为杀灭饮用水中各种细菌、病毒,确保公众饮水的卫生安全,供水系统一般都要使用消毒剂进行消毒处理.氯消毒由于具有价格低廉、消毒效果好且可持续消毒等优点,在世界范围内得到了广泛的应用.但氯与源水中的有机物会发生反应生成具有致癌毒性、生殖毒性的消毒副产物(Disinfection by-products, DBPs)(Regli et al., 2015; Richardson et al., 2007).DBPs种类繁多,但目前存在量最大、研究最多的是三卤甲烷(trihalomethanes, THMs)和卤乙酸(haloacetic acids, HAAs)(Richardson et al., 2007).为防止THMs、HAAs对人体的危害,各个国家和地区纷纷出台了相应的饮用水标准或法规,如美国环保局规定饮用水中THMs浓度不能超过80 μg·L-1,5种HAAs的浓度不能超过60 μg·L-1(USEPA,2006).我国也加大了此项工作的监管力度.新的《生活饮用水卫生标准》GB57492006包含了三卤甲烷、二氯乙酸、三氯乙酸等DBPs(中华人民共和国卫生部,2006).
为了摸清饮用水中DBPs形成的规律,国内外科研人员多次报道了饮用水中DBPs形成影响因素的研究(Chowdhury et al., 2009; 李谦等,2013; Hong et al., 2016).一般原水中高浓度的有机物如溶解有机碳(DOC)、254 nm的紫外吸收值(UVA254,为有机物芳香度的指标)以及溴离子等将会大大提高THMs和HAAs的产量(Nikolaou et al., 2001; Hong et al., 2016);高的投氯量、长的接触时间、高温也都有利于THMs和HAAs的形成(Nikolaou et al., 2001; Xie, 2004).但对于pH,高pH一般有利于THMs的形成,反之则有利于HAAs的形成(Liang and Singer, 2003).平常饮用水中THMs、HAAs的监测除了需要昂贵的仪器设备、有毒溶剂外,还要复杂的前处理,费时费力.为此,国内外较多地区和水厂利用DBPs形成与水质参数、消毒条件之间的关系,建立了DBPs生成的预测评估模型(Chowdhury et al., 2009; 叶必雄等, 2011; Chu et al., 2012; Kumari and Gupta, 2015).但由于各地区水厂所用水源水质、消毒模式、条件等存在差异,所建模型存在地域性,也很难应用到某一具体的水域.如韩国的Yoond等(2003)试图用美国的THMs模型评估韩国水源水形成的THMs,发现预测值比实测值高得多;香港水源水建立的THMs模型,Br-是最有影响力的因子(Hong et al., 2007),而对于美国水源水建立的THMs模型,Br-却是最微不足道的因子(Amy et al., 1989).因此,针对某一具体地域,非常有必要建立适合当地的DBPs预测评估模型.
太湖、钱塘江、金兰水库是长江三角洲地区3个重要的水源地.金兰水库位于浙江省金华市婺城区琅琊镇境内,每年向金华市区及白沙溪两岸70余万人供应6000多万m3生活用水,它水质相对较好;钱塘江目前是杭州地区的主要水源地,但近些年来由于工业、农业、生活污水的排放,其水质不容乐观(钱天鸣, 2015);太湖频繁发生蓝藻藻华,不仅释放大量的异味、臭味物质,更重要的是藻华的发生会向水体释放大量有机物(Wetzel and Likens, 2001; Nguyen et al., 2005),而这些有机物是THMs、HAAs形成的前驱物(Nguyen et al., 2005; Tomlinson et al., 2016).尽管目前对这些水源水氯化消毒下THMs的形成、去除、预测等已经做了相关工作(陈萍萍等,2005;高炜,2013;Hong et al., 2016),但对HAAs的形成特别是对其形成的关键因子鉴别、模型预测等方面还缺少系统研究(陈萍萍等,2005;Hong et al., 2013; Wang et al., 2014).基于此,本研究将太湖、钱塘江的水源水在不同消毒条件下进行氯化消毒,并结合我们课题组已经发表的金兰水库形成HAAs的相关数据(Hong et al., 2013),建立HAAs形成的回归模型,同时鉴别其关键因子.它不仅为该地区水源水HAAs的形成提供基础数据,也为水务工作者监测和控制HAAs提供重要参考.
