2. 华中师范大学城市与环境科学学院, 武汉 430079
2. School of City and Environmental Science, Huazhong Normal University, Wuhan 430079
重化工业城市经济发展高能耗、高物耗和高排放的特征明显.以能源为动力,物质为载体的传统工业生产模式,使得碳排放成为此类城市环境问题产生的主要根源(任秀燕, 2013,范庆泉等,2015).重化工业城市经济发展与环境系统的有机联系如图 1所示.其中,环路Ⅰ表示传统粗放型工业经济增长方式,导致日益严峻的环境污染问题.因此,摆脱环路Ⅰ的羁绊,需以科技为引领,节能减排,优化产业结构作为重化工业城市转型发展的方向,具体如环路Ⅱ所示.
![]() |
| 图 1 重化工业城市碳排放与环境经济系统关系 (注:①为高碳排放的环境效应,主要源于两方面:一是能源规模与结构(碳排放内生变量),指工业碳排放规模巨大及其结构比例失调所引发的严重环境问题,需对工业能源碳排放总量及其构成进行研究;二是碳排放作用机制(碳排放外驱变量),指工业碳排放所引发的城市经济、社会和空间的承载压力,视为环境压力,需对工业增加值碳排放量、人均碳排放量和地均碳排放量进行研究;②为低碳排放环境效应,作用效果与低碳水平正相关) Fig. 1 Relationship between industrial carbon emissions and environmental system |
目前,较多学者参照IPCC指南给出了碳排放量和基于GDP的碳排放强度的核算方法,并运用IPAT、STIRPAT或LMDI等分解模型,重点分析了驱动碳排放量变动的影响因素(张利等,2012;林涛等,2013;武戈等,2014;王晓霞等,2014);一些学者以脱钩模型研究了碳排放与经济增长、能源消费等要素之间的关系(武红等,2011;叶懿安等,2013;梁日忠等,2013;李旭东,2014);还有学者采用线性回归模型研究了碳排放影响因素(谢守红等,2012).以上研究对象以国家或区域宏观尺度为主,而基于城市的中观尺度研究对象相对较少,特别是对于重化工业城市碳排放影响要素的研究文献更少.其中,城市碳排放影响因素研究一般就问题而研究问题,较少将碳排放与环境系统结合起来进行比较研究.
实质上,就重化工业城市而言,即便在单位工业增加值碳排放量减低的情况下,由于生产和生活消费水平及社会物质财富积累的增加,基于社会因素(人口)的人均工业碳排放量和基于城市空间(建成区面积)的地均工业碳排放量也可能会增长,最终必然加剧环境负荷减压的难度.因此,基于重化工业城市环境系统复杂性、非线性和不确定性特征,构建P-S-R耦合评价模型,动态分析环境压力、状态和响应协同共进关系.研究时段内(2003—2013年),兰州市工业增加值占GDP比重在33%~38%之间,重工业占全部工业总产值的比重稳定在80%左右,在以工业及重化工业为主导的经济背景下,尚不存在环境响应或环境状态超越环境压力的假设.因此,重化工业城市环境系统耦合度越大,表明环境质量越趋于优化,反之亦然.由于环境系统耦合度与碳排放驱动下的重化工业城市经济社会共同组构了环境经济系统,因此,本文基于碳排放在环境经济系统中的核心影响,构建多维碳排放强度模型,并以LMDI分解模型动态辨识碳排放所产生的环境经济效应,系统考察研究区域环境问题与经济社会发展之间交互作用的机制,以期为相关部门制订针对性的环境经济措施提供决策参考.
2 研究方法与数据(Methods and data) 2.1 耦合度评价 2.1.1 指标体系建立根据P-S-R模型,工业城市环境子系统(环境压力、环境状态和环境响应)互为条件,交互耦合,其耦合程度作为判断重化工业城市环境质量水平优劣的依据.
