2. 福建农林大学安溪茶学院, 福州 350002
2. Anxi Tea College, Fujian Agriculture and Forestry University, Fuzhou 350002
全球变暖已成为全世界共同关注的话题,大气中浓度不断升高的CO2、CH4等温室气体是导致这一问题的关键(IPCC,2013).人类活动,如工业排污、农业施肥、化石燃料燃烧,以及生物固氮作用等输入和积累的氮素通过多种途径进入生态系统,已经导致活性氮排放的增加(Thomas et al., 2010;Holtgrieve et al., 2011;Liu et al., 2013;Gundale et al., 2014).大量研究表明,氮素是控制土壤生物反应最重要的因子(Zhang et al., 2007),外源氮增强改变了土壤微生物和植被的生理机能,加速了有机质的分解(Bragazza et al., 2006),增强了土壤酶的活性(Song et al., 2013),是控制温室气体产生与消耗的关键因子,使得主要温室气体对全球变暖的贡献率发生变化(Mosier et al., 2006).但目前关于外源氮对湿地温室气体排放的影响研究尚无定论,存在促进、抑制、无影响等不同的结论(Holland et al., 1999;Galloway et al., 2008).我国是世界三大氮沉降区之一,且沉降量增速最快(Galloway et al., 2008;Liu et al., 2013),深入研究土壤碳循环过程对于这种高氮沉降的响应,对于揭示生态系统碳输入和输出之间的平衡关系具有重要意义.此外,由于工业化的发展,区域硫沉降也有明显增加的趋势(Rodhe,1999).酸雨中所含的SO42-可以使湿地中的硫酸盐还原菌变得活跃,并与甲烷产生菌竞争基质,从而抑制土壤CH4的产生和排放,起到抑制温室效应的作用(Bartlett et al., 1987;Middelburg et al., 2002).Gauci等(2008)也认为,根系分泌物是甲烷生成的关键底物来源,SO42-添加可以减少根系分泌物的释放,从而使甲烷产生菌在与硫酸盐还原菌竞争底物时处于不利地位.目前,国外关于硫增强抑制泥炭沼泽和水稻田等湿地CH4产生与排放的研究已经很多,但在河口湿地还很少开展相关研究,相关机制尚不清楚.可见,研究河口潮滩湿地温室气体排放对氮硫负荷增强的响应,可以更好地理解氮硫增强对生态系统氮和碳动力学机制的影响,为准确估算全球变暖潜势提供依据.
滨海河口湿地是介于海洋和陆地生态系统之间并具有较高的生物生产力和氧化还原能力的过渡性生态系统(姚守平等,2007;Allen et al., 2011),是大气CH4的重要排放源,并对大气CO2排放产生潜在影响(Tong et al., 2014).研究表明,湿地是地球陆地表面碳密度最高的生态系统(Scholz et al., 2007),天然湿地土壤中每年排放到大气中的CH4有近100~231 Tg,约占全球CH4年排放量的20%~39%(Menon et al., 2007).滨海河口潮滩湿地是对全球环境变化响应最敏感的生态系统之一(Bianchi and Allison, 2009).不仅受海洋潮汐影响,表现出周期性的暴露和浸没的交替变化(Kostka et al., 2002);同时还受环境变化的交互作用,土壤理化特性变化频繁,使得河口潮滩湿地土壤含碳气体(Gaseous Carbon)排放表现出独特的变异格局.因其在全球碳循环中所占有的重要地位而一直作为国内外学者研究的焦点(Hyun et al., 2007;Wilson et al., 2015).目前,关于河口湿地含碳气体排放研究主要集中在通量的观测(曾从盛等,2010;Weston,2014),对于全球变化背景下含碳气体源/汇功能及其通量变化的研究仍较薄弱,其过程和机理尚有许多不明晰之处.同时,在河口潮滩湿地剖面上,其受潮水浸没时间表现为:高潮滩<中潮滩<低潮滩.因此,开展河口潮滩湿地含碳气体通量研究,是明确潮汐作用影响下温室气体变化的重要一环.在全球变暖趋势不可逆转以及全球环境问题日益严重的背景下,深入研究湿地生态系统生物地球化学循环过程中温室气体排放的机制与规律,对于估算全球温室气体排放量,进而预防和减缓全球变暖具有重大而直接的意义.
