.01<Y/H<0.35。
|
图 9 Sec7截面总压损失系数沿叶高的分布 Fig. 9 Distribution of total pressure loss coefficient along height in Sec7 cross-section |
端壁及吸力面附面层之间的相互作用直接影响了叶栅通道内的流动情况。图10为叶栅内表面极限流线,反映了各冲角下叶片吸力面和端壁流动结构的发展演化情况。
|
图 10 不同冲角下端壁及吸力面极限流线和湍动能分布 Fig. 10 Distribution of ultimate streamlines and turbulent kinetic energy of broken walls and suction surfaces at different angles of attack |
可知,在负冲角范围内,叶栅通道内流动情况较好,叶片吸力面呈现弱角区分离状态,端壁区域未发生较为明显的回流。观察端壁上的流动情况可知,端壁附面层在叶片前缘
随着来流负冲角不断增大,吸力面上的分离泡位置不断向叶片前缘前移,同时,角区分离起始提前,角区分离的范围也不断沿展向和周向拓展。总体来看,来流进气角在负冲角范围内发生变化并没有对叶栅通道内的流动拓扑结构产生较大影响。
可以发现,相较与来流负冲角工况,在0°冲角和正冲角工况时,叶栅通道内的流动状况发生明显改变。由于吸力面压力下降速度变快,分离泡消失。角区分离范围继续扩大,受来自叶片尾缘回流及端壁二次流动的相互作用,吸力面出现明显的集中脱落涡。同时,随着正冲角的增大,进气角度的改变使得端壁附面层最先接触至前缘压力面层,前缘吸力面侧绕流增强,鞍点
需要特别指出的是,对于+6°冲角下叶栅通道内的流场呈现出强分离状态。在强逆压梯度的影响下(见图11),端壁表面出现强烈的逆流现象。马蹄涡吸力面分支与端壁逆流相互作用形成螺旋节点
|
图 11 +6°冲角下叶栅25%叶高处S1截面压力分布 Fig. 11 Pressure distribution of S1 section at 25% height of the cascade at +6° angle of attack |
1)在吸力面和端壁交汇的角区,低能流体团的聚集和涡系的持续演变发展是造成流动损失的关键因素。角区分离作为叶栅流动损失的主体部分,其形成过程不仅与前缘马蹄涡吸力面分支、端壁-角区角涡等涡系结构有关,也对叶片尾缘脱落涡的发生有一定诱导作用。
2)随着来流冲角的不断增加,角区分离的起始位置向前缘移动,分离程度及范围不断加剧扩大。当叶栅通道内存在过量低能流体堆积时,此时流场结构发生转变,同时伴随着总压损失的急剧增加,叶栅性能迅速降低,此时可以判定叶栅已进入了失速状态。
3)本文研究对象在+6°冲角下发生失速,叶栅通道内的流场呈现出强分离状态。前缘端壁处的奇点(鞍点
4)本文通过构建等值拉伸构建平面叶栅模型,通过S3截面着重分析了叶栅通道内的流动情况,获得了一定结论。受模型二维性限制,计算结果距离真实流动环境仍有一定差距。因此进一步探究变冲角工况下压气机叶栅通道内流动状态,需要基于真实叶片模型,开展多流面的分析研究。
| [1] |
陈懋章. 中国航空发动机高压压气机发展的几个问题[J]. 航空发动机, 2006, 32(2): 5-11. DOI:10.3969/j.issn.1672-3147.2006.02.002 |
| [2] |
胡骏, 吴铁鹰, 曹人靖. 航空叶片机原理[M]. 北京: 国防工业出版社, 2006.
|
| [3] |
于贤君, 侯景韬, 安广丰. 转子尖部角区分离对高负荷压气机性能影响的实验与数值研究[J]. 推进技术, 2025, 46(2): 72-83. |
| [4] |
李晓东, 孙鹏, 傅文广. 端壁凹槽控制扩压叶栅角区分离的数值研究[J]. 工程热物理学报, 2022, 43(2): 316-323. |
| [5] |
姚飞, 刘玉强, 李宗明. 轮毂局部修型对轴流压气机转子叶根角区分离的抑制机理研究[J]. 工程热物理学报, 2022, 43(12): 3235-3243. |
| [6] |
吴宛洋, 钟兢军. 高亚声速时叶尖小翼®对压气机叶栅泄漏流动的影响[J]. 国防科技大学学报, 2022, 44(2): 162-178. |
| [7] |
王军, 李志昂, 王威. 分流叶片位置对平面叶栅流动分离的影响[J]. 华中科技大学学报(自然科学版), 2021, 49(12): 6-10+33. |
| [8] |
THIAM A, WHITTLESEY R, WARK C, et al. Corner separation and the on-set of stalls in an axial compressor [C]//38th Fluid Dynamics Conference and Exhibit, 2008.
|
| [9] |
GBADEBO S A, CUMPSTY N A, HYNES T P. Three-dimensional separations in axial compressors[J]. Journal of Turbomachinery, 2005, 127(2): 331-339. |
| [10] |
孙伟文, 王巍, 王晓放. 轴流压气机性能预测及喘振/堵塞流量边界分析[J]. 工程热物理学报, 2024, 45(3): 733-740. |
| [11] |
WEBER A, SCHREIBER H A, STEINERT F W. 3-D transonic flow in a compressor cascade with shock-induced corner stall[J]. Journal of Turbomachinery, 2002, 124(3): 358-366. |
| [12] |
GBADEBO S A, CUMPSTY N A, HYNES T P. Three-dimensional separations in axial compressors[J]. Journal of Turbomachinery, 2005, 127(2): 457−469.
|
| [13] |
BESELT C, ECK M, PEITSCH D. Three-dimensional flow field in a highly loaded compressor cascade [J]. Journal of Turbomachinery, 2014, 136(10): V02DT44A018-V02DT44A018.
|
| [14] |
MA W, OTTAVY X, LU L P, et al. Experiment study of comer stall in a linear compressor cascade[J]. Chinese Journal of Aeronautics, 2011, 24(3): 235-242. DOI:10.1016/S1000-9361(11)60028-9 |
| [15] |
孙忠民, 鞠凤鸣, 韩万金. 重燃压气机第7级静叶栅气动性能的试验研究[J]. 汽轮机技术, 2017, 59(5): 357-360. DOI:10.3969/j.issn.1001-5884.2017.05.011 |
| [16] |
陈浮, 赵桂杰, 宋彦萍, 等. 冲角变化对弯掠压气机叶栅壁面静压分布的影响[J]. 推进技术, 2004(6): 521-525. DOI:10.3321/j.issn:1001-4055.2004.06.010 |
| [17] |
宋彦萍, 刘振德, 陈浮. 采用弯-掠叶片的压气机叶栅变冲角性能研究[J]. 推进技术, 2004(5): 411-415. DOI:10.3321/j.issn:1001-4055.2004.05.007 |
| [18] |
陈浮, 赵桂杰, 宋彦萍. 冲角对不同掠型压气机叶栅扩压因子的影响[J]. 热能动力工程, 2005, 20(2): 116-119. DOI:10.3969/j.issn.1001-2060.2005.02.002 |
2025, Vol. 47