指标选取遵循可获性、可比性和科学性原则.工业生产是环境压力系统的源泉,从废水、废气和固废3方面构建指标;大气、水、声环境是城市环境状态的主要表征,据此遴选相关指标;环境响应表示重化工业城市如何应对环境压力,以环境治理、生态调控、节能减排作为指标选取的依据(表 1).
| 表 1 兰州市环境系统耦合评价指标体系 Table 1 Evaluation index system of environmental coupling for Lanzhou City |
首先对重化工业城市环境子系统进行综合评价,评价方法如下:
|
(1) |
|
(2) |
|
(3) |
式中,f(pj)、f(sj)和f(rj)分别表示第j年环境压力、环境状态和环境响应综合值,xi、yi和zi为对应子系统指标,a、b和c为对应子系统指标层权值向量,各指标权重计算采用信息熵法.
环境系统是复杂非线性系统.环境压力、环境状态和环境响应受系统之外的社会经济驱动力调控而协同进化、交互耦合(图 1),三者耦合程度的高低可以表征目标环境系统质量发展水平的优劣程度.国内外学者构建了诸多2类系统的耦合评价模型,而3类及以上的复杂多系统的耦合评价研究较少.本研究基于前人物理学容量耦合模型研究,将之拓展为环境子系统压力(Pressure)、状态(State)和响应(Response)耦合评价模型(刘耀彬等,2005):
|
(4) |
式中,Hj表示第j年环境系统耦合度,同时规定:f(pj)、f(sj)、f(rj)∈[0,1].式(4)两边取自然对数,分别对f(pj)、f(sj)和f(rj)求偏导数,可得:
|
(5) |
当f(pj)=f(sj)=f(rj)时,Hj取最大值1.显然Hj∈[0,1],表明该模型适合对3个系统进行耦合度评价.
2.2 碳排放强度及效应 2.2.1 碳排放核算据已有研究方法,工业碳排放量测算采用直接碳排放系数法.各类能源折标准煤系数及碳排放系数参照2006年IPCC碳排放指南数值(表 2).计算公式如下:
| 表 2 各种能源碳排放参考系数 Table 2 Reference coefficients of various energy carbon emissions |
|
(6) |
式中,Ct表示第t年研究对象工业碳排放总量(万t),Cit表示第t年i类工业能源的碳排放量(万t),Qit表示第t年i类工业能源消耗量(t),δi、ξi分别表示i类工业能源折标准煤系数(t·t-1)和碳排放系数(t·t-1).
2.2.2 碳排放强度已有研究将碳排放强度定义为单位GDP碳排放量大小,该定义反映了碳排放与经济的密切关系.但碳排放不仅是经济增长的动力源,也是环境问题产生的根源之一.因此,本研究认为碳排放与经济的关系拓展为工业增加值碳排放强度和GDP碳排放强度,分别简记为工业碳强和GDP碳强;碳排放的环境作用对象包括人口和空间规模大小,因为城市是人类工业活动的主阵地,因此,遴选人口规模和建成区面积作为碳排放强度的计算指标,分别记为人均碳强和地均碳强.4种碳强计算公式如下:
|
(7) |
式中,Pit表示研究对象第t年第i类工业能源碳排放强度(万t·a-1),Cit表示第t年第i类工业能源的碳排放量(万t),Mit表示第t年第i种与工业碳排放量比较的对象,即Mit分别表示研究对象第t年工业增加值、GDP、人口数量、建成区面积.碳排放强度单位因比较对象不同而不同.上述4种碳强是进一步分析研究重化工业城市环境经济系统关系的切入点.