2 材料与方法(Materials and methods) 2.1 研究区概况闽江河口鳝鱼滩湿地(119°34′12″~119°40′40″E,26°00′36″~26°03′42″N)是福建省闽江河口湿地自然保护区内面积最大的天然湿地.该区是典型的开放式感潮河口,属亚热带海洋性季风气候,温暖湿润,年均气温19.6 ℃,年均降水量1346 mm(刘剑秋等,2006).潮汐属典型半日潮,土壤以红壤、砖红壤为主(郑彩红等,2006).芦苇(Phragmites australis)、短叶茳芏(Cyperus malaccensis var. brevifolius)和藨草(Scirpus triqueter)是该区的土著优势植物,相互之间呈斑块状镶嵌分布.其中,短叶茳芏潮滩湿地一般3月初进入生长期,6—9月为生长旺盛期,11月后趋于缓慢,直至停止生长(黄敏参,2005;仝川等,2011).本研究在高(H)、中潮滩(M)均有分布的短叶茳芏群落选择一个典型样区进行实验布设(图 1),两个样地直线距离约130 m,水文条件差异明显,其高程差和基本理化性质见图 1和表 1.
![]() |
| 图1 采样点示意图 Fig.1 Distribution of sampling sites in the Min River estuary |
| 表1 闽江河口高、中潮滩湿地土壤基本理化性质特征 Table 1 Soil physicochemical properties of the high and middle tidal flat wetl and s in the Min River estuary |
在高潮滩和中潮滩上均有分布的短叶茳芏湿地内与岸平行的方向,分别布设1条30 m×3 m的增强处理样带,将样带等距离分为3个平行处理样区(作为3个重复),每个处理样区间相隔2 m;在每个处理样区内进一步布设5个1 m×1 m的平行处理小区用于增强处理实验,小区间留有缓冲带,防止相互干扰.原位根据中国市域氮、硫负荷增强的一般区间以及同类研究(段雷,2002;Kivimäki et al., 2013;高伟等,2014),并结合闽江河口区实际沉降量,按照中偏高输入标准,向各处理样区添加氮、硫和氮+硫,5个处理分别为对照CK(0 g N · m-2 · a-1)、 NH(24 g NH4+-N · m-2 · a-1)、NO(24 g NO3--N · m-2 · a-1)、 S(24 g SO42--S · m-2 · a-1)、NS(24 gN-S · m-2 · a-1).为了使喷洒的处理溶液最大限度地保留在试验样地,力争在喷洒后的24 h 内潮水的冲刷影响最低,喷洒日选定在每个月的1个小潮日退潮后地表出露无潮水水淹时段,这样在喷洒的第2 d也基本无潮水冲刷的影响(仝川等,2010).模拟增强实验使用喷壶向静态箱底座内土壤表面施加不同处理组的水溶性NH4Cl、KNO3、K2SO4以及NH4NO3+K2SO4复合溶液,对照样地则喷洒相同量的水.从2014年6—11月份,在每月各试验日相同的时刻施加不同处理溶液.
2.3 气体采集与测定气体采集采用静态暗箱法,静态箱由底座和顶箱2部分组成,底座及箱材为PVC板.底座尺寸为(35 cm×35 cm×40 cm),静态箱的尺寸为(35 cm×35 cm×140 cm),顶箱上部安装1个小风扇混合箱内气体,侧面安装气体采样口.为防止施加溶液的过快流失及交叉影响,底座深入土壤35 cm,出露沉积物表面小于5 cm,并且底座在整个试验期间长期固定在样点.本研究每月在施加日当天采集气样,连续采集6个月.气样用60 mL带有三通阀的注射器从箱内抽取,1个通量测定共抽气4次,分别在盖箱后0、10、20、30 min采集.样品采集后立刻运回实验室,用气相色谱仪(Shimadzu GC-2010,Japan)测定气样中CH4和CO2 浓度.根据以下公式计算排放到大气环境中的CH4和CO2通量.