2 材料与方法(Materials and methods) 2.1 水样水样的采集同之前的研究(Hong et al., 2013; Hong et al., 2015).太湖、钱塘江、金兰水库的采集点分别是无锡贡湖水厂取水口、九溪水厂取水口、金兰水库大坝取水口,采样时间均为2011年11月.用5 L的玻璃瓶进行水样采集,深度为表层0.1~0.5 m处.水样当天运回实验室后用0.45 μm膜过滤,然后用于水质指标测定(如表 1所示)和氯化实验.
| 表 1 水源水的水质情况 Table 1 Water quality of the source water |
水质指标测定在我们之前的研究中有描述(Hong et al., 2013; Hong et al., 2015).简述如下:DOC采用TOC仪(ELEMENTAR Liqui TOCII TOC analyzer)进行;UVA254用分光光度法测定;SUVA254则采用下列公式(SUVA254=DOC×100/UVA254)算出;溶解有机氮(DON)的测定采用间接法,即DON=总解氮(TDN)-硝氮(NO3--N)-亚硝氮(NO2--N)-氨氮(NH4+-N).其中TDN采用过硫酸钾氧化法测定;亚硝氮采用盐酸萘乙二胺比色法测定;氨氮采用水杨酸法测定;硝氮、溴离子采用离子色谱法测定.具体过程均参考标准方法(APHA,1998; 国家环境保护总局, 2002).
2.2 氯化消毒优级纯NaClO溶液(5%)由Sigma公司提供.消毒前用DPD(N, N-二乙基对苯二胺)法测定有效氯的浓度(APHA, 1998).消毒实验同之前的研究(Hong et al., 2013;Hong et al., 2015):采用控制变量法进行(见附表 1),即在Cl2/DOC=0.5、1.5、3.0 mg Cl2/mg C,Temp(温度)=10、20、30 ℃,pH=6、7、8,

9种HAAs即一氯乙酸(CAA)、二氯乙酸(DCAA)、三氯乙酸(TCAA)、一溴乙酸(BAA)、二溴乙酸(DBAA)、三溴乙酸(TBAA)、溴氯乙酸(BCAA)、一溴二氯乙酸(BDCAA)、二溴一氯乙酸(DBCAA)的分析参考USEPA552.3(USEPA,2003).取20 mL水样,加入硫酸调pH < 0.5,之后加入9 g无水硫酸钠至溶解,再加入2.5 mL MTBE(含内标)振荡萃取2 min,待分层,移取2 mL上层溶液至另一试管,加入2 mL酸化甲醇,在50 ℃下水浴2 h,待冷却,加入5 mL 150 g·L-1的硫酸钠,振荡萃取1.5 min,弃去下层水液,加1 mL饱和的碳酸氢钠溶液,振荡2~3 s,取上层溶液2 μL用于气相色谱分析.该方法所得的HAAs回收率、检测限见表 2.
| 表 2 HAAs的回收率、标准偏差(RSD)、检测限 Table 2 Recovery rate, relative standard deviation (RSD), and detection limit of HAAs |
因HAAs的某些种类如(CAA、BAA、BCAA、DBAA、DBCAA、TBAA)并不是每个水源每一个氯化条件下都能检测到(附表 2~4),因此本文中用于回归模型分析的HAAs类别包括DCAA、ΣDHAA(DCAA、BCAA、DBAA之和)、TCAA、BDCAA、ΣTHAA(TCAA、BDCAA、DBCAA、TCAA之和)、HAA5(CAA、BAA、DCAA、DBAA和TCAA之和,即USEPA写入规定的5种HAAs)、HAA9(9种HAAs之和).HAAs的多元回归模型由软件SPSS 16.0建立.HAAs的含量水平(log10HAAs)设为因变量(Y),将水质指标即溶解有机碳(DOC)、溶解有机氮(DON)、UVA254以及消毒条件因子即溴离子浓度(Br)、投氯量即Cl2/DOC值,反应时间(t),反应温度(Temp)、pH等的对数值(log10xi)设为因变量(X).然后根据因变量和自变量之间的关系,采用逐步回归法建立方程log10HAAs=log10b0+b1log10x1+ b2log10x2+…+bilog10xi,此方程最后表示为HAAs=10b0x1b1x2b2…xibi的形式.模型的评价采用实测值与预测值之间的比较(如通过t检验两者的线性相关以及预测值准确率、极端值发生率等来评价(Sohn et al., 2004; Hong et al., 2015).
