| 定向井三向主应力模型及影响因素分析 |
随着石油工业的发展,定向井被广泛的应用于石油天然气的勘探开发中,定向井井周应力分布得到了系统、深入的研究。定向井主应力通常应用于井壁稳定性分析、水力压裂的裂缝开启及传播、储层出砂等问题的研究。定向井井眼轨迹为三维空间曲线,这使得定向井井周主应力分布的求解十分困难。为了解决定向井井壁稳定、裂缝起裂等问题,国内外学者基于弹性力学建立了井周主应力解析模型法[1-4],但这些方法基本都局限在井壁上,对于远离井壁的应力点并不适用。目前,远离井壁点的主应力通常采用有限元等数值方法模拟[4]。本文采用坐标转化方法,建立了井周三向主应力求解方法,通过该方法可以求解井周任意一点的主应力大小与方向。该方法对于解决井壁稳定、裂缝扩展及出砂等问题有一定的帮助。
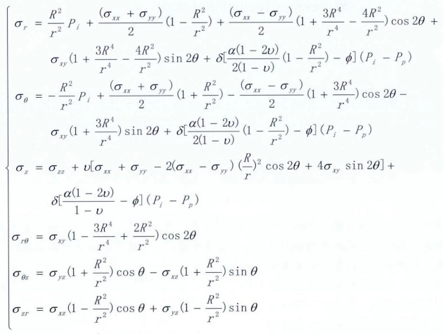
1 定向井三向主应力模型 1.1 定向井井周应力分解为了建立井周应力模型,需要假设垂直于井眼的平面内满足平面应变要求。如图 1所示,定向井主要受到三向地应力的影响,包括上覆岩层压力(σV)、最大水平地应力(σH)与最小水平地应力(σh),通常地应力在直角坐标系1中表达,但是直角坐标系1对于求解井周应力非常不便,为了方便求取井周应力需要将应力分解到极坐标系2中。定向井各应力分量的通解,可以利用应力分解,然后通过线性叠加的方法求得,首先将地应力分解到坐标轴方向[1, 2]:
|
(1) |
![]() |
| 图 1 定向井示意图 |
式中:Ψ-井斜角;
Ω-方位角。
然后,求解各分量在井周产生的应力,叠加后得到:
|
(2) |
式中:α-有效应力系数;
υ-泊松比;
ϕ-孔隙度;
δ-渗流系数;
Pp-孔隙压力;
Pi-井内压力;
井周角0°在最大地应力的垂面内。
1.2 定向井井周主应力求解模型对于直角坐标系,空间主应力可通过几何法求解,空间主应力的求解公式[5]:
|
(3) |
式中:σ-正应力,下标x,y,z分别是直角坐标系三个方向,下同,无坐标为主应力;
τ-切应力。
将公式(3)展开后,可以表示为:
|
(4) |
式中:Θ1=σx+σy+σz,
|

由于应力张量是一个实对称的二阶张量,存在若干标量不变量,它们不随坐标轴的变化而变化,包括直角坐标的旋转缩放,直角坐标到柱坐标等等,公式(4)中的Θ1,Θ2、Θ3为应力不变量。
因此,在直角坐标系向极坐标系转化后,存在如下关系(考虑到坐标系区别,将极坐标坐标系中的Z轴标记为ρ):
|
(5) |
极坐标下的应力分量已知的情况下,公式(4)同样可以求得各点的主应力大小。
对定向井而言,将公式(2)代入到公式(5),再代入公式(4),求解一元三次方程,即可以得到定向井井周任意一点的主应力大小,标记为σ1、σ2以及σ3;其中,σ1为最大主应力,σ3为最小主应力。图 2为主应力沿井径方向变化图,如图所示,在该算例中,远离井壁,最大主应力逐渐下降,中间主应力逐渐上升,最小主应力先下降后上升,三向主应力都会逐渐趋向于固定值。
![]() |
| 图 2 三向主应力沿井径方向变化图 |
2 定向井三向主应力分布规律及影响因素分析
定向井三向主应力分布规律及影响因素模拟相关参数见表 1,算例中无特别说明的变量均取表 1中的值。
| 表 1 模拟相关参数 |
2.1 主应力在井周方向上的分布
主应力在井周方向的分布,往往决定着破坏的起始点、裂缝起裂及传播的方向等。为了研究主应力在井周方向上的分布,取表 1中的参数,分别选取井斜角及方位角均为0°、45°及90°,如图 3至图 5。图 5所示算例中,井斜角及方位角均为90°,定向井主应力计算模型退化为直井主应力模型,该算例中,垂直于最大水平地应力方向的三向主应力均为最大,其计算结果与利用直井模型计算结果是相同的,这证明利用坐标转化及应力不变量建立的主应力模型是正确的。对比图 3、4、5,可以看出,不同的方位角及井斜角条件下,三向主应力在井周的分布变化很大,三向主应力的最大值位置也会出现变化,而不是像直井,最大值总是出现在垂直于最大水平地应力方向。为了方便研究,在以下的算例中取井周角为45°。