与采集气样同步,原位测定每个静态箱内5、10、15 cm的土壤温度、pH值、电导率以及箱温、气温等指标.土壤pH和氧化还原电位采用IQ150便携式pH/mV仪(IQ Scientific Instruments,USA)测定,土壤温度与电导率采用2265FS便携式电导/温度计(Spectrum Technologies Inc,USA)测定,含水率用烘干法测定,容重用环刀法进行测定,气温则利用Kestrel 3500手持气象站(NK,USA)测定.土壤背景值中,全氮(TN)、全碳(TC)使用碳氮元素分析仪测定(vario MAX,德国),无机氮使用流动连续分析仪(Skalar San++,荷兰)测定.
2.5 数据处理与分析同一潮滩不同处理之间,以及同一种处理不同潮滩间温室气体排放通量的差异性检验采样SPSS17.0中的单因素方差分析(ANOVA)进行统计分析.排放通量与环境因子之间的相关关系使用SPSS17.0中Pearson相关分析进行统计分析.数据作图使用Original 8.0进行.
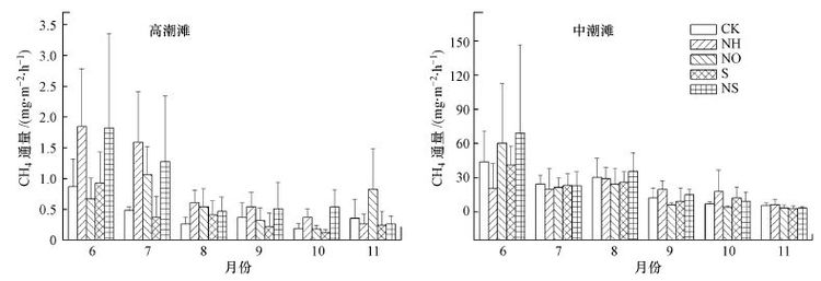
3 结果与分析(Results and analysis) 3.1 CH4排放通量对氮硫负荷增强的响应闽江河口高、中潮滩短叶茳芏沼泽CH4排放通量在实验期间均具有明显的时间变化,一般呈现出随温度的降低而减少的趋势,具有波动变化的特征(图 2).高、中潮滩湿地在观测期间均表现为CH4的源,平均排放通量分别为0.42和20.40 mg · m-2 · h-1,说明中潮滩短叶茳芏沼泽湿地作为CH4源的功能要强于高潮滩.统计分析表明,对照处理下,两个潮滩湿地CH4排放通量差异显著(p<0.01),氮硫增强处理下CH4排放通量在两个潮滩湿地间差异也达到极显著水平(p<0.01).外源氮硫增强在不同时间对两个湿地CH4排放通量的影响不尽一致,存在促进、抑制和影响不显著等情况(图 3),并且高潮滩CH4排放通量对外源氮硫增强的响应要高于中潮滩.具体而言,与对照相比,NH输入使高、中潮滩CH4排放通量分别提高了107.53%和7.19%,明显促进了 CH4排放;NO输入使高潮滩CH4排放通量提高了29.99%,而使中潮滩降低了3.45%;S输入分别使高、中潮滩CH4通量减少了8.99%和7.67%,抑制了CH4排放;而NS复合输入则使高、中潮滩CH4通量增加了72.48%和25%,对CH4排放具有促进作用.不同处理组对高、中潮滩CH4排放通量的促进作用分别表现为:NH > NS > NO > S和NS > NH > NO > S.但方差分析显示,除了高潮滩NH处理下,CH4通量与对照相比存在显著差异外(p<0.05),其他处理下CH4通量在两个潮滩差异性均没有达到显著性水平(p>0.05)(图 3).