3 结果与讨论(Results and discussion) 3.1 HAAs形成的基本情况水源水氯化后HAAs形成的具体情况见表 2~4,其中各类HAAs的平均值、范围则见表 3.结果显示3个水源水MHAAs的形成量非常少(平均占有率只有0.8%~2.5%),主要以DHAAs(平均占有率达43%~50%)、THAAs(平均占有率为48%~56%)为主.而且无论是平均水平、最低值还是最高值,各类HAAs大致上都是太湖最高,钱塘江其次,金兰水库最低.这基本与3个水源水中有机物含量大小相对应(表 1).就受控HAAs来讲,3个水源水DCAA、TCAA的形成水平均符合我国《生活饮用水卫生标准》(GB5749-2006),即DCAA < 50 μg·L-1,TCAA < 100 μg·L-1;3个水源水各自HAA5的平均水平也都在USEPA所规定的范围内(即HAAs < 60 μg·L-1).
| 表 3 水源水氯化后HAAs (μg·L-1)形成的均值±标准差及范围(最小值-最大值) Table 3 Mean ±SD and range (min.-max.) of HAAs (μg·L-1) from chlorination of source water |
| 表 4 HAAs形成与各类水质消毒因子之间的偏相关关系 Table 4 Partial correlations between DBPs yields and the disinfection conditions |
HAAs的多元回归模型如方程(1)~(7) 所示.如果某因子与HAAs的形成成正相关,则该因子的系数为正值;如果成负相关,则该因子上的系数为负值.而且,一般来说,若某因子对HAAs的形成影响大,其相应的偏相关系数也大,反之亦然.上述模型中,HAAs的形成与Cl2/DOC、反应时间(t)均成正相关(方程(1)~(7)).这可能是因为HAAs属于消毒反应的终产物,投氯量越高,反应时间越长,反应越彻底,相应的生成量也越高(Xie, 2004; Hong et al., 2013).除了BDCAA(方程(7)),其他HAAs的形成还与温度成正相关,此结果也在预期内,因为随着温度的逐渐升高,分子运动速率会加快,反应的速率会提高,因此HAAs的生成量也会相应提高;但对于三卤乙酸来说,随着温度的继续升高,其降解速度也会增加(Levesque et al., 2006; Hong et al., 2013),因此温度对其生成的影响取决于生成速度和降解速度的对比.总体来说,温度对三卤乙酸(包括三卤乙酸比重较大的HAA9) 形成的正面作用没有二卤乙酸(包括二卤乙酸比重较大的HAA5) 强,这从偏相关系数上也可看出(表 4):温度对DCAA、ΣDHAA、HAA5的偏相关系数(0.575~0.606) 普遍大于TCAA、ΣTHAA、BDCAA、HAA9的偏相关系数(NA-0.491).
|
(1) |
|
(2) |
|
(3) |
|
(4) |
|
(5) |
|
(6) |
|
(7) |
从回归方程(1)~(7) 还可看出,对于氯代HAAs(如DCAA、TCAA)或以氯代HAAs为主的HAA5,它们的生成量与Br-的含量成反比;而对于含溴HAAs(BDCAA)或以含溴HAAs为主的HAA9、ΣDHAA、ΣTHAA来说,它们的生成量与Br-的含量成正比.这是因为① 当水中含有Br-时,它会与氯反应生成HOBr,与HClO类似,HOBr也会与有机物反应生成含溴DBPs,而且HOBr比HOCl具有更强的取代能力(Symons, 1993);② 溴原子的原子量比氯原子大,即使在同等取代能力下,溴代HAAs的质量也会比氯代HAAs的质量大.这两个因素使得含溴HAAS的生成随着溴离子浓度的增加而增加,而含氯HAA的浓度却受到一定程度的抑制.
