大气气溶胶是指悬浮于大气中的固体和液体微粒共同组成的多相体系,其消光特性是进行大气能见度、气溶胶反演和辐射强迫研究的基础(李成才等,2003).宋宇等(2003)分析了消光系数和不同粒径大小颗粒物质量浓度间的关系,发现细粒子散射消光作用在北京市能见度下降中占有主要地位;姚婷婷等(2010)对深圳市冬季大气消光性质与细粒子化学组成的高时间分辨率观测和统计研究表明,颗粒物粒径及成分与大气的消光能力关系密切;韩道文等(2006)基于地面细颗粒物浓度的观测数据及激光雷达消光系数的垂直分布,分别借助线性模型和指数模型探讨了细颗粒物浓度随高度的变化特征,并就二者的结果进行了比对分析.由于气溶胶中的硫酸盐、硝酸盐、铵盐和海盐等无机成分及部分有机物粒子具有吸湿性,在不同水汽条件下,其粒径、质量、密度、折射指数等微物理参数会发生变化,从而改变颗粒物的辐射特性参数,致使气溶胶粒子群宏观上的物理、化学及光学性质发生变化,导致粒子的复折射指数或折射率不断改变(张小曳,2007;杨军等,1999;陶金花等,2013;Malm,1994).Day等(2000)指出,湿状态下气溶胶散射系数比干状态下大20%左右;Xu等(2004)利用长江三角洲地区临安区域大气本底监测站观测数据,获得的吸湿增长因子为1.7~2.0;程雅芳(2007)基于外场实验观测值,发现随着相对湿度(RH)从30%增长到80%~90%,散射系数可以增强1.54~2.31倍;陶金花等(2015)利用北京地区的地基观测资料,得到在相对湿度从20%增长到85%左右时,质量消光效率增长较为平缓,在从相对湿度约85%开始,其开始急剧增长.就颗粒物消光系数的湿度订正而言,目前学术界研究的核心主要是吸湿增长因子模型 f(RH)(即湿气溶胶粒子消光系数与干气溶胶粒子消光系数之比)的构建.Song等(2008)采用 f(RH)= b 0+ b 1(1-RH/100)-1+ b 2(1-RH/100)-2模型,对东亚地区吸湿增长模型进行分析,其中,b 0、 b 1和b 2分别为经验系数;何秀等(2009)基于 f(RH)=1/(1-RH)模型,利用地面消光、PM10浓度及相对湿度的小时数据,分季节对北京地区PM10进行湿度订正并取得较好效果;陶金花等(2013)利用卫星AOT资料,采用 f(RH)=1/(1-RH/100)作为北京地区的吸湿增长因子,进而提出了一种地面颗粒物反演的新方法.
颗粒物吸湿增长是水汽条件和颗粒物理化特征综合作用的结果,以往相关研究主要集中在我国北方,而针对南方地区的研究极为少见.为此,本文利用2013年6月至2014年5月成都市人民南路环监站逐时PM2.5质量浓度和大气能见度数据及温江站同期相对湿度观测资料,在对成都市颗粒物吸湿增长特性进行研究的基础上,进一步分析现有湿度订正模型的适用性,初步探究其中可能存在的不确定性,以期为这一问题的深入认知奠定理论基础.
2 数据介绍(Data) 2.1 基础资料本研究所用数据为2013年6月-2014年5月成都市人民南路四段逐时PM2.5质量浓度、大气能见度的监测资料及同期温江站相对湿度观测数据.其中,PM2.5质量浓度资料为成都市区人民南路环境空气自动监测站的小时监测数据,该站点监测仪器采用小流量采样器(美国热电子环境设备公司)进行大气气溶胶质量浓度的观测.该仪器具有PM10和PM2.5粒径切割头,使用电子天平(AB204-E)并利用减重法求得大气颗粒物质量浓度,精度为十万分之一,采样频率为每5 min 1次.相对湿度来自于成都市温江自动气象站提供的小时观测资料,其采样频率为6次·min-1,除去最大、最小值后,4次采样值求算数平均.观测期间所测PM2.5质量浓度样本点为8575个,相对湿度样本点为8564个,剔除缺测数据点后,有效样本共7484个. 人民南路环境空气自动监测站位于成都市中轴线南半轴上,集中了各大企事业单位及商铺住宅,是人口车流量稠密的交通、商业、行政区,距温江站东南方向28 km.