![]() |
| 图2 闽江河口高、中潮滩短叶茳芏沼泽湿地CH4排放通量对氮硫负荷增强的响应 Fig.2 Effects of enrichement of nitrogen and sulfate load on CH4 fluxes in the high and middle tidal flat wetlands |
![]() |
| 图3 闽江河口高、中潮滩湿地不同处理下CH4、CO2平均排放通量(注:不同小写字母代表同一样地不同处理间差异性显著,不同大写字母代表同一处理不同样地间差异显著,n=18.) Fig.3 Effects of enrichement of nitrogen and sulfate load on average fluxes of CH4、CO2 in the high and middle tidal flat wetlands |
闽江河口高、中潮滩短叶茳芏沼泽湿地CO2排放通量在各增强处理下均具有相似的月变化动态,也呈现出随温度的降低而减少的趋势,最大峰值出现在夏季(6、7、8月份)(图 4),氮硫增强处理并没有改变潮滩湿地CO2排放时间变化规律.数据分析显示,高、中潮滩湿地CK、NH、NO、S和NS复合增强处理下CO2平均排放通量分别为(1456.85±389.35,1197.47±327.66),(1506.30±651.40,1161.50±617.19),(1704.42±686.87,1140.40±704.32),(1400.55±605.38,1132.32±486.20),(1650.95±642.33,1358.92±691.79)mg · m-2 · h-1.与对照相比,S处理使高潮滩CO2平均排放通量减少了3.87%,使中潮滩增加了5.44%;NS使高、中潮滩CO2通量分别增加了(13.32%,13.48%);NH和NO则分别使高潮滩CO2通量增加(3.39%,16.99%)使中潮滩CO2通量降低了(3.00%,4.77%).方差分析显示,无论是对照处理还是氮硫增强处理,CO2排放通量在两个潮滩湿地间差异均未达到显著水平(p>0.05).外源氮硫增强在不同时间对两个湿地CO2排放通量的影响不尽一致,但大体表现为无影响或影响不显著(图 4),氮硫增强没有改变潮滩湿地土壤CO2排放规律.
![]() |
| 图4 闽江河口高、中潮滩短叶茳芏沼泽湿地CO2排放通量对氮硫负荷增强的响应 Fig.4 Effects of enrichement of nitrogen and sulfate load on CO2 fluxes in the high and middle tidal flat wetlands |
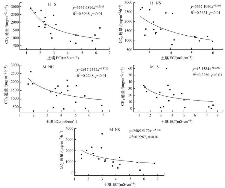
实验期间,不同潮滩湿地土壤温度在各增强处理下变化趋势较为一致,大体表现为随土壤深度的增加而递减(图 5).方差分析显示,无论是对照处理,还是增强处理下,中潮滩土温均略高于高潮滩,但这种差异性不显著(p>0.05).同一潮滩内,湿地土壤温度在对照组和处理组间的差异性均不显著(p>0.05).采样期间,闽江河口湿地平均气温为28.95 ℃,其中高潮滩和中潮滩的气温平均值分别为 28.63和29.67 ℃.土壤EC在两个潮滩湿地间的变化规律性不一致,高潮滩表现为5 cm > 10 cm > 15 cm,而中潮滩则表现为5 cm < 10 cm < 15 cm.总体而言,不同潮滩土壤EC间差异不显著(p>0.05).土壤含水率方面,中潮滩显著高于高潮滩(p <0.01),并且这种差异性在夏季表现尤为突出.相关分析显示,闽江河口高、中潮滩湿地CH4和CO2排放通量与表层土壤温度存在显著(p <0.05)和极显著(p <0.01)相关关系(表 2).可见,土壤温度是影响温室气体排放的关键控制因子,并且氮硫增强处理使得这种相关性有所增强.土壤含水率与CH4排放通量存在显著相关关系(p <0.05),和CO2通量相关性不显著(p >0.05).土壤EC与温室气体通量间的相关关系不尽一致,除了个别处理下存在显著相关外(p <0.01)(图 6),其他相关性均不显著.