从回归方程(1)~(7) 也可看出不同种类HAAs与有机物的关系.对于二卤乙酸(DCAA、ΣDHAA)或以二卤乙酸为主的HAA5来说,其形成与DOC成正相关;而对于三卤HAAs(如TCAA、BDCAA、ΣTHAAs)或对于三卤乙酸占较大比重的HAA9来说,与DOC关系不明显,但与UVA254成正相关.这些结果进一步验证了二卤乙酸与三卤乙酸前驱物的不同.根据Reckhow and Singer(1985)提出的模型,水体天然有机物与氯反应后会形成一个β-二酮类的中间体(R-CO-CH2-CO-R′),随后通过取代、水解作用形成CHCl2-CO-R的结构.如果R基团是羟基(—OH),反应停止,DCAA是终产物;如果R基团是甲基(—CH3),则会缓慢生成DCAA;只有当R基团是易氧化的官能团如(共轭双键结构等),则会进一步发生氯化反应,促进TCAA的形成.因此,UVA254水平越高(芳香有机物越多),越有利于三卤乙酸的形成.另外,从方程(1)~(7) 还可看出,各类HAAs的形成与DON的关系不明显,只有TCAA与DON存在弱相关(偏相关系数0.378),这也在预期内.这主要是因为HAAs是含碳消毒副产物,而DON一般认为是含氮DBPs的重要前驱物,与二氯乙酰胺、二氯乙腈等具有线性相关(Nikolaou and Lekkas, 2001; Chu et al., 2012).
根据HAAs形成与各类水质消毒因子之间的偏相关关系(表 4),可以初步判断水源水形成HAAs的关键影响因子.对于DCAA、ΣDHAA、HAA5来说,影响它们形成的最关键因子是DOC(偏相关系数>0.9);对于TCAA、ΣTHAA、HAA9来说,影响它们的最关键因子是消毒剂量Cl2/DOC(偏相关系数>0.8);对于BDCAA来说,溴离子水平是其形成的关键因子(偏相关系数=0.726).还有一个值得注意现象是HAAs与pH的关系.一般认为酸性条件下有利于HAAs(特别是三卤乙酸)的形成(Liang and Singer, 2003),有些HAAs模型也体现了HAAs的形成与pH值的负相关关系(Chowdhury et al., 2009).但本研究却没有显示出HAAs形成与pH的明显相关(方程(1)~(7),表 3).这可能是因为DBPs形成机理的复杂,对于本研究的水源水来说,pH并不是影响HAAs形成的关键因子.
3.3 模型评价本研究建立的DBPs回归模型的R2值在0.886~0.959之间,p值都 < 0.0001,相比于文献报道的DBPs回归模型的R2值(0.28~0.98间)要好(Chowdhury et al., 2009),而且通过独立样本t检验,结果也显示预测值数据库与实测值数据库之间无明显差异(附表 5).这些均说明方程(1)~(7) 能较好的描述实验数据.