2.2.3 碳排放分解模型LMDI(Logarithmic Mean Divisia Index)分解模型基于数学工具,具有完全分解、无残差的优点.国内较多学者使用该模型将研究对象(区域碳排放总量或产业部门、生活消费、交通等领域碳排放总量)碳排放总量分解为能源结构及强度效应,经济(或产业)结构及规模效应(史安娜等,2011;张旺等,2013;范丹,2013);也有学者将研究对象分解为人口效应、能源结构及强度效应(张利等,2012).目前,我国处于快速城市化发展期,城市人口比重不断加大,同时,我国正加快步入小康社会,人均收入和消费水平不断上升,人口要素业已成为工业碳排放的重要推动力之一.为全面、系统、深入地分析碳排放效应,本研究对已有LMDI分解模型进行改进,将能源、产业、人口3个层面纳入分解模型系统.
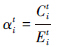
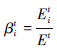
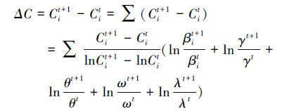
LMDI是分析系统某特征值在研究时段内在各要素或各子系统上投射的效应值(刘翀等,2012;林涛等,2013;张陈俊等,2014;刘源等,2014;张礼兵等,2014),而非研究时段内各要素或各子系统自身数量或数值随系统某要素值的变化量.LMDI分解模型被很多研究者理解为系统各要素或各子系统自身变化量,习惯以ΔC=ΔA+ΔB+…表示,显然这是错误的表达方式.为证明以上事实,结合研究对象特征,以简易方法推证LMDI分解模型.设:
|
(8) |
式中,Cit表示第t年第i种能源碳排放量(万t)、Eit表示第t年第i种能源消耗量(万t)、Et表示第t年能源消费总量(万t)、Gt1第t年工业增加值(万元)、Gt表示第t年GDP(万元)、Pt表示第t年人口总量(万人).
令:





因为:
Cit=βit·γt·θt·ωt·λt,Ct+1i=βt+1i·γt+1·θt+1·ωt+1·λt+1
所以:
|
又因为:
|
所以:
|
本研究以Leffect(L=β,γ,θ,ω,λ)表示碳排放总量在各分解要素上的投射效应值,以示与Δk(k=β,γ,θ,ω,λ)区别.
2.3 评价结果分析 2.3.1 耦合度分析利用式(1)~(4)计算兰州市2003—2013年环境系统耦合度,计算结果(表 3)显示,2003—2013年兰州市环境压力、环境状况和环境响应指数均呈增长趋势,环境状况指数增加最快.其中,环境压力减轻256%(负向指标均作正向处理),年均递减25.6%;环境状态指数增加755%,年均增长75.5%;环境响应指数增长255.92%,年均增长25.59%.
| 表 3 兰州市2003—2013年环境系统耦合度 Table 3 Coupling degrees of environmental system from 2003 to 2013 in Lanzhou City |
计算数据来源于《兰州统计年鉴》(2003—2013)、《兰州市环境状况公报》(2003—2013)、《甘肃省环境状况公报》(2003—2013)、《中国能源统计年鉴》(2003—2013)和《兰州市国民经济和社会发展统计公报》(2003—2013).经济类指标采用平减指数法修正,以消除物价变动因素的影响.
在环境各子系统指数增长驱动下,环境系统耦合指数呈现快速增长趋势,2008年之前,兰州市环境系统耦合指数均在0.5以下,环境系统总体质量较低.2009年以后,耦合指数上升至0.5以上,环境质量有所改善,但由于工业污染惯性的影响,环境状态指数值各年较低,环境质量水平依然偏低,耦合指数尚未达到0.8以上.
2.3.2 工业碳排放总量分析利用式(6)计算得出兰州市2003—2013年原煤、焦炭、原油、汽油、煤油、柴油、燃料油和天然气8类工业能源碳排放量及工业碳排放总量(表 4).工业碳排放总体呈递增趋势,碳排放与工业GDP等呈明显正相关关系.由表 4可知,2003—2013年兰州市碳排放总量呈逐年递增趋势,由2003年的969.14万t增加为2013年的1811.22万t,年均增长8.69%.兰州市碳排放总量与工业增加值、GDP、人口和建成区面积呈显著正相关关系,皮尔森相关系数均在0.9以上.
| 表 4 兰州市2003—2013年工业碳排放量 Table 4 Carbon emissions from 2003 to 2013 in Lanzhou City |
原煤、原油、焦炭和天然气是兰州市主要工业碳源,占历年碳排放总量的比例均在99%以上,其历年碳排放量均呈递增趋势,其中,原煤年均增加10.82%,焦炭年均增加70.81%,原油年均增加5.13%,天然气年均增加6.33%.其余4类碳源能源排放量小,变化也不明显.
