相较于常规单体船,三体船具有良好的横稳性、快速性、耐波性及宽敞的总布置等特点,在军民舰船领域应用前景广阔。近年来,各国关于三体船的研究与应用逐渐增多,其已成为特种船型、高性能船型研究的焦点之一。
通过增加单体船的长宽比,可以显著降低船舶的兴波阻力、喷溅阻力和波浪增阻,从而达到提高航速的目的。所以把船体设计成瘦长型可以减小其兴波阻力[1],但这又容易导致船体的横稳性不足,而在船体两侧布置侧体可以弥补其横稳性不足的问题。侧体还可为主船体提供安全防护,提高船体的生存能力,即使航行中侧体破损,全船损失的浮力也较小。但在设计侧体相对于主体的3个方向位置布局和排水量大小不易掌握,纵向位置、横向间距、垂向高度和排水量大小,其设计的不合理都会对三体船的耐波性、阻力、横稳性以及甲板布置带来不利影响[2,3]。其中侧体与主体的排水量比过小会导致三体船稳性不足;过大则会直接增大三体船的湿表面积以及侧体与主体的相互干扰,对三体船的阻力性能不利;研究表明,低航速下侧体排水量比的变化对三体船阻力性能影响不明显,中高航速下较小的侧体排水量比的三体船兴波阻力性能更佳[4]。所以对于三体船,设计合适的侧体外形大小、排水量和位置布局是三体船设计工作中的重要环节。
在工程应用上,三体船的设计开发是一个多目标的综合优化过程,从船型布置到阻力性能、稳性、耐波性和操纵性方面都要进行综合优化设计。目前有关三体船的船型研究大多集中在侧体与主体的横向距离、纵向距离和排水量大小对水动力性能的影响,而对侧体相对于主体的垂向布局、排水量大小及阻力性能的综合优化研究却很少。三体船侧体的垂向布局也是必不可少的环节。
本文参考母型船,以一艘高速三体船为研究对象,为获取满足设计航速目标、吃水范围要求和稳性要求的三体船型,开展总体布局和性能的综合优化研究。在确定了侧体相对于主体的纵向位置和横向位置后,首先根据横稳性和阻力影响确定侧体相对于主体的布置高度,然后再根据横稳性和阻力影响进一步设计侧体的宽度。本文重点分析侧体垂向位置和宽度变化对船体横稳性和阻力性能的影响,建立的三体船侧体布局设计方法,对该船型的设计具有一定的工程应用参考价值。
1 船型方案设计 1.1 总体布局设计本文研究的三体船船型采用主体(中体)和对称的2个侧体为主要布局,主体和侧体采用“翅膀状”连接桥。推进方式拟采用常规柴油机推进。
经研究分析发现,对于三体船型,低航速下侧体应布置靠近主体船首的位置,这有利于三体船运动性能的提升,高航速下则应将侧体放置靠近主体船尾[5]。由于本船设计为高速三体船,故侧体的纵向位置应布置于主体的中后位置较佳。而侧体相对于主体的横向位置,不仅对船舶水动力性能有影响,也直接决定了三体船的甲板空间大小,而过大的间距对主体和侧体中间的连接桥的强度有较高的要求[6–7]。本文参考母型船和甲板布置面积要求确定了该三体船侧体与主体的中心距,同时对结构布置和重量进行了详细设计和计算,以验证其在要求范围内。
在确定本船的主体主尺度要素时,需要考虑的因素有:1)主体的型宽应满足动力系统的布置和其他机械设备的布置要求;2)型深应满足高速船规范对破舱稳性的要求,同时要考虑连接桥距离设计水线有一定的高度,以减小波浪的拍击。
综合以上因素,初步拟定本船的主要尺度要素如表1所示。
|
|
表 1 主尺度要素 Tab.1 Principal parameter |
对目标船型进行总布置设计,如图1所示。并开展装载工况的计算分析,以进一步研究三体船的横稳性。主体从首至尾的布置依次为首尖舱、空舱、淡水舱、燃油舱、舱底水舱、机舱、燃油舱和舵机舱。左右侧体设计为空舱。连接桥设计为非水密支撑结构,不计入横稳性浮力体的计算。上层建筑位于主甲板第一层,第二层设置为驾驶楼。
|
图 1 总布置示意图 Fig. 1 General arrangement diagram |
基于母型船对本文研究的三体船空船重量进行了计算。本船的主体、侧体和连接桥均采用钢结构,上层建筑为铝合金结构,以减轻上建的重量。钢料重量和铝合金材料重量根据母型船和相关资料进行估算,机电设备和舾装设备的重量按母型船资料估算得到。
本船载重量计算内容包括燃油、淡水、人员、备品重量等,按设计要求计算。
1.3 设计规范为便于研究分析该目标船的横稳性,本文参照下列规范及规则开展目标船的横稳性计算分析。
1)中华人民共和国海事局《国内航行海船法定检验技术规则》2020关于高速船的要求;
2)《国际航行海船法定检验技术规则》附则2的多体船要求。