2.2 单位质量“湿”消光系数根据“朗伯-比尔”定律,气溶胶的消光系数 Kext与能见度 V 关系如下(Koschmieder,1924):
|
(1) |
据此,首先利用能见度监测数据对大气消光系数 Kext进行反演.为突出相对湿度对消光系数的作用,选用单位质量“湿”消光系数 E 来定量描述颗粒物的吸湿特征(陶金花等,2015),具体见式(2).其中,CPM2.5(mg·m-3)为 Kext(m-1)对应的细颗粒物质量浓度.
|
(2) |
图 1为平均单位质量“湿”消光系数(即不同相对湿度条件下对应单位质量“湿”消光系数的平均)随相对湿度的变化曲线.由图 1可见,成都市颗粒物吸湿性增长十分显著,单位相对湿度大气消光系数增长率约为7×10-8 m2·mg-1.因此,湿度订正是“湿”消光系数反演“干”颗粒物质量浓度的关键环节.
![]() |
| 图 1 平均单位质量“湿”消光系数随相对湿度的变化 Fig. 1 Change of the average unit mass "wet" extinction coefficient with relative humidity |
相对湿度对颗粒物消光系数的影响存在明显的非线性特征,而突变正是其中的一个重要方面,突变点的确定及对突变前后“湿”消光系数演变特征的认知是湿度订正方法构建的前提.基于MK检验的结果表明(图 2,注:对于具有 n 个样本的时间序列 X,UFk表示按时间序列 X 顺序 X 1、 X 2、 X 3 …Xn 计算出的统计量序列,UBk表示按时间序列 X 逆序 Xn、Xn- 1 、…X 1计算出的统计量序列),平均单位质量“湿”消光系数在相对湿度为40%时存在突变(通过了 α =0.05的信度检验).当相对湿度小于40%时,平均单位质量“湿”消光系数呈现平稳波动的特征;而当相对湿度介于40%~90%时,平均单位质量“湿”消光系数增长趋势明显,单位相对湿度增长率升至4.9×10-8 m2·mg-1.针对消光系数的诸多研究也发现,相对湿度为40%是一临界值(程雅芳,2007;陶金花等,2015;颜鹏等,2008),大于该值后,颗粒物吸湿增长现象明显,这与本文的研究结果相一致.上述分析表明,一方面,相对湿度总体上对平均单位质量“湿”消光系数存在显著的影响;另一方面,在相对湿度小于40%条件下,平均单位质量消光系数变化不大,可将其视为“干”消光系数,作为订正的基准.
![]() |
| 图 2 单位质量“湿”消光系数MK检验序列 Fig. 2 Mann-Kendall test of the average unit mass “wet” extinction coefficient |
(The application of existed humidity correction methods in Chengdu) 现有气溶胶粒子吸湿订正方法(即湿度增长因子)主要涉及下述模型,具体见表 1.
| 表 1 现有湿度订正模型 Table 1 Hygroscopic growth correction models tested in this study |
“干”气溶胶消光系数与细颗粒物质量浓度之间满足下述线性关系(程雅芳,2007;陶金花等,2013):
|
(3) |
式中,A 、 B 为该模型的参数.据此,不同方案实际订正效果的优劣可由二者可决系数来加以表征.现有研究表明,假设颗粒物的化学组分一定,则颗粒物消光系数与其浓度呈现上述线性关系;但实际而言,不同地区及时段内,颗粒物化学组分不可能相同,从而上述假设在一定情况下忽略了不同组分的化学反应活性、吸湿增长效率、各粒子吸湿初始点及饱和点的差异,存在一定局限性,但在一定区域内,可近似认为颗粒物化学组分的影响因子相对稳定,从而两者间的线性关系较为稳定(黄元龙等,2013;刘永春等,2007).