| 表 5 内部验证法评估模型的预测能力 Table 5 Evaluation of predicting ability of the models through internal validation |
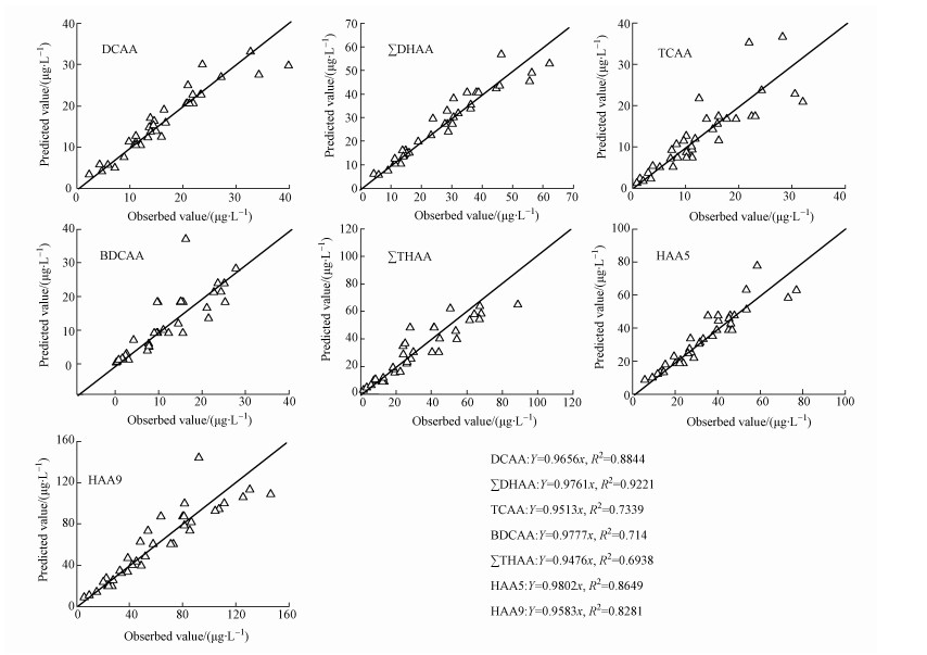
图 1为模型预测值和实测值之间的关系图.从理想的角度看,一个完美的模型其斜率=1,R2=1(Sohn et al., 2004).在本研究中,所有模型的斜率在0.9476~0.9802,基本接近1,但就模型的R2值来看,DCAA、ΣDHAA、HAA5、HAA9的R2值(0.8281~0.9221) 明显优于TCAA、BDCAA、ΣTHAA的值(0.6938~0.7339),说明后者模型的预测精密度不是太理想.具体来看,DCAA、ΣDHAA、HAA5、HAA9的模型预测准确率高达83.3%~94.4%,预测极端值的发生率也较低(0~2.8%),而TCAA、BDCAA、ΣTHAA模型的预测准确率为47.2%~61.1%,极端值发生率高达13.9%~36.1%.
![]() |
| 图 1 模型HAAs预测值与实测值之间的关系 Fig. 1 Relationships between the predicted HAAs levels and the measured levels |
1) HAAs生成量大致随着投氯量、温度、反应时间的增加而增加;同时溴离子则对于含Br-HAA,ΣDHAAs、ΣTHAAs、HAA9均具有较大的促进作用.
2) 对于DCAA、ΣDHAAs、HAA5,其形成与DOC成正比;而TCAA、BDCAA、ΣTHAA、HAA9,其形成则与UVA254成正相关.
3) 影响DCAA、ΣDHAA、HAA5形成的最关键因子是DOC;影响TCAA、ΣTHAA、HAA9形成的最关键因子是消毒剂量Cl2/DOC;影响BDCAA的关键因子是溴离子水平.
4) HAAs模型中DCAA、ΣDHAA、HAA5、HAA9模型具有较好预测潜力.