![]() |
| 图 3 方位角与井斜角均为0°时井周主应力分布 |
![]() |
| 图 4 方位角与井斜角均为45°时井周主应力分布 |
![]() |
| 图 5 方位角与井斜角均为90°时井周主应力分布 |
2.2 地应力组合对井周主应力分布影响
地应力主要受到上覆岩层压力与构造运动的影响,其中,构造运动的影响体现在断层的形态,正断层、逆断层及走滑断层分别决定了三种地应力大小顺序,分别是:SV>SHmax>SHmin,SHmax>SV>SHmin,SHmax>SHmin>SV[6]。为了分析不同的应力组合对定向井井周主应力的影响,设定了三种算例,分别是:(1)当SV>SHmax >SHmin时,SV=90 MPa,SHmax =80 MPa,SHmin =70 MPa;(2)当SHmax >SV>SHmin时,SV=80 MPa,SHmax =90 MPa,SHmin =70 MPa;(3)SHmax>SHmin>SV时,SV=70 MPa,SHmax =90 MPa,SHmin =80 MPa。其中,相同参数包括,井斜角、方位角与最大地应力方向夹角均取45°,其他缺省变量见表 1。
如图 6至图 8所示,变化三向地应力的组合对井周的主应力分布影响很大。这种影响不仅包括井周主应力的大小,而且包括主应力分布形状,该现象表明三向主应力分布受地层历史构造运动的影响较大。同时,图 6至图 8也反映出三向主应力在井周方向大小差异明显,井壁坍塌、出砂等可能会从井周的某一点开始。同理,裂缝的起裂位置及传播方向也会受到不均匀的主应力影响。更多的算例表明,在井周不同位置上,主应力分布规律有较大的差异。
![]() |
| 图 6 当SV>SHmax >SHmin时,主应力在井周的分布形态 |
![]() |
| 图 7 当SHmax >SV>SHmin时,主应力在井周的分布形态 |
![]() |
| 图 8 当SHmax >SHmin>SV时,主应力在井周的分布形态 |
2.3 井斜角对井周主应力分布影响
井斜角是描述定向井井眼轨迹的重要参数,也是影响主应力分布的主要参数,为了分析井斜角对主应力的影响,设定了以下算例,仅考虑地层为正断层,即SHmax >SV>SHmin时,设SV=80 MPa,SHmax =90 MPa,SHmin =70 MPa。方位角与最大水平地应力的夹角取0°、45°以及90°,井斜角在0 ~90°之间,每15°取值一次。
图 9至图 11为选取不同的井斜角时,三个主应力在井周上的分布图。可以看出,随着井斜角的变化,最大、中间以及最小主应力变化都较大,井斜角对主应力的影响主要体现在主应力分布与大小。
![]() |
| 图 9 最大主应力随井斜角变化规律 |
![]() |
| 图 10 中间主应力随井斜角变化规律 |
![]() |
| 图 11 最小主应力随井斜角变化规律 |
图 12至图 14为三向主应力及主应力夹角随井斜角变化图,主应力差值为最大主应力与最小主应力的差值,该算例中井周角为45°,取方位角与水平最大地应力方向夹角分别为0°、45°及90°,分别表征了井眼平行于最大地应力方向、一般状态以及垂直于最大地应力方向。对比三张图,可以看出,随着井斜角增大,最大主应力增大,中间主应力减小,最小主应力也减小,主应力差值随井斜角增大而增大,当井斜角在0°附近时,三种情况类似,随着井斜角的增加,三种情况的差异逐步加大,在井斜角为90°时,差异最大。
![]() |
| 图 12 方位角为0°时,主应力及主应力差值随井斜角变化规律图 |
![]() |
| 图 13 方位角为45°时,主应力及主应力差值随井斜角变化规律图 |
![]() |
| 图 14 方位角为90°时,主应力及主应力差值随井斜角变化规律图 |
如图 12、图 14所示,这两种情况下,三向主应力的值相对比较大,应力差值也较大,而当方位角为45°时,三向主应力的值较低,差值也较小。