![]() |
| 图5 闽江河口潮滩湿地土壤温度动态变化(注:T5,10,15分别表示表层以下5、10、15 cm土温.) Fig.5 Variation of soil temperature in the high and middle tidal flat wetlands |
| 表2 闽江河口高、中潮滩湿地温室气体通量与土壤温度的相关关系 Table 2 Regression and significance analysis between CH4 or CO2 effluxes and soil temperature in the high and middle tidal flat wetlands |
![]() |
| 图6 闽江河口潮滩湿地CH4、CO2排放通量与土壤电导率的关系 Fig.6 Correlation between soil CH4 or CO2 effluxes and soil conductivity in the high and middle tidal flat wetlands |
甲烷代谢是甲烷产生、氧化与传输过程的最终表现,外源氮输入主要通过影响这些过程来控制通量的变化.本研究中,NH4+-N输入明显增加了高潮滩CH4排放通量,分析原因是,高潮滩土壤本底NH4+-N含量较低,受NH4+-N的限制,外源添加的NH4+-N增加了天然湿地氮的可利用性,改变了CH4产生与氧化的微生物过程(胡敏杰等,2014).由于甲烷氧化菌氧化CH4和硝化细菌氧化NH4+时需要相同的微生物酶参与,NH4+-N的输入可通过增加硝化细菌数量而抑制甲烷氧化菌的生长与活性,从而抑制CH4的氧化(Schutz et al., 1989;牟晓杰等,2012);同时,外源氮输入引起的植物根系生物量和分泌物的增加和累积,也为甲烷产生菌提供了更为丰富的底物,增加了CH4排放量(宋长春等,2006).NO3--N输入促进了高潮滩CH4排放通量,主要是由于以NO3-为主的氮沉降增加了土壤中的NO3-浓度,而NO3-对于甲烷氧化菌活性具有直接的抑制作用,同时硝化-反硝化进程中的亚硝酸盐(NO2-)对甲烷氧化菌产生的毒害作用也抑制了CH4的氧化,降低了CH4氧化率(Reay and Nedwell, 2004).而NO3--N对中潮滩CH4排放的抑制作用,其机理是由于硝态氮反硝化过程中的产物对甲烷产生菌活性具有直接抑制作用;同时,硝态氮还原过程与甲烷产生过程相比较,具有明显的底物利用优势,从而使得甲烷产生底物浓度降低到甲烷产生菌无法利用的程度,从而限制甲烷的生成(Min et al., 2011).SO42--S对高、中潮滩CH4排放通量均表现为抑制作用,主要是因为与甲烷产生相同,硫酸盐还原同样是厌氧环境下有机底物碳矿化的一个重要终端过程.滨海河口潮滩湿地土壤中往往硫酸盐含量较丰富,硫酸盐还原过程明显,可显著促进有机碳的分解速率(Nedwell et al., 2004).也有研究认为,硫酸盐的还原比甲烷的生成更具优势,原因是硫酸盐还原菌与醋酸和H2等底物的亲和力更好,从而在底物竞争中战胜甲烷产生过程,最终抑制甲烷产生(Purdy et al., 2003).本研究中,SO42--S输入对甲烷排放的抑制作用没有达到显著性水平,这主要是河口湿地硫酸盐浓度已接近或达到饱和状态,添加的SO42--S对硫酸盐还原过程的影响有限,还可能与河口潮汐湿地甲烷产生基质种类的多样性有关(仝川等,2010).N-S复合添加对高、中潮滩CH4排放通量的促进作用是上述因子综合作用的结果,并且氮输入所引起的植物生物量的增加对甲烷产生的促进作用抵消了硫的抑制作用(Eriksson et al., 2010).此外,闽江河口潮滩湿地这一复杂生态系统,除受潮汐与盐水入侵的影响外,由于地处亚热带,湿热多雨,土壤中铁富集现象明显(Luo et al., 2014),外源氮、硫添加后,与硫酸盐、三价铁等电子受体耦合作用也对甲烷产生、氧化等代谢过程产生影响.同时,相对于高潮滩而言,中潮滩受潮水入侵更频繁,水淹频率和时间更长,这在一定程度上限制了外源添加物的影响,也是外源添加在中潮滩影响均不显著的重要原因.
