不确定度是与测量结果相关联的一个参数,用以合理地表示被测量值的分散性[1],目的是为了正确估算被测量值的范围。不确定度值范围越大,被测目标化合物含量被合理赋值的数值范围越宽,测量结果越容易落在这个范围内,但同时测量值的准确性和可靠性降低; 不确定度值范围越小,说明被测结果与真值越接近,要求测定方法应具有良好的精密度和准确性,同时要求实验人员具有熟练的实验操作能力,仪器设备等实验条件也越稳定。
苯的室内空气质量标准限值是≤0.11 mg/m3,当测量值接近标准限值,不确定度范围的大小直接影响判断结果。本研究中采用二次热解吸-气相色谱法测定空气中的苯,与溶剂解吸法相比,扩大了检测浓度范围,降低了检测下限。该方法在采样、解吸、分析、计算等过程中均产生不确定度,因此依据《校准和检测实验室能力的通用要求》(ISO/IEC 17025) [2],了解方法中不确定分量的来源,通过计算各不确定分量的大小,得到扩展不确定度,对二次热解吸-气相色谱法测定空气中苯的不确定度进行评估,具有实际应用价值。
1 材料和方法 1.1 苯的采样和分析方法 1.1.1 标准溶液的配制采用国家标准物质研究中心生产的苯标准物质,配制甲醇中苯浓度分别为10.0、100.0、200.0、500.0和1 000.0 μg/mL的标准系列溶液。
1.1.2 标准曲线的绘制模拟实际采样过程,采用液体外标配气系统制备标准系列样品管。将纯化的Tenax TA采样管接入配气系统的出气口,分别将1 μL标准系列溶液注入配气系统,然后用100 mL/min的氮气吹扫配气系统5 min,使注入的标准溶液挥发并被出气口的采样管全部吸附,制备标准系列样品管。配气系统温度恒定在220℃。制备好的标准系列样品管使用二次热解吸仪解吸,气相色谱分析。以苯的含量为横坐标,峰面积为纵坐标,绘制标准曲线。
1.1.3 样品采集将Tenax TA采样管与空气采样泵进气口垂直连接,以0.2 L/min的流量,采样30 min[3]。本例采样温度为20℃,压力为102.6 kPa。采样后将其放入可密封的玻璃管中。
1.1.4 仪器测试条件采用美国珀金埃尔默ATD50热解吸仪和内装DB-5毛细管色谱柱的安捷伦5890气相色谱仪。热解吸仪解吸条件及色谱分析条件见表 1。
1.1.5 样品分析
样品分析采用同绘制标准曲线同样的方法测定样品中苯的浓度。同时取未经采样的纯化采样管按样品管同时操作,测定空白值。
1.1.6 方法平均解吸效率的测定取12支经纯化的Tenax TA管,分4组,每组3支,其中一组为空白组,其他三组分别按照制备标准系列样品管的步骤采集用1 μL浓度为10.0、100.0和1 000.0 μg/mL制备的样品气体,放置过夜使其平衡。按照与样品相同的解吸操作步骤分析标准管,实际测定结果与实际注射含量之比,即为解吸效率。不同浓度下解吸效率的平均值既为该批采样管的平均解吸效率。
1.1.7 方法加标回收率的测定采用加标回收法测定平均回收率。使用注射器直接向实际样品管中加入100.0、500.0和1 000.0 ng苯溶液,计算加标回收率。
1.2 测量不确定度的评估过程 1.2.1 规定被测量并建立数学模型气相色谱测定样品中苯的峰面积,对照标准曲线进行定量,确定苯的含量,通过计算标准状况下的采样体积求得苯浓度。
1.2.2识别不确定度来源
1.2.3 评估各不确定度分量不确定度分量可以采用统计分析的,采用不确定度的A类评估; 不用统计分析方法的,基于经验或其他信息的假定概率分布的估计方法,采用不确定度的B类评估。
1.2.4合成标准不确定度
1.2.5计算扩展不确定度
1.2.6不确定度报告
2 二次热解吸-气相色谱法测定空气中苯的不确定评估 2.1 建立被测量与输入量关系的数学模型输入采样过程中的温度、压力、采样体积,通过气体方程计算标准状况下的采样体积。
|
(1) |
其中: V0:标准状况下的采样体积,L;
Vt:采样体积,L;
T0:标准状况下绝对温度,273 K;
p0:标准状况的大气压力,101.3 kPa;
p:采样时的大气压力,kPa;
t:采样时的温度,℃。
气相色谱测定样品和空白中苯的峰面积,对照标准曲线进行定量计算苯浓度。
|
(2) |
其中: c:样品中苯的浓度,ng/m3;
F:样品管中苯的质量,ng;
B:空白管中苯的质量,ng;
V0:标准状态下的采样体积,L。
2.2 识别不确定度来源二次热解吸-气相色谱法测定空气中苯的过程中有采样、标准溶液配制、仪器、样品分析、重现性等几个不确定度分量[4-7]。
|
| 图 1 不确定度来源分析图 |
2.3 评估各不确定度分量 2.3.1 采样过程中引入的不确定度分量(不确定度的B类评估)
皂膜流量计用于校准的体积为100 mL,最大允许误差为± 0.5 mL,均匀分布,则相对不确定度为: 
当日采样时大气压力为102.6 kPa,气压波动为± 0.1 kPa,则
采样时的温度为20℃,温度波动为± 0.5℃,则
若采样流量为200 mL/min,校准体积为100 mL,秒表最大允许误差为0.1 s,则urel(s) = 
采样泵的不确定度为5%,则
合并上述各项,则
|
1 μL注射器最大允许误差为± 0.03 μL,均匀分布,则其相对不确定度为
苯标准品不确定度为5%,包含因子k = 3,则其相对不确定度为
A级10 mL容量瓶允许误差为± 0.02 mL,均匀分布[4, 7],则其相对不确定度为

合并以上各项,则
|
根据公式(3)、(4) 计算由标准曲线引入的不确定度urel(曲线):
|
(3) |