2.4 方位角对井周主应力分布影响方位角同样是描述定向井井眼轨迹的重要参数,也是影响主应力分布的主要参数。方位角对井周应力的影响主要体现在井斜方位角与地应力方向的夹角上,为了分析井斜角对主应力的影响,设定了以下算例,仅考虑地层为正断层,即SHmax >SV>SHmin时,设SV=80 MPa,SHmax =90 MPa,SHmin =70 MPa。井斜角取45°,方位角与最大水平地应力夹角在0~90°之间,每15°取值一次。
图 15至图 17为选取不同的井斜方位角与地应力方向的夹角时,三个主应力在井周上的分布图。可以看出,随着夹角的变化,最大、中间以及最小主应力的变化都比较明显。该算例中,最小主应力出现了负值,由于上述公式假设的正值为压应力,表明随着井斜方位角的变化,地层可能出现拉应力。
![]() |
| 图 15 最大主应力随井斜角方位角变化规律 |
![]() |
| 图 16 中间主应力随井斜角方位角变化规律 |
![]() |
| 图 17 最小主应力随井斜方位角变化规律 |
图 18至图 20为三向主应力随井斜方位角与地应力方向的夹角变化图,该算例中井周角为45°,取井斜角分别取0°、45°及90°,分别表征了直井、一般定向井及水平井。如图 18所示,直井的主应力在夹角0°~90°之间对称分布,在0°~45°之间,随着方位角的增加,直井最大主应力先减小后增加,中间主应力先增加后减小,最小主应力单调增加,主应力差值变化规律与最大主应力变化规律相同;对于井斜角为45°的定向井和水平井,却并非对称分布,随着方位角的增加,最大主应力与主应力差值先减小后增加,中间主应力与最小主应力先增加后减小。
![]() |
| 图 18 井斜角为0°时,主应力及主应力差值随方位角变化规律图 |
![]() |
| 图 19 井斜角为45°时,主应力及主应力差值随方位角变化规律图 |
![]() |
| 图 20 井斜角为90°时,主应力及主应力差值随方位角变化规律图 |
3 结论
通过定向井主应力模型及影响因素分析,主要得到了以下结论:
(1) 利用坐标转化及应力不变量,可以建立起定向井主应力求解模型,该模型对于分析井壁稳定性、水力压裂的启动与传播压力以及出砂等问题有一定的帮助;将该模型应用于直井中,其结果与直井主应力模型计算结果相同,说明该模型是正确的。
(2) 定向井的主应力分布形态,受到三向地应力组合的影响较大;在研究与主应力相关问题时,应该注意到不同的构造形式决定的地应力组合。
(3) 主应力大小及差值受到井斜角及井斜方位角与地应力方向的夹角影响很大,井斜角与井周角不同的组合条件下,主应力及主应力差值差异明显,甚至最小主应力可能出现拉应力,这对研究井壁稳定、出砂及压裂都有一定意义。
(4) 受到文章篇幅限制,仅展示了井周角45°时,主应力受井斜角、方位角的影响。实际应用该模型解决问题时,需要针对问题的特点,进一步分析主应力在井周的分布规律及影响因素。
| [1] |
陈勉, 金衍, 张广清. 石油工程岩石力学[M]. 北京: 石油大学出版社, 2008: 59-61.
|
| [2] |
Fjaer E, Holt R M, et al. Petroleum Related Rock Mechanics[M]. London: ELSEVIER, 1992: 144-146.
|
| [3] |
金衍, 陈勉, 柳贡慧, 等. 大位移井的井壁稳定力学分析[J]. 地质力学学报, 1999, 5(1): 4-11. |
| [4] |
李军, 陈勉, 金衍, 等. 大位移井井壁稳定三维弹塑性有限元分析[J]. 岩石力学与工程学报, 2014, 23(14): 2385-2389. |
| [5] |
徐芝纶. 弹性力学简明教程[M]. 北京: 高等教育出版社, 2002: 147-148.
|
| [6] |
[美]马克D. 佐白科. 储层地质力学[M]. 石林, 陈朝伟, 刘玉石, 等. 译, 北京: 石油工业出版社, 2012: 6-8.
|
2014, Vol. 34





