4.1.2 对CO2排放通量的影响土壤CO2排放是根系呼吸、微生物呼吸以及有机质分解综合作用的产物(Jiang et al., 2010).本研究结果显示,氮硫负荷增强对潮滩湿地CO2排放通量的影响尤为复杂,存在促进和抑制作用的交互影响,并且这种作用均未达到显著性水平,这与先前相关研究结果一致(Wigand et al., 2009;Jiang et al., 2010;Kivimäki et al., 2013).Currey 等(2011)通过5年的大气氮沉降实验也发现,铵态氮和硝态氮添加对泥炭地土壤碳周转的影响极其微弱.对此的解释是,一方面氮输入通过促进植被的生长等过程来增加对CO2的吸收和C储存效率,抑制土壤C的分解速率和CO2的释放速率,进而抑制了CO2排放通量(胡敏杰等,2014).另一方面氮输入也可改变C储存的机制,通过加速物质的分解速率,降低营养物质的循环速率等,提高CO2排放和溶解性有机碳的释放.Bragazza等(2006)研究也认为,外源氮添加消除了氮限制作用对微生物新陈代谢的影响,促进了微生物酶的活性,提高了微生物的分解速率,从而促进CO2通量的增加.SO42--S对高、中潮滩CO2通量的影响较为微弱,其促进和抑制作用均不明显.目前,关于硫酸盐对生态系统CO2排放的影响研究较少,尚无明确的结论.事实上,与其他生态系统不同,滨海河口湿地除了可以通过有机碳矿化过程生成CO2外,还可通过土壤中电子受体的还原过程产生CO2,河口湿地电子受体含量丰富,其碳分解过程伴随着明显的CO2产生(仝川等,2011).Howarth(1984)研究也发现,硫酸盐还原过程也伴随的CO2的产生,其产生量可占土壤呼吸总量的一半以上.
4.2 环境因子对不同潮滩湿地温室气体排放的影响统计分析显示,河口潮滩湿地CH4和CO2均与土壤温度具有线性相关关系,温度是控制CH4和CO2排放动态变化的关键环境因子.温度的升高不仅可以促进土壤微生物的活性,增强土壤中氧的消耗,刺激甲烷产生菌的生长,也可通过阻碍甲烷氧化菌的生长和功能的发挥,抑制CH4的氧化(丁维新等,2003),最终使甲烷产生速率增加.同时,温度升高也增强了植物体和根系的呼吸作用,增加了生物量,为有机碳的分解提供了更多的碳源,较高的温度也提高了微生物的分解速率,进而释放更多的CO2(仝川等,2011).土壤含水率也是影响温室气体排放的重要因素.含水率影响着土壤的通气状况和氧气保有量,本研究中中潮滩土壤含水率明显高于高潮滩,长期处于土壤水分饱和状态,易形成厌氧环境,降低甲烷的氧化速率;同时,较高的水分条件也有助于土壤有机质的分解,为甲烷产生提供大量可用的底物(宋长春等,2006;黄璞祎等,2011),最终促进甲烷的排放.而中潮滩CO2排放通量低于高潮滩也与土壤含水量的不同有关,中潮滩湿地土壤和植物根系呼吸作用释放的CO2在向外扩散过程中,有部分溶解于土壤间隙水中,成为溶解性的CO2,这就导致实际排向大气环境中的CO2通量减少了.本研究中土壤EC与高、中潮滩湿地CH4、CO2排放通量的关系大多是不相关的,这主要与研究时间较短,两个案例地盐度差异不明显有关.实际上,除了上述环境因子外,土壤质地、微生物、生物量、传输途径等生物和非生物因素也影响着温室气体的排放,因此,加强多因子耦合作用下温室气体排放研究是我们后续研究的重点.
在全球变暖趋势不可逆转以及全球环境问题日益严重的背景下,深入研究生态系统温室气体排放与氮硫负荷增强的关系和机制,是全球减排研究的重要一环.本研究在湿地生态系统首次探讨温室气体排放对氮硫增强的响应,初步结果显示氮硫负荷增强对不同潮滩湿地CH4和CO2排放通量的影响较为复杂,存在促进、抑制和无影响等情况.后续更长时间尺度的研究可能更好的深化和解释这一现象.
5 结论(Conclusions)1)对照处理下,两个潮滩湿地CH4排放通量差异显著,氮硫增强处理下CH4排放通量在两个潮滩湿地间差异也达到极显著水平(p<0.01).氮硫负荷增强对不同潮滩湿地CH4和CO2排放通量的影响不尽一致,存在促进、抑制和无影响等情况,但除了NH4+-N使高潮滩CH4排放显著增加外,其他处理影响均不显著.