2 侧体方案设计 2.1 侧体的布局设计对于侧体在船长方向上的位置布局前文已涉及,初步设定本船的侧体布置在中后位置为宜,同时侧体在长度方向的位置还需协调全船的重量重心与浮心进行调整,保证船体浮态不会出现首倾和过大的尾倾;对于侧体的横向位置,本文根据目标船甲板面积的需求,设定侧体与主体中心的横向距离。
参考母型船设定了本船侧体的外形尺寸和体积,在设定侧体尺度和外形不变的情况下,开展侧体高度方向的位置布局分析。各个方案的主船体为同一线型,以主船体底部基线为基准,设计了5个侧体垂向布局方案。只改变侧体相对于主体的垂向高度位置,会对侧体与主体的连接桥结构重量产生影响,但对全船排水量(总重)影响不大。将5种布局方案分别编号为PV01~PV05。5个方案侧体的主要参数如表2所示,其中主体吃水Tm是从主体船底部计量,侧体吃水Tc是从侧体船底部计量。如图2所示,这5个方案的侧体布局是按照距离底部基线的高度逐次递增,其中PV01方案侧体底部和主体底部平齐,PV05方案侧体底部距离主体底部基线最远,其顶部甲板与主体高度平齐。
|
|
表 2 侧体布局方案参数表 Tab.2 The parameter table of side-hull layout scheme |
|
图 2 主体和侧体的布局示意图 Fig. 2 Layout diagram of main hull and side-hull |
从表2可以看出,侧体的垂向位置布局决定了侧体自身吃水的大小,也直接反应了侧体排水量的大小,即侧体自身吃水越大,其排水量越大。根据这5个侧体垂向布局方案的静水力模型计算得出船体横稳心KMT的曲线对比,如图3所示,可以看出主体吃水在1~2.25 m范围的KMT值差别特别大,2.25 m以上差别逐渐变小。这说明主体在1~2.25 m吃水范围内,不同方案的侧体自身入水排水量的差别对横稳心的影响较大。对于本船随着吃水增加至2.25 m以上,各个方案的入水排水量都达到一个量级,对横稳心的影响明显减少。
|
图 3 侧体垂向布局的横稳心曲线对比 Fig. 3 Comparison curve of transverse metacentric for side-hull vertical layout |
在研究过程中,针对侧体垂向布局的5个方案,采用全粘流计算流体力学(CFD)软件 STAR-CCM+对三体船和主船体进行了目标航速的数值模拟[8]。在数值模拟过程中开展了基于模型尺度(1∶9)的阻力性能仿真计算,对应实船计算航速为32 kn,阻力结果如图4阻力值对比曲线和图5侧体垂向布局方案的自由液面兴波对比图。可以看出,PV01方案的侧体排水量最大,侧体与主体相互干扰所带来的阻力和自由液面兴波也最大。故侧体排水量越小对阻力性能越有利。但排水量过小可能会使船体的横稳性不足。故此需要进一步详细分析这5个方案对船体横稳性的影响。
|
图 4 侧体垂向布局阻力对比曲线图 Fig. 4 Comparison curve of resistance for side-hull vertical layout |
|
图 5 侧体垂向布局方案的自由液面兴波对比图 Fig. 5 Comparison diagram of free surface wave for vertical side-hull layout scheme |
相比于大型船舶,三体船的吨位通常较小,其在高速航行过程中,随着燃料的消耗,吃水的变化比较明显。本文研究的三体船亦是如此,为了提高横稳性分析结果的可靠性,研究分析需要覆盖本三体船的吃水范围。故对三体船的轻载吃水工况和满载吃水工况同时进行了稳性分析。其中轻载吃水工况燃油装载量为油舱的10%,满载吃水工况的燃油装载量为油舱的100%。
计算结果见表3和表4,可知,轻载工况下,方案PV04和PV05的GM值为负值,不满足初稳性高GM>0.15 m的要求,说明侧体布置太高会使侧体吃水太浅,侧体排水量过小,造成初稳性高GM值太低而不满足要求。故首先排除这2个侧体布局方案。
|
|
表 3 侧体垂向布局方案轻载吃水工况横稳性计算结果 Tab.3 Transverse stability calculation results of vertical layout schemes of side-hull under light load draft conditions |
|
|