其中: S(y/x) :拟合直线的标准偏差
N:拟合直线条数,共9条
|
(4) |
其中: n:样品平行测量次数,6次
b:拟合直线的斜率
X:拟合直线Xi的平均值
X样:样品的平均值
经计算urel(曲线)=0.028
2.3.4 仪器引入的不确定度分量(不确定度的B类评估)气相色谱的不确定度:柱箱温度不确定度0.1%,重复性0.9%,则
|
热解吸的不确定度2%[8],则其相对不确定度为: 
则仪器带来的不确定度
|
加标回收率引入的不确定度分量(不确定度的A类评估)方法平均加标回收率为97% (表 2),回收率的标准偏差取最大值s=0.025。
|
2.3.5.2
解吸效率引入的不确定度分量(不确定度的A类评估)方法平均解吸效率为95% (表 3),解吸效率取标准偏差最大值s=0.017。
|
则样品分析带来的不确定度
|
样品测定重复性引入的不确定度分量(不确定度的A类评估)本次试验同时采集室内样品6次,测定浓度分别为0.096、0.096、0.10、0.10、0.093、0.10 mg/m3。平均值X样=0.098,样品的标准偏差为0.003。
|
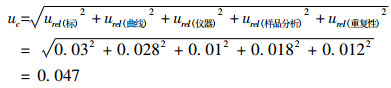
将上述各分量的标准不确定度列于表 4。各分量对合成标准不确定度的贡献和它们的平方成正比。当某一分量小于最大分量的1/3时,可以将该分量忽略[3]。
则合成标准不确定度为:
|
将合成标准不确定度乘以包含因子k得到扩展不确定度。通常k由自由度决定。本研究自由度大于6,因此在95%置信概率下取包含因子k = 2,则测量结果的扩展不确定度为:
|
本研究中苯的样品测量平均值为0.098 mg/m3,合成不确定度为: u合=u扩×x=9.4%×0.098 = 0.009 mg/m3。
苯含量的测定值为C苯=0.098±0.009 mg/m3。
3 讨论本研究使用液体外标配气装置制备标准系列,待测组分在采样管上的分布状态与实际采样过程一致,标准系列待测物质保留时间与实际样品的保留时间匹配度高,在没有气相色谱质谱条件下,利用保留时间定性准确度高,避免由于保留时间偏离导致的待测组分丢失而影响数据的准确性。标准系列配置过程中使用氮气吹扫的时间和流量需经过穿透试验确定,防止配气过程中待测物质穿透流失。
从上述各不确定度分量的量化可以看出,对二次热解吸-气相色谱法测定空气中苯浓度的合成不确定度贡献最大的是标准溶液配制和标准曲线拟合引入的不确定度分量。其中影响标准溶液不确定度分量的是配制过程中使用的标准品和器具。降低该不确定度分量的方法是选择量值准确、不确定度小的标准品,并选择经计量校准后不确定度小的器具进行标准溶液的配制工作。另外标准曲线的不确定度分量对合成不确定度有很大影响,标准曲线的标准偏差直接影响曲线拟合不确定度的大小。为了降低标准曲线拟合带来的不确定分量,首先在实验过程中通过增加标准曲线点数,提高标准曲线的相关系数,并尽量使待测样品浓度接近标准曲线的平均浓度; 其次增加标准曲线数量[9]、降低不同标准曲线中同一浓度点之间的偏差; 再次提高实验人员操作水平,尽量减少人员造成的随机误差; 最后选择灵敏度和精密度高的分析仪器。
将各不确定度分量进行优化可以降低合成不确定度。从而为仪器的校准和检定、实验室的质量控制、对未知样品定值工作提供有力的技术支持,进而更有效的保证实验室检测数据的准确性和可靠性。
| [1] | 中国实验室国家认可委员会. 化学分析中不确定度的评估指南[M]. 北京: 中国计量出版社, 2002. |
| [2] | ISO/IEC17025; 1999 General Requirement for the Competence of Calibration and Testing Laboratories[S]. Switzerland: ISO, 1999. |
| [3] | ISO 16017-1; 2003 Indoor, ambient and workplace air-Sampling and analysis of volatile organic compounds by sorbent tube[S]. Switzerland: ISO, 2003. |
| [4] | 国家质量技术监督局. 测量不确定度评定与表示[M]. 北京: 中国计量出版, 1999. |
| [5] | EURACHEM/CITAC. (1995) Guide Quantifying Uncertainty in Analytical Measurement[M]. London: 2th Edition, 2000. |
| [6] | ISO 6143 Gas analysis-comparison methods for determining and checking the composition of calibration gas mixtures[S]. Switzerland: ISO, 2001. |
| [7] | 徐鑫. 气相色谱法测定空气中苯、甲苯、二甲苯的不确定度分析[J]. 职业与健康, 2003, 19(9): 39–40. |
| [8] | N. Plant, C. Keen. 热脱附技术应用于职业暴露的监控[EB/OL]. www.instrument.com.cn/download/shtml/043332.shtml. |
| [9] | 李宁. 气相色谱法测定苯气体标准样品的不确定度分析[J]. 低温与气体, 2006, 24(3): 29–30. |