2)不同潮滩湿地CH4和CO2排放通量在各增强处理下均具有相似的月变化动态,生长旺季(6—9月份)排放通量最高,随之降低,但都表现为CH4排放得“源”.氮硫增强处理并没有改变潮滩湿地温室气体排放的时间变化规律.
3)不同潮滩湿地CH4和CO2排放通量与土壤温度和土壤含水率等环境因子具有很好的相关关系,但与土壤EC相关性不显著.氮硫增强处理没有改变这种相关关系.
| [1] | Allen D, Dalal R C, Rennenberg H, et al. 2011. Seasonal variation in nitrous oxide and methane emissions from subtropical estuary and coastal mangrove sediments, Australia[J]. Plant Biology, 13(1):126-133 |
| [2] | Bartlett K B, Bartlett D S, Harriss R C. 1987. Methane emission along a salt marsh salinity gradient [J]. Biogeochemistry, 4:183-202 |
| [3] | Bianchi T S, Allison M A. 2009. Large-river delta-front estuaries as natural "recorders" of global environmental change [J]. PANS, 106(20):8085-8092 |
| [4] | Bragazza L, Freeman C, Jones T, et al. 2006. Atmospheric nitrogen deposition promotes carbon loss from peat bogs [J]. PNAS, 103(51):19386-19389 |
| [5] | Currey P M, Johnson D, Dawson L A, et al. 2011. Five years of simulated atmospheric nitrogen deposition have only subtle effects on the fate of newly synthesized carbon in Calluna vulgaris and Eriophorum vaginatum [J]. Soil Biology Biochemistry, 43:495-502 |
| [6] | 丁维新,蔡祖聪. 2003. 温度对甲烷产生和氧化的影响[J]. 应用生态学报, 14(4):604-608 |
| [7] | 段雷, 郝吉明, 谢绍东, 等. 2002. 用稳态法确定中国土壤的硫沉降和氮沉降临界负荷[J]. 环境科学, 23(2):7-12 |
| [8] | Eriksson T, quist M G, Nilsson M B. 2010. Effects of decadal deposition of nitrogen and sulfur, and increased temperature, on methane emissions from a boreal peat land [J]. Journal of Geophysical Research, 115:G04036 |
| [9] | Galloway J N, Townsend A R, Erisman J W, et al. 2008. Transformation of the nitrogen cycle: recent trends, questions, and potential solutions [J]. Science, 320(5878):889-892 |
| [10] | 高伟,郭怀成,后希康. 2014. 中国大陆市域人类活动净氮输入量(NANI)评估[J]. 北京大学学报(自然科学版), 50(5):951-959 |
| [11] | Gauci V, Dise N B, Howell G, et al. 2008. Suppression of rice methane emission by sulfate deposition in simulated acid rain [J]. Journal of Geophysical Research, 113:G00A07 |
| [12] | Gundale M J, From F, Bach L H, et al. 2014. Anthropogenic nitrogen deposition in boreal forests has a minor impact on the global carbon cycle [J]. Global Change Biology, 20(1):276-286 |
| [13] | Holland E A, Dentene F J R, Braswell B H, et al. 1999. Contemporary and pre-industrial global reactive nitrogen budgets [J]. Biogeochemistry, 46:7-43 |
| [14] | Holtgrieve G W, Schindler D E, Hobbs W O, et al. 2011. A coherent signature of anthropogenic nitrogen deposition to remote watersheds of the northern hemisphere [J]. Science, 334(6062):1545-1548 |
| [15] | Howarth R W.1984.The ecological significance of sulfur in the energy dynamics of salt marsh and coastal marine sediments [J].Biogeochemistry, 1:5-27 |
| [16] | 黄敏参. 2005. 咸草植物形态解剖及生理生态特性初步探讨[D]. 福州: 福建师范大学 |
| [17] | 黄璞祎, 于洪贤, 柴龙会, 等. 2011. 扎龙芦苇湿地生长季的甲烷排放通量[J]. 应用生态学报, 22(5):1219-1224 |
| [18] | 胡敏杰,仝川. 2014. 氮输入对天然湿地温室气体通量的影响及机制[J]. 生态学杂志, 33(7):1969-1976 |
| [19] | Hyun J H, Smith A C, Kostka J E. 2007. Relative contributions of sulfate-and iron (III) reduction to organic matter mineralization and process controls in contrasting habitats of the Georgia salt marsh[J]. Applied Geochemistry, 22(12):2637-2651 |