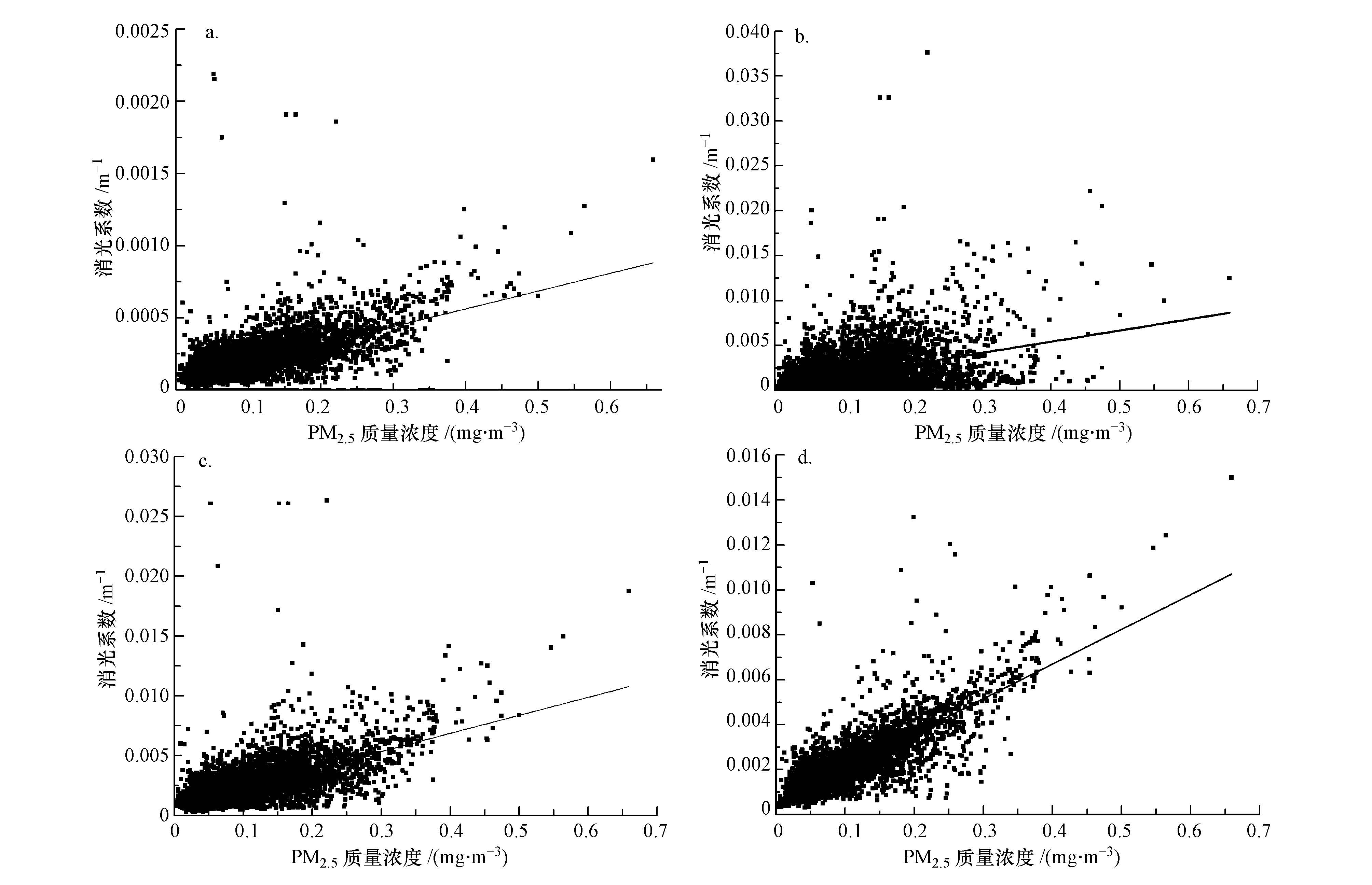
图 3为基于表 1订正方案1、2及方案3(不做订正,即式(3))所获取的消光系数与PM2.5质量浓度的散点图.其中,在利用方案1进行湿度订正时,利用2013年6-11月的监测数据进行模型参数的获取,用全年数据进行检验,据此得到适用于方案1模型的参数 b 0 、b 1 、b 2分别为0.90100、0.04524、-0.00064;在利用方案2进行订正时,参数 g 通常取为1(李成才等,2003;何秀等,2009;陶金花等,2015),故未重新获取 g 值.据此,基于上述方案1、2、3所得的消光系数与PM2.5质量浓度与的相关系数分别为 0.62、0.41、0.64.综上可见,现有的湿度订正方案并未在成都地区获取更好的订正效果,反而在一定程度上恶化了二者的关系.
