| 利用测井资料计算的含水率识别恩平凹陷低阻油层 |
2. 中海石油(中国)有限公司深圳分公司, 广东广州 510240;
3. 中国石油化工股份有限公司上海海洋油气分公司研究院, 上海 200120
2. Shenzhen Branch of CNOOC Ltd, Guangzhou Guangdong 510240, China;
3. Institute of S1 NOPEC Shanghai Offshore Oil & Gas Compangy, Shanghai 200120, China
2010年,在恩平凹陷钻探了多口探井,发现大量存在岩石颗粒细、泥质含量高的低电阻率油层。其电阻率低,与同一油水系统内水层电阻率接近,电阻率增大率小于3,油水识别困难,给测井评价带来很大难度。因此笔者利用大量测井、测试和岩石物理实验资料,运用印度尼西亚公式消除高泥质含量影响计算含水饱和度;建立束缚水饱和度与孔隙度和渗透率的关系来确定束缚水饱和度;利用相渗实验资料建立油水相对渗透率与含水饱和度、束缚水饱和度的关系来确定各相流体的相对渗透率;最终建立含水率计算模型。利用建立的含水率模型对恩平凹陷7口井进行处理,应用效果良好,能够有效地识别储层流体性质。
1 高泥质含量储层的含水饱和度恩平凹陷低电阻率油层岩性是以细砂岩和粉砂岩为主,且泥质含量高,一般在30%以上。当泥质含量较高时,地层电阻率受泥质的影响降低十分明显,运用阿尔奇公式计算含水饱和度偏高,因此计算饱和度时,应该消除泥质的影响。印度尼西亚公式能够消除泥质的影响[1]:
|
(1) |
式中:Sw-含水饱和度;
a、b、m、n-岩电参数;
ϕ-地层孔隙度;
Rw-地层水电阻率;
Rt-原状地层电阻率;
Rsh-泥岩电阻率;
Vsh-泥质含量。c=1-0.5Vsh。
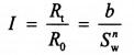
当利用(1)式计算含水饱和度时,需利用(1)式回归岩电参数。当Sw=1时,R0=Rt,由(1)式得:
|
(2) |
|
(3) |
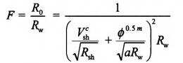
式中:F-地层因素;
I-电阻率增大指数;
R0-全含水岩石电阻率。
由(3)式可知,若考虑泥质的影响,回归的b与n值跟利用阿尔奇公式得到的相同。由(2)式可知,若考虑泥质的影响,回归的a与m值跟利用阿尔奇公式得到的不同。因此需要重新利用(2)式回归a与m值。泥质含量参数若有实验分析结果,则利用实验分析结果,否则直接利用测井计算结果。泥岩电阻率直接从泥岩段电阻率测井曲线上读取[2]。本地区利用岩电实验资料得到的结果为:a=1.39,b=1,m=1.8,n=1.965。
恩平凹陷高泥质含量地层利用以上岩电参数采用印度尼西亚公式计算含水饱和度。
2 渗透率储层渗透率受孔隙度、岩性、胶结物含量以及成分等各方面因素影响。经验表明,渗透率随着孔隙度的增大而明显增高。由常规物性分析资料可得孔隙度与渗透率的关系,图 1为恩平凹陷渗透率与孔隙度关系图,其相关性较好,关系式为:
![]() |
| 图 1 恩平凹陷渗透率与孔隙度关系 |
|
(4) |
式中:K-渗透率;
ϕ-孔隙度:
3 束缚水饱和度束缚水是指在地层压力条件下滞留于微小毛细管及孔壁表面而不能流出的地层水。因此,束缚水饱和度就是指在某一规定压差下,岩石中不可流动的水的体积占岩石总孔隙体积的百分比。
束缚水饱和度是渗透率、粒度、泥质含量、孔喉直径等因素共同作用的体现。一般而言,渗透率越小,储层的孔隙结构越差,微孔隙越发育,束缚水饱和度越高;粒度越小,砂岩的比表面增加,孔隙半径变小,微孔隙发育,束缚水饱和度越高;泥质含量高,造成一部分孔隙被堵塞或孔隙半径变小,束缚水饱和度高[3]。
因此,影响储层束缚水饱和度大小的因素很多,归纳起来主要有泥质含量、孔隙结构、粒度、岩石比表面、孔隙度、渗透率和油气柱高度等因素。以上诸多因素中有许多因素是相互联系,互为因果,并存在着明显的交互影响。因此,对于束缚水饱和度来说,它们并不是独立的影响因素。
孔隙度和渗透率是能间接反映束缚水饱和度大小的岩石物性参数。孔隙度小的岩石,其孔隙度结构一般较为复杂,孔隙空间小,喉道细,因而能束缚较多的水,形成高束缚水饱和度。孔隙空间大,孔隙结构简单,孔隙喉道大的岩石,一定具有较大的流体渗透能力,而它不能束缚较多的地层水,因而孔隙度和渗透率与束缚水饱和度具有相关关系。
毛管压力实验是确定束缚水饱和度的有效方法。通过研究发现束缚水饱和度与渗透率K和孔隙度ϕ的比值有较好的相关性,图 2是半渗透隔板法毛细管压力测得的束缚水饱和度Swi与孔渗比开方
![]() |
| 图 2 束缚水饱和度与孔渗比开方关系图 |
|
(5) |