2.3.3 工业碳排放强度分析工业碳排放效应需与经济社会系统联系起来考量.鉴于兰州市碳排放总量与工业增加值、GDP、人口和建成区面积呈显著相关关系,本研究选取工业增加值、GDP、人口数量和建成区面积分别计算与之对应的碳排放强度,利用公式(6)分别计算工业碳强、GDP碳强、人均碳强和地均碳强(图 2).
![]() |
| 图 2 兰州市2003—2013年工业碳排放强度 Fig. 2 Carbon intensities from 2003 to 2013 in Lanzhou City |
利用式(7)计算的结果绘制图 3,结果显示,4类碳强年度变化各有特点.2003—2013年兰州市工业碳强呈缓慢下降趋势,研究时段内下降45.04%,年均下降4.50%.GDP碳强变化趋势与工业碳强相近,但数值和变幅均弱于工业碳强.人均碳强呈较快增长趋势,研究时段增长76.96%,年均增长7.70%.地均碳强波动下降变化,总体下降25.39%,年均下降2.54%.
![]() |
| 图 3 兰州市2003—2013年重化工业要素特征 (注:二产比重指第二产业占地区生产总值比重;重工业比重指重工业增加值占轻重工业增加值总量的比重;重化工业比重指规模以上重化工业增加值占规模拟上工业增加值总量的比重) Fig. 3 Characteristics of heavy chemical elements from 2003 to 2013 in Lanzhou City |
工业碳强下降的可能原因有:一是工业生产技术进步,能源利用效率提高;二是经济结构变化,特别是重化工工业城市新兴工业、高技术工业和第三产业的发展,在保持工业经济和总体经济较高增长的前提下实现了碳排放降低.人均碳强呈较快增长是因为,以经济规模扩张满足人均GDP的增长,重化工业城市传统工业高物耗、高能耗和高碳排的格局还没有根本改变,经济增长主要来自于工业生产,因而人均碳强增长较快.地均碳强虽有下降,并不代表环境质量的改善,比较兰州市碳排放总量和建成区面积的时序变化可知,2013年较2003年建成区面积增加150.48%,而碳排放总量只增加86.89%,显然城市扩张速率大于碳排放增长速率,因此,地均碳强下降是以土地城市化为代价的(图 3、表 5).
| 表 5 兰州市2003—2013年人口-空间-经济要素变化 Table 5 Change characteristics of population, space, economic factors from 2003 to 2013 in Lanzhou City |
1) 总体特征
根据式(6)对兰州市2003—2013年碳排放效应进行分解.在5个分解指标中,能源结构效应和人口规模效应均在低位值附近波动变化.能源强度效应和人均经济效应均在高位值附近波动,其中,能源强度效应在负值波动,人均经济效应在正值波动,表明工业生产科技不断进步,单位工业GDP或单位GDP能耗减少,能源强度降低;由于人均收入的不断增加,推动工业生产总量和GDP总量不断攀升,能源消耗量和碳排放总量均会因此而提高,所以人均经济效应呈正值波动变化.经济结构效应呈中位数值变化,2007年以前,以正值推动碳排放增加,说明以重化工业为主的经济结构的高物耗、高能耗和高碳排放的特征;2007年以后,由于积极的产业结构调整措施,工业结构和经济结构不断改进,重化工业工业地位略有降低,经济结构负向消减碳排作用显现(表 6).
| 表 6 兰州市2003—2013年碳排放效应 Table 6 Effect of carbon emissions from 2003 to 2013 in Lanzhou City |
5类分解效应的历年占比中,人均经济效应占比最高,每年占碳排放效应总量的50%以上,且多数年份占比率达到100%以上的绝对优势,是兰州市碳排放增加的主要推动力.能源强度效应除少数年份外,大多数年份是兰州市碳减排消减的主推因素,多数年份达到负值的80%~100%.经济结构效应在研究时段内先是作为正向碳排的推动因素,后是作为兰州市负向碳减排的影响因子之一(图 4).