![]() |
| 图 3 消光系数与PM2.5质量浓度散点图(a.方案1,b.方案2,c.方案3,d.新方法) Fig. 3 Scatter plot of extinction coefficient and PM2.5 mass concentration(a.plan 1,b. plan 2,c. plan 3,d.new method) |
深入分析表明,成都市平均单位质量“湿”消光系数在表现出随相对湿度的增加而增大的同时,其方差也表现出上下波动的特征,具体见图 4(图 4为各个相对湿度区间内单位质量“湿”消光系数方差的均值).图 5为单位质量“湿”消光系数与相对湿度的散点图,该图直观地表明消光系数可能是一个随机量(关于消光系数随机性问题的证明将另文阐述),且其统计性特征会随着湿度的改变呈现出系统性的变化,表现出非平稳特征.基于这一认识,颗粒物吸湿订正的原理是基于不确定分析,系统性消除颗粒物的吸湿增长特征,最终使得相同质量的颗粒物所对应的“湿”消光系数和“干”消光系数在统计意义下具有一致性.
![]() |
| 图 4 平均单位质量“湿”消光系数方差随相对湿度变化 Fig. 4 Variation of the average unit mass "wet" extinction coefficient and relative humidity |
![]() |
| 图 5 单位质量“湿”消光系数与相对湿度散点图 Fig. 5 Scatter plot of unit mass "wet" coefficient extinction with relative humidity |
记单位质量消光系数为 Eij,i = 1,2,3,…,6,分别对应于下述湿度区间:<40%、(40%,50%]、(50%,60%]、(60%,70%]、(70%,80%]、(80%,90%];j = 1,2,3,…,Ni,Ni表示相对湿度区间i的样本量.①将相对湿度小于40%(RH<40%)视为干燥条件,对应单位质量消光系数的均值和方差分别为
|
(4) |
|
(5) |
|
(6) |
针对表 1中涉及的两类吸湿性增长模型,结合成都市平均单位质量“湿”消光系数资料,不难得到该区域平均单位质量“干”消光系数随相对湿度的变化关系,结果见图 6.由图 6a可见(方案1订正结果),订正后的平均单位质量“干”消光系数随相对湿度表现为不规则波动;图 6b(方案2订正结果)表明,订正后的平均单位质量“干”消光系数随相对湿度增大而呈现明显减小趋势;图 6c(新方法订正结果)表明,订正后的平均单位质量“干”消光系数随相对湿度表现为平缓波动的特征.另外,3种方案(方案1、方案2及新方法)所对应单位质量细颗粒物“干”消光系数的变差系数分别为1.24、1.31、0.98,由此可知,现有湿度订正方案也并未降低数据的离散性.由上述分析可知,适用于北方地区的湿度订正模型在成都地区未能起到相应的订正效果,即订正后的平均单位质量“干”消光系数并未能消除相对湿度的影响.综上,基于确定性订正思路所提出的现有颗粒物湿度订正方案在成都市应用效果欠佳.
![]() |
| 图 6 平均单位质量“干”消光系数随相对湿度变化(a.方案1订正结果,b. 方案2订正结果,c新方法订正结果) Fig. 6 Change of the average unit mass "dry" extinction coefficient with relative humidity(a.result of plan1,b. result of plan2,c. result of new method) |
按照4.2节所述的步骤对原有“湿”消光系数进行订正,结果见表 2.由表 2可见,各个相对湿度区间内的消光系数与PM2.5质量浓度的相关系数较订正前普遍有较为明显的提高;另外,整体消光系数与PM2.5质量浓度的相关系数由订正前的0.64提升至0.83,二者的散点关系如图 3d所示,取得了令人满意的结果.上述实例对比分析表明,立足于相对湿度与“湿”消光系数本质关系的剖析,从不确定角度出发构建湿度订正新方法是一条可行的途径.
| 表 2 基于湿度订正新方法计算的消光系数与PM2.5相关系数及参数分析 Table 2 Correlation between PM2.5 and “dry” extinction coefficient based on the new method |
利用成都市2013年6月至2014年5月人民南路四段逐时PM2.5质量浓度、大气能见度的监测数据及同期温江站相对湿度观测数据,在分析了该区域相对湿度对大气消光系数的影响下,探究了现有颗粒物消光系数湿度订正方法的适用性及其原因,并得到以下结论:
1) 相对湿度对平均质量浓度消光系数影响较大,成都市平均质量浓度消光系数在相对湿度为40%时存在突变(通过了 α =0.05的信度检验),当相对湿度小于40%时,平均单位质量“湿”消光系数呈现平稳波动的特征;而当相对湿度介于40%~90%时,平均单位质量“湿”消光系数增长趋势明显.