| [${referVo.labelOrder}] | Amy G L, Chadik P A, Chowdhury Z K. 1989. Developing models for predicting trihalomethane formation potential and kinetics[J]. Journal American Water Works Association, 79(7): 89–97. |
| [${referVo.labelOrder}] | Amy G, Siddiqui M, Ozekin K, et al. 1998. Empirical based models for predicting chlorination and ozonation byproducts:haloacetic acids, chloral hydrate, and bromate[R]. EPA Report CX819579 |
| [${referVo.labelOrder}] | APHA. 1998. Standard Methods for the Examination of Water and Wastewater[S], 20th ed. American Public Health Association, Washington, DC, USA |
| [${referVo.labelOrder}] | 陈萍萍, 张建英, 金坚袁. 2005. 饮用水中卤乙酸和三卤甲烷的形成及影响因素研究[J]. 环境化学, 2005, 24(4): 434–437. |
| [${referVo.labelOrder}] | Chowdhury S, Champagne P, McLellan P J. 2009. Models for predicting disinfection byproduct (DBP) formation in drinking waters:A chronological review[J]. Science of the Total Environment, 407(14): 4189–4206. DOI:10.1016/j.scitotenv.2009.04.006 |
| [${referVo.labelOrder}] | Chu W H, Gao N Y, Yin D Q, et al. 2012. A predictive model for the formation potential of dichloroacetamide, a nitrogenous disinfection by-product formed during chlorination[J]. International Journal of Environmental Science and Technology, 9(4): 701–704. DOI:10.1007/s13762-012-0104-0 |
| [${referVo.labelOrder}] | 高炜. 2013. 强化气浮工艺处理太湖流域微污染原水效果的中试研究[J]. 给水排水, 2013, 39(10): 50–54. DOI:10.3969/j.issn.1002-8471.2013.10.012 |
| [${referVo.labelOrder}] | 国家环境保护总局. 2002. 水和废水监测分析方法[S]. 北京: 中国环境科学出版社 |
| [${referVo.labelOrder}] | Levesque S, Rodriguez M J, Serodes J, et al. 2006. Effects of indoor drinking water handling on trihalomethanes and haloacetic acids[J]. Water Research, 40(15): 2921–2930. DOI:10.1016/j.watres.2006.06.004 |
| [${referVo.labelOrder}] | 李谦, 周敏, 刘天洁, 等. 2013. 城镇饮用水中氯化消毒副产物形成影响因素的研究[J]. 中国消毒学杂志, 2013, 30(4): 299–302. |
| [${referVo.labelOrder}] | Hong H C, Liang Y, Han B P, et al. 2007. Modeling of trihalomethane (THM) formation via chlorination of the water from Dongjiang River (source water for Hong Kong's drinking water)[J]. Science of the Total Environment, 385(1/3): 48–54. |
| [${referVo.labelOrder}] | Hong H C, Wong M H, Liang Y. 2009. Amino acids as precursors of trihalomethane and haloacetic acid formation during chlorination[J]. Archives of Environmental Contamination and Toxicology, 56(4): 638–45. DOI:10.1007/s00244-008-9216-4 |
| [${referVo.labelOrder}] | Hong H, Qian L, Xiong Y, et al. 2015. Use multiple regression models to evaluate the formation of halonitromethane via chlorination/chloramination of water collected from Tai Lake and Qiantang River, China[J]. Chemosphere, 119: 540–546. DOI:10.1016/j.chemosphere.2014.06.084 |
| [${referVo.labelOrder}] | Hong H, Song Q, Mazumder A, et al. 2016. Using regression models to evaluate theformation of trihalomethanes and haloacetonitriles via chlorination of sourcewater with low SUVA values in the Yangtze River Delta region, China[J]. Environmental Geochemistry and Health . DOI:10.1007/s10653-016-9797-1 |
| [${referVo.labelOrder}] | Hong H C, Xiong Y J, Ruan M Y, et al. 2013. Factors affecting THMs, HAAs and HNMs formation of Jin Lan Reservoir water exposed to chlorine and monochloramine[J]. Science of the Total Environment, 444: 196–204. DOI:10.1016/j.scitotenv.2012.11.086 |
| [${referVo.labelOrder}] | Kumari M, Gupta S K. 2015. Modeling of trihalomethanes (THMs) in drinking water supplies:a case study of eastern part of India[J]. Environmental Science and Pollution Research, 22: 12615–12623. DOI:10.1007/s11356-015-4553-0 |
| [${referVo.labelOrder}] | Liang L, Singer P C. 2003. Factors influencing the formation and relative distribution of haloacetic acids and trihalomethanes in drinking water[J]. Environmental Science and Technology, 37(13): 2920–2928. DOI:10.1021/es026230q |