![]() |
| 图 4 兰州市2003—2013年碳排放效应占比 Fig. 4 Proportion of effect of carbon emissions from 2003 to 2013 in Lanzhou City |
2) 累积效应
累积效应系指研究时段2003—2013年11年10个间隔年份变化量的逐次累加数值,累积效应计算结果如图 5所示.研究时段内,人均经济累积效应与能源强度累积效应以X横轴为中线反位相变动,二者引发的碳排放效应呈正、反向交互抵消.具体数值变化特征为:人均经济累积效应2012—2013年比2003—2004年增加14.78倍,年均增长1.48倍;能源结构累积效应2012—2013年比2003—2004年增加5.78倍,年均增长0.58倍;人口规模累积效应2012—2013年比2003—2004年增加3.84倍,年均增长0.38倍;能源强度累积效应2012—2013年比2003—2004年消减24.43倍,年均降低2.44倍;经济结构累积效应2012—2013年比2003—2004年消减3.32倍,年均降低0.33倍(图 5).
![]() |
| 图 5 兰州市2003—2013年工业碳排放累积效应 Fig. 5 Cumulative effect of carbon emissions from 2003 to 2013 in Lanzhou City |
以上情况表明,人均经济累积效应、能源结构累积效应、人口规模累积效应均以正值效应推动碳排放增加,而能源强度累积效应、经济结构累积效应均以负值推动碳排放消减.对比发现,由于正值碳排放增长效应大于负值碳排放消减效应,所以研究时段内兰州市总体上呈现碳排放增加效应.人均收入提高,消费水平增加,城市人口密度增大,人口数量增多是兰州市人口效应(包括经济效应和规模效应)产生的主要原因.兰州市作为全国重要的重化工业城市,以煤炭、石油为主的能源结构惯势依旧,能源结构不合理是正向碳排放增加的主要原因之一.兰州市积极改进工业生产技术环节,提高能源利用效率,大力发展循环经济;同时,兰州市积极进行经济结构调整,积极发展新兴产业、高新技术产业和第三产业,所以能源强度累积效应、经济结构累积效应呈现负值,进而对碳排放消减发挥积极的作用.
兰州市主要的碳源能源有煤炭、焦炭、石油和天然气4类,以下进一步分析4类主要碳源能源的累积效应.由于针对各类能源进行分析,所以能源结构效应略去,以下分析仅包括4类碳源的能源强度效应、经济结构效应、人均经济效应、人口规模效应和总效应.
图 6a显示了兰州市2003—2013年煤炭碳排放累积效应,其变化趋势与兰州市总碳排放累积效应变化趋势相近.人均经济累积效应是碳排放主要正向推动力,能源强度效应是碳排放消减的主要动力,二者的差值是煤炭所引起的正向碳排放总效应,即其余2种效应作用不明显.
![]() |
| 图 6 兰州市2003—2013年煤炭(a)、石油(b)、焦炭(c)、天然气(d)碳排放累积效应 Fig. 6 Cumulative effect of coal(a), petroleum(b), coke(c) and natural gas(d) carbon emissions from 2003 to 2013 in Lanzhou City |
图 6b反映了石油碳排放累积效应与煤炭和总体不同.人均经济累积效应和能源强度效应依然是正向和负向力量,且二者作用几于抵消,但由于经济结构累积效应和人口规模累积效应在研究时段保持持续的正向作用,因此,石油碳排放总效应呈正向作用,但近年来保持稳定略有下降趋势.