表 4 侧体垂向布局方案满载吃水工况横稳性计算结果 Tab.4 Transverse stability calculation results of vertical side-hull layout schemes under full load draft conditions |
恢复力臂曲线下的面积表征了在风浪条件下船体倾斜后的恢复能力,其中满载吃水工况,方案PV01的面积不满足要求值,说明该方案的侧体吃水过大,水线以上的储备浮力不足,致使恢复能力较弱。故也可以排除该侧体布局方案。方案PV02也刚过线,余量较小。
从抗风能力上分析,方案PV02和PV03均满足要求,其中方案PV03在轻载吃水工况和满载吃水工况的抗风指标均比方案PV02的指标高,说明方案PV03的抗风能力优于方案PV02。另外,方案PV02的轻载工况GM值较大,横摇周期较短,会使晕船率较高。
综合以上几点分析最终选择方案PV03作为目标船的侧体布局方案。
2.2 侧体的宽度设计改变三体船的侧体排水量比对侧体的兴波影响较为显著,通常侧体排水量比越小时,侧体的兴波,以及与中体产生的兴波干扰越小,其兴波阻力也越小;但由于过小的侧体排水量会造成船体的横稳性变差,甚至导致船体倾覆。在初步确定了方案PV03作为侧体的垂向布局的基础上设计了4个宽度不一样的侧体方案,如图6所示,进一步研究侧体宽度的影响。
|
图 6 侧体宽度方案示意图 Fig. 6 Schematic diagram of side-hull width scheme |
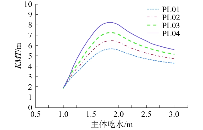
根据这4个侧体宽度布局方案的静水力模型计算得出船体横稳心KMT的曲线对比,如图7所示。可以看出:1)随着主体吃水的增加不同侧体宽度横稳性高增加的较快,达到顶峰后开始下降;2)在相同主体吃水下,随着侧体宽度的增加,排水量变大,使横稳性高很快增大,对船体的横稳性也更有利。
|
图 7 侧体宽度方案的横稳心对比曲线 Fig. 7 Transverse metacentric contrast curve of schemes with widths of side-hull |
同样,对三体船的轻载吃水工况和满载吃水工况同时进行稳性分析。表5和表6可知,方案PL01因侧体宽度最窄,排水量最小,最大恢复力臂曲线下的面积比值不满足>1的要求。故PL01不满足横稳性要求,需要进一步取更宽更大排水量的侧体方案。PL03和PL04方案横稳性较PL02更好,但由于过大的排水量会增大兴波阻力,故最终宜选排水量及兴波阻力均较小,且又能满足横稳性要求的PL02方案。基于前文的阻力数值计算方法开展相同航速的阻力计算,图8为4个方案的阻力对比曲线,图9为4个方案的航行兴波对比图。可以看出:侧体方案PL01~PL04的阻力和自由液面兴波依次增加。
|
|
表 5 侧体宽度方案-轻载吃水工况的稳性计算结果 Tab.5 Stability calculation results of side-hull widths - light load draft conditions |
|
|
表 6 侧体宽度方案-满载吃水工况的稳性计算结果 Tab.6 Stability calculation results of side-hull widths - full load draft conditions |
|
图 8 侧体宽度方案的阻力对比曲线 Fig. 8 Resistance contrast curve of schemes with widths of side-hull |
|
图 9 侧体宽度方案的自由液面兴波对比图 Fig. 9 Comparison diagram of free surface wave for side-hull width schemes |
根据最终方案的阻力值,结合本船的布置空间要求而选定的主机,其功率可达到设计航速,故该设计方案满足设计要求。
3 结 语通过NAPA稳性分析软件和CFD分析软件对目标三体船的侧体垂向和宽度布局方案的横稳性及阻力性能的综合分析,可以看出:
1)侧体相对于主船体布置越高,侧体吃水越浅,侧体排水量越小,总阻力越小对航行性能越有利。但吃水和排水量过小会导致船体初稳性高GM值太低而不满足横稳性要求。
2)侧体相对于主船体布置越低,侧体吃水越大,水线以上的干舷就越低,容易造成储备浮力不足,致使船体恢复能力较弱,也容易使船体横稳性不足。同时,侧体吃水越大,其排水量越大,及阻力也越大,不利于航行性能。