| [${referVo.labelOrder}] | Nguyen M L, Westerhoff P, Baker L, et al. 2005. Characteristics and reactivity of algae-produced dissolved organic carbon[J]. Journal of Environmental Engineering, 131(11): 1574–1582. DOI:10.1061/(ASCE)0733-9372(2005)131:11(1574) |
| [${referVo.labelOrder}] | Nikolaou A D, Lekkas T D. 2001. The role of natural organic matter during formation of chlorination by-products:A review[J]. Acta Hydrochimica et Hydrobiologica, 29(2/3): 63–67. |
| [${referVo.labelOrder}] | 钱天鸣. 2015. 杭州市钱塘江干支流水质多元统计分析[J]. 中国环境监测, 2015, 31(2): 74–77. |
| [${referVo.labelOrder}] | Reckhow D A, Singer P C 1985. Mechanisms of Organic Halide Formation During Fulvic Acid Chlorination and Implications With Respect to Preozonation[C].//In Jolley R L, Bull R J, Davis W P, et al. 1985. Water Chlorination:Environmental Impact and Health Effects, Vol.5, Ann Arbor Science Publishers Inc., Ann Arbor, MI:Ann Arbor Science Publishers Inc.c1229-1257 |
| [${referVo.labelOrder}] | Regli S, Chen J, Messner M, et al. 2015. Estimating Potential Increased Bladder Cancer Risk Due to Increased Bromide Concentrations in Sources of Disinfected Drinking Waters[J]. Environmental Science and Technology, 49(22): 13094–13102. DOI:10.1021/acs.est.5b03547 |
| [${referVo.labelOrder}] | Richardson S D, Plewa M J, Wagner E D, et al. 2007. Occurrence, genotoxicity, and carcinogenicity of regulated and emerging disinfection by-products in drinking water:a review and roadmap for research[J]. Mutation Research, 636(1/3): 178–242. |
| [${referVo.labelOrder}] | Sohn J, Amy G, Cho J, et al. 2004. Disinfectant decay and disinfection by-products formation model development:Chlorination and ozonation by-products[J]. Water Research, 38: 2461–2478. DOI:10.1016/j.watres.2004.03.009 |
| [${referVo.labelOrder}] | Symons J M, Krasner S W, Simms L A, et al. 1993. Measurement of THM and precursor concentrations revisited:the effect of bromide ion[J]. Journal American Water Works Association, 85(1): 51–62. |
| [${referVo.labelOrder}] | Tomlinson A, Drikas M, Brookes J D. 2016. The role of phytoplankton as pre-cursors for disinfection by-product formation upon chlorination[J]. Water Research, 102: 229–240. DOI:10.1016/j.watres.2016.06.024 |
| [${referVo.labelOrder}] | U.S. Environmental Protection Agency (USEPA). 2003. Method 552.3:Determination of haloacetic acids and dalapon in drinking water by liquid-liquid microextraction, derivatization, and Gas chromatography with electron capture detection[S]. EPA 815-B-03-002. Revision 1.0 |
| [${referVo.labelOrder}] | U.S. Environmental Protection Agency (USEPA). 2006. National primary drinking water regulations:stage 2 disinfectants and disinfection byproducts rule[S]. Federal Register, 71:387-493 |
| [${referVo.labelOrder}] | Wang F, Ruan M, Lin H, et al. 2014. Effects of ozone pretreatment on the formation of disinfection by-products and its associated bromine substitution factors upon chlorination/chloramination of Tai Lake water[J]. Science of The Total Environment, 475: 23–28. DOI:10.1016/j.scitotenv.2013.12.094 |
| [${referVo.labelOrder}] | Wetzel R G, Likens G E. 2000. Limnological Analyses(Third Edition)[M]. New York: Springer-Verlag New York, Inc.. |
| [${referVo.labelOrder}] | Xie Y F. 2004. Disinfection byproducts in drinking water:formation, analysis and control[M]. Lewis Publishers. Boca Raton. |
| [${referVo.labelOrder}] | 叶必雄, 王五一, 杨林生, 等. 2011. 三种饮用水消毒副产物形成模型对比研究[J]. 供水技术, 2011, 6(5): 27–32. |
| [${referVo.labelOrder}] | Yoon J, Choi Y, Cho S, et al. 2003. Low trihalomethane formation in Korean drinking water[J]. Science of Total Environment, 302: 157–166. DOI:10.1016/S0048-9697(01)01097-X |
| [${referVo.labelOrder}] | 中华人民共和国卫生部. 2006. 中华人民共和国生活饮用水卫生标准(GB5749-2006)[S]. 北京: 中国国家标准化管理委员会 |
2017, Vol. 37