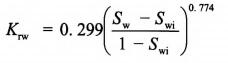
含油饱和度的大小,并不是产层在生产测试过程中能否出水的唯一标准。对于束缚水含量高的产层,即使其油气饱和度小于50%,仍然可产无水油气,储层的产液性质决定于油水相对渗透率。同时油水相对渗透率也是求取含水率的必要参数。图 3是恩平凹陷6块样品油水相渗实验结果,由实验结果进行多元非线性回归可得油水相对渗透率的计算公式:
![]() |
| 图 3 油水相对渗透率与含水饱和度关系 |
|
(6) |
|
(7) |
式中:Krw-水相对渗透率;
Kro-油相对渗透率;
Sw-由测井计算的含水饱和度;
Swi-由测井计算的束缚水饱和度。
5 利用含水率识别储层流体性质含水率是描述储层产液性质的直接参数,因而笔者通过求准储层的含水率,用含水率识别储层的产液性质。
含水率计算公式可由多相共渗的分流量方程得到[4]
|
(8) |
式中:μw-地层条件下水的黏度;
μo-地层条件下油的黏度。
分析上式看出,储层的产液性质取决于各相流体的相对渗透率和水油黏度比。地层条件下油的黏度可由原油分析资料获得,水的黏度由地层条件温度和矿化度获得。恩平凹陷地层条件下油水黏度见表 1。
| 表 1 地层条件下油水黏度 |
若油水解释结果定为油层、含水油层、油水同层、含油水层、水层五级,根据中国海洋石油有限公司2006年6月出版的勘探监督手册《测井分册》(修订版),可用表 2中的标准根据含水率确定油水层解释结果。
| 表 2 由测井计算的含水率识别储层流体性质 |
6 应用效果分析
图 4~图 6分别为A、B、C井利用本文方法得到的测井处理解释成果图。图 4所示,1、4、5号层测井计算的含水率接近于0,解释为油层。1 512~1 525 m、1 532~1 545 m气测录井有油气显示,总烃含量分别为52 215 μL/L、22 117 μL/L;1 511~1 520 m段DST测试,产油111.8 m3/d,气微量,测试结论为油层,验证了解释结论;2号层测井计算的含水率为60.2%,解释为油水同层。1 523.2~1 524.7 m MDT测试结论为油水同层,验证了解释结论;3号层测井计算的含水率接近100%,解释为水层。
![]() |
| 图 4 A井测井处理解释成果图 |
![]() |
| 图 5 B井测井处理解释成果图 |
![]() |
| 图 6 C井测井处理解释成果图 |
图 5所示,1号层测井计算的含水率接近于0,解释为油层。1 63l~1 636 m气测录井有油气显示,总烃含量为10 743 μL/L;1 631.8 m处MDT取样,取样总体积为840 mL,其中油840 mL,不含水,取样结论为油样,验证了解释结论。
图 6所示,1~4号层测井计算的含水率接近于0,解释为油层。1 255~1 260 m、1 262~1 265 m气测录井有油气显示,总烃含量分别为1 512~1 525 m、1 532~1 545 m气测录井有油3 644 μL/L、10 361 μL/L;1 255.2~1 263 m MDT测试,流体密度为0.78 g/cm3,测试结论为油层,验证了解释结论;6号层测井计算的含水率接近100%,解释为水层。1 266 m处MDT取样,取样总体积为420 mL,其中水420 mL,不含油,取样结论为水样;1 264.5~1 270 m MDT测试,流体密度为1.02 g/cm3,测试结论为水层,验证了解释结论。
以上实例充分验证了本文方法能够有效地识别低电阻率油层,确定储层流体性质。
7 结论在泥质含量较高地区计算含水饱和度时,应该考虑泥质含量的影响,印度尼西亚公式能够消除泥质含量对含水饱和度的影响,但其中的岩电参数应由岩电实验结果通过印度尼西亚公式回归获得。在准确计算含水饱和度和束缚水饱和度的基础上,利用测井资料计算含水率,通过含水率能够有效地识别低电阻率油层,确定储层流体性质。目前本文方法在恩平凹陷实际应用效果良好,同时也为同类型油田的勘探开发提供了技术支持。
| [1] |
雍世和, 张超谟. 测井数据处理与综合解释[M]. 东营: 中国石油大学出版社, 2007: 177-178.
|
| [2] |
陈现, 高楚桥. 双饱和度法在三湖地区低饱和度气层识别中的应用[J]. 石油物探, 2011, 50(1): 93-98. DOI:10.3969/j.issn.1000-1441.2011.01.015 |
| [3] |
中国石油勘探与生产分公司. 低阻油气藏测井评价技术及应用[M]. 北京: 石油工业出版社, 2009: 86-92.
|
| [4] |
高楚桥. 复杂储层测井评价方法[M]. 北京石油工业出版社, 2003: 134-136.
|
2013, Vol. 33