图 6c反映焦炭碳排放累积效应与煤炭、石油和总体均有不同.在研究时段内,能源强度效应、人均经济累积效应、经济结构累积效应和人口规模累积效应均为正值,人均经济效应正向作用最大,累积效应持续增加,能源强度累积效应波动较大,经济结构累积效应和人口规模累积效应低位波动变化,但均以正值为主,因此,焦炭碳排放总效应呈正向作用.
图 6d反映天然气碳排放累积效应与石油变化特征相似.不同之处是天然气发热量高,在研究时段内,能源强度累积效应、人均经济累积效应、经济结构累积效应和人口规模累积效应虽均为正值,但碳排放正向作用不大.
煤炭、焦炭、石油和天然气4类碳源能源中,煤炭累积效应变化与总系统累积效应变化趋势一致性较强,说明煤炭对总系统累积效应贡献度最大.石油累积效应变化与总系统累积效应变化趋势有一定的一致性,区别在于石油累积效应近年来保持稳定略有下降趋势.天然气累积效应变化与总系统累积效应变化趋势虽有一定的一致性,但由于天然气碳源占比份额较低,对总系统贡献度明显减低.焦炭累积效应变化与总系统累积效应变化趋势一致性最差,由于研究时段内焦炭需求保持高增长态势,焦炭各要素累积效应均呈增长趋势,说明焦炭对总系统累积效应贡献度最小.
3 结论(Conclusions)1) 2003—2013年,兰州市环境系统质量水平有较大上升,但总体水平不高.环境压力指数消减速度较为缓慢,原因在于重化工业经济碳排放高位运行,环境释压难度大、任务艰巨、周期长.环境响应指数增长较慢,主要与兰州市环境投资不足、环境治理力度不够及环保科技发展滞后等原因有关.
2) 2003—2013年,兰州市能源消耗总量大和能源结构以化石燃料为主的特征明显,因而工业碳排放总量大及碳源主要来自高碳排的化石燃料.原油、焦炭、原煤和天然气是兰州市4大工业碳排放源.
3) 研究时段内,兰州市工业碳强、GDP碳强呈下降趋势,说明工业增加值、GDP增长速度快于碳排放总量增长速度,原因在于工业能源消费技术水平有所改进,工业能源使用效率不断提高.但兰州市全市工业碳排放总量依然呈递增趋势.将工业碳排放分摊到全市人口及全市建成区面积上,人均碳强呈现明显递增趋势,地均碳强在波动中缓慢下降.表明兰州市工业经济及经济总量增长主要依赖于重化工业,因而随着人均国民收入的增加,碳排增加必然成为附带产品.地均碳强缓慢降低,表明兰州市城市空间规模发展的速度快于碳排放增加的速度,说明土地占用消减了碳排放的空间分摊.
4) 研究时段内,能源结构效应和人口规模效应均在低值附近波动变化,能源强度效应和人均经济效应均在高位值附近波动.其中,能源强度效应在负值波动,人均经济效应在正值波动,经济结构效应呈中位数值变化,2007年以前,以正值推动碳排放增加,2007年以后,经济结构负向消减碳排放作用增加.人均经济效应占比最高,每年占碳排放效应总量的50%以上,且多数年份达到占比正值的100%的绝对优势地位,是兰州市碳排放增加的主要推动力.能源强度效应除少数年份外,大多数年份是兰州市碳减排放主要推动因素,多数年份达到负值的80%~100%.
5) 研究时段内,人均经济累积效应与能源强度累积效应以X横轴为中线反位相变动,二者引发的碳排放效应呈正、反向交互抵消.4类主要碳源的能源强度效应、经济结构效应、人均经济效应、人口规模效应和总效应各有特征.各碳源对总系统累积效应特征贡献度大小依次为煤炭、石油、天然气和焦炭.