3)侧体宽度越窄,排水量越小,船体阻力越低,但船体横稳性越差。侧体宽度越宽总排水量越大,横稳性越好,但阻力增加越大。
由此可见,侧体的高度和宽度布置在三体船的侧体设计中较为重要,需要注意先基于初步方案确定其相对于主体的布置高度,然后再根据横稳性和阻力影响进一步设计侧体宽度,最终迭代满足设计航速要求;侧体相对于主体的垂向布局和宽度设计对横稳性及阻力性能的综合优化研究是三体船型总体设计中不可缺少的环节。
| [1] |
唐建飞, 何术龙, 徐伟光. 不同侧船体对三体船横稳性的影响研究[J]. 船舶力学, 2014, 18(11): 1306. DOI:10.3969/j.issn.1007-7294.2014.11.005 |
| [2] |
孙文祺, 张奇, 姜兆祯, 等. 基于CFD的排水型三体无人艇阻力优化研究[J]. 舰船科学技术, 2023, 45(7): 93-97. SUN W Q, ZHANG Q, JIANG Z Z, et al. Research on optimization of displacement trimaran USV resistance based on CFD[J]. Ship Science and Technology, 2023, 45(7): 93-97. DOI:10.3404/j.issn.1672-7649.2023.07.019 |
| [3] |
魏亚博, 王建华, 万德成. 基于黏流的三体船片体布局优化[J]. 中国造船, 2022, 63(4): 139-141. WEI Y B, WANG J H, WAN D C. Layout optimization of trimaran side hulls based on viscous flow[J]. Ship Building of China, 2022, 63(4): 139-141. DOI:10.3969/j.issn.1000-4882.2022.04.013 |
| [4] |
周广利, 振前, 黄德波. 侧体排水量比对三体船阻力性能的影响[J]. 舰船科学技术, 2016, 38(1): 6-11. ZHOU G L, ZHEN Q, HUANG D B. The resistance performance affected by side-hull displacement ratio of trimaran[J]. Ship Science and Technology, 2016, 38(1): 6-11. |
| [5] |
郑律, 丛刚, 王耀辉. 三体船侧体位置优化设计研究[J]. 船舶, 2012, 23(4): 23-27, 37. ZHENG L, CONG G, WANG Y H. Optimization design on the side-hull location of trimaran[J]. Ship and Boat, 2012, 23(4): 23-27, 37. |
| [6] |
Lloyds Register. Rules for the Classification of Trimarans[S]. 2006.
|
| [7] |
王显正, 刘见华. 某型三体船总载荷的特点和强度分析[J]. 船舶与海洋工程, 2020, 36(6): 21-23. WANG X Z, LIU J H. Analysis of global loads characteristics and strength of a trimaran[J]. Naval Architecture and Ocean Engineering, 2020, 36(6): 21-23. |
| [8] |
张明霞, 韩兵兵, 卢鹏程, 等. 基于STAR-CCM+的小水线面三体船阻力数值仿真[J]. 中国舰船研究, 2018, 13(4): 79-85. ZHANG M X, HAN B B, LU P C, et al. Numerical simulation for resistance of trimaran small waterplane area center hull based on STAR-CCM+[J]. Chinese Journal of Ship Research, 2018, 13(4): 79-85. |
2025, Vol. 47