2) 现有的湿度订正方法没有消除湿度对“湿”消光系数带来的系统性影响,未能在成都地区起到相应的订正效果.
3) 单位质量“湿”消光系数序列本质上表现为非平稳随机序列,而现有订正模型均为在确定性意义下的订正方法,因此,本研究从不确定分析出发,基于“湿”消光系数和单位“干”消光系数在统计意义下具有一致性的原则,构建了颗粒物湿度订正新方法,并取得了令人满意的订正效果.
| [1] | 程雅芳.2007.珠江三角洲新垦地区气溶胶的辐射特性-基于观测的模型研究[D].北京:北京大学 |
| [2] | Day D E, Malm W C, Kreidenweis S M. 2000. Aerosol light scattering measurements as a function of relative humidity[J]. Journal of the Air Waste Management , 50 (5) : 710–716. DOI:10.1080/10473289.2000.10464103 |
| [3] | 韩道文, 刘文清, 刘建国, 等.2006. 气溶胶质量浓度空间垂直分布的反演方法[J]. 中国激光 , 2006, 33 (11) : 1567–1573. |
| [4] | 何秀, 邓兆泽, 李成才, 等.2009. MODIS气溶胶光学厚度产品在地面 PM10监测方面的应用研究[J]. 北京大学学报(自然科学版) , 2009, 46 (2) : 178–184. |
| [5] | 黄元龙, 杨新.2013. 大气细颗粒物对大气能见度的影响[J]. 科学通报 , 2013, 58 (13) : 1165–1170. |
| [6] | 李成才, 毛节泰, 刘启汉, 等.2003. 利用 MODIS 光学厚度遥感产品研究北京及周边地区的大气污染[J]. 大气科学 , 2003, 27 (5) : 869–880. |
| [7] | 刘永春, 贺泓.2007. 大气颗粒物化学组成分析[J]. 化学进展 , 2007, 19 (10) : 1620–1631. |
| [8] | Koschmieder H. 1924. Theorie der horizontalen Sichtweite[J]. Beitr Physik fr Atmos , 12 : 33–55. |
| [9] | Malm W C, Sisler J F, Huffman D, et al. 1994. Spatial and seasonal trends in particle concentration and optical extinction in the United States[J]. Journal of Geophysical Research: Atmospheres , 99 (1) : 1347–1370. |
| [10] | Song C H, Park M E, Lee K H, et al. 2008. An investigation into seasonal and regional aerosol characteristics in East Asia using model-predicted and remotely-sensed aerosols[J]. Atmospheric Chemistry Physics , 8 : 6627–6654. DOI:10.5194/acp-8-6627-2008 |
| [11] | 宋宇, 唐孝炎, 方晨, 等.2003. 北京市能见度下降与颗粒物污染的关系[J]. 环境科学学报 , 2003, 23 (4) : 468–471. |
| [12] | 陶金花, 张美根, 陈良富, 等.2013. 一种基于卫星遥感 AOT 估算近地面颗粒物的方法[J]. 中国科学:地球科学 , 2013, 43 (1) : 143–154. |
| [13] | 陶金花, 王子峰, 徐谦, 等.2015. 北京地区颗粒物质量消光吸湿增长模型研究[J]. 遥感学报 , 2015, 19 (1) : 12–24. |
| [14] | Xu J, Bergin M H, Greenwald R, el al. 2004. Aerosol chemical,physical,and radiative characteristics near a desert source region of northwest China during ACE-Asia[J]. Journal of Geophysical Research:Atmospheres , 109 (19) : 77–83. |
| [15] | 姚婷婷, 黄晓锋, 何凌燕, 等.2010. 深圳市冬季大气消光性质与细粒子化学组成的高时间分辨率观测和统计关系研究[J]. 中国科学:化学 , 2010, 40 (8) : 1163–1171. |
| [16] | 颜鹏, 潘小乐, 汤洁, 等.2008. 北京市区大气气溶胶散射系数亲水增长的观测研究[J]. 气象学报 , 2008, 66 (1) : 111–119. |
| [17] | 杨军, 李子华, 黄世鸿.1999. 相对湿度对大气气溶胶粒子短波辐射特性的影响[J]. 大气科学 , 1999, 23 (2) : 239–247. |
| [18] | 张小曳.2007. 中国大气气溶胶及其气候效应的研究[J]. 地球科学进展 , 2007, 22 (1) : 12–16. |
2016, Vol. 36