4 建议(Suggestion)兰州市今后应该进一步优化能源结构,消减化石燃料的消费比重,积极开发新能源;重视能源利用效率的技术孵化,在保证工业能源消费的前提下,侧重节能环保技术的开发与运用;重视环境教育,增加环保投入也是改善环境问题的主要出路之一.
| [1] | 范丹.2013.中国能源消费碳排放变化的驱动因素研究-基于LMDI-PDA分解法[J].中国环境科学, 33 (9):1705–1713. |
| [2] | 范庆泉, 周县华, 刘净然.2015.碳强度的双重红利:环境质量改善与经济持续增长[J].中国人口·资源与环境, 25 (6):62–71. |
| [3] | 李旭东.2014.贵阳市能源消费、碳排放量及其与经济增长关系的研究[J].贵州师范大学学报(自然科学版), 32 (4):1–8. |
| [4] | 梁日忠, 张林浩.2013.1990-2008 年中国化学工业碳排放脱钩和反弹效应研究[J].资源科学, 35 (2):268–274. |
| [5] | 林涛, 李灵, 赵涛, 等.2013.天津市工业碳排放测算与影响因素分析[J].城市环境与城市生态, 26 (1):22–24. |
| [6] | 林涛, 赵涛, 康纪东, 等.2013.中国区域工业碳排放测算与影响因素分析-以天津市为例[J].西安电子科技大学学报(社会科学版), 23 (1):36–42. |
| [7] | 刘翀, 柏明国.2012.安徽省工业行业用水消耗变化分析-基于LMDI分解法[J].资源科学, 34 (12):2299–2305. |
| [8] | 刘耀彬, 李仁东, 宋学锋.2005.中国城市化与生态环境耦合度分析[J].自然资源学报, 20 (1):105–112. |
| [9] | 刘源, 李向阳, 林剑艺, 等.2014.基于LMDI分解的厦门市碳排放强度影响因素分析[J].生态学报, 34 (9):2378–2387. |
| [10] | 任秀燕. 2013.江苏省能源碳排放与环境质量关系研究[D].南京:南京师范大学 |
| [11] | 史安娜, 李淼.2011.基于LMDI的南京市工业经济能源消费碳排放实证分析[J].资源科学, 33 (10):1890–1896. |
| [12] | 王晓霞, 南灵.2014.基于LMDI模型的陕西省能源消费碳排放压力解耦分析[J].生态与农村环境学报, 30 (3):311–316. |
| [13] | 武戈, 谢钰思.2014.工业碳排放的驱动因素研究-基于南京市工业35个行业的LMDI模型分析[J].环境污染与防治, 36 (2):105–110. |
| [14] | 武红, 谷树忠, 周洪, 等.2011.河北省能源消费、碳排放与经济增长的关系[J].资源科学, 33 (10):1897–1905. |
| [15] | 谢守红, 邵珠龙, 牛水霞.2012.无锡市工业碳排放的测算及影响因素[J].经济地理, 32 (5):140–146. |
| [16] | 叶懿安, 朱继业, 李升峰, 等.2013.长三角城市工业碳排放及其经济增长关联性分析[J].长江流域资源与环境, 22 (3):257–262. |
| [17] | 张陈俊, 章恒全, 龚雅云.2014.中国结构升级、技术进步与水资源消耗-基于改进的LMDI方法[J].资源科学, 36 (10):1993–2002. |
| [18] | 张礼兵, 徐勇俊, 金菊良, 等.2014.安徽省工业用水量变化影响因素分析[J].水利学报, 45 (7):837–843. |
| [19] | 张利, 雷军, 张小雷.2012.1952-2008年新疆能源消费的碳排放变化及其影响因素分析[J].资源科学, 34 (1):42–49. |
| [20] | 张旺, 周跃云.2013.北京能源消费排放CO2增量的分解研究-基于IDA法的LMDI技术分析[J].地理科学进展, 32 (4):514–521. |
2016, Vol. 36