| [20] | IPCC. 2007. Climate Change 2007: The Physical Science Basis [R]. Cambridge University Press, UK |
| [21] | IPCC. 2013. Climate Change 2013: The Physical Science Basis [R]. Cambridge Univ. Press, UK |
| [22] | Jiang C M, Yu G R, Fang H J, et al. 2010. N2O fluxes in an alpine meadow on the Qinghai-Tibetan Plateau, China [J]. Atmospheric Environment, 44:2920-2926 |
| [23] | Kivimäki S K, Sheppard L J, Leith I D, et al. 2013. Long-term enhanced nitrogen deposition increases ecosystem respiration and carbon loss from a Sphagnum bog in the Scottish Borders [J]. Environmental and Experimental Botany, 90:53-61 |
| [24] | Kostka J E, Gribsholt B, Petrie E, et al. 2002. The rates and pathways of carbon oxidation in bioturbated salt marsh sediments [J]. Limnology and Oceanography, 47(1):230-240 |
| [25] | Liu X, Zhang Y, Han W, et al. 2013. Enhanced nitrogen deposition over China [J]. Nature, 494:459-462 |
| [26] | 刘剑秋,曾从盛,陈宁,等. 2006.闽江河口湿地研究[M]. 北京:科学出版社 |
| [27] | Luo M, Zeng C S, Tong C, et al. 2014. Abundance and speciation of iron across a subtropical tidal marsh of the Min River Estuary in the East China Sea [J]. Applied Geochemistry, (45):1-13 |
| [28] | Middelburg J J, Nieuwenhuize J, Iversen N, et al. 2002. Methane distribution in European tidal estuaries [J]. Biogeochemistry, 59(1-2):95-119 |
| [29] | Min K, Kang H, Lee D. 2011. Effects of ammonium and nitrate additions on carbon mineralization in wetland soils [J]. Soil Biology and Biochemistry, 43 (12):2461-2469 |
| [30] | Mosier A R, Halvorson A D, Reule C A, et al. 2006. Net global warming potential and greenhouse gas intensity in irrigated cropping systems in northeastern Colorado [J]. Journal of Environmental Quality, 35(4):1584-1598 |
| [31] | 牟晓杰, 刘兴土, 仝川, 等. 2012. 闽江河口短叶茳芏湿地CH4和N2O排放对氮输入的短期响应[J]. 环境科学,33(7):2482-2489 |
| [32] | Nedwell D B, Embley T M, Purdy K J. 2004. Sulphate reduction, methanogenesis and phylogenetics of the sulphate reducing bacterial communities along an estuarine gradient [J]. Aquatic Microbial Ecology, 37:209-217 |
| [33] | Purdy K J, Nedwell D B, Embley T M. 2003. Analysis of the sulfate-reducing bacterial and methanogenic archaeal populations in contrasting Antarctic sediments [J]. Applied Environmental Microbiology, 69(6):3181-3191 |
| [34] | Reay D S, Nedwell D B. 2004. Methane oxidation in temperate soils: effects of inorganic N [J]. Soil Biology and Biochemistry, 36(12):2059-2065 |
| [35] | Rodhe H. 1999. Human impact on the atmospheric sulfur balance[J]. Tellus A, 51(1):110-122 |
| [36] | Schutz H, Seiler W, Conrad R. 1989. Processes involved in formation and emission of methane in rice paddies [J]. Biogeochemistry, 7(1):33-53 |
| [37] | Scholz M, Harrington R, Carroll P, et al. 2007. The integrated constructed wetlands (ICW) concept [J]. Wetlands, 27:337-354 |
| [38] | 宋长春, 张丽华, 王毅勇, 等. 2006. 淡水沼泽湿地CO2、CH4和N2O排放通量年际变化及其对氮输入的响应[J]. 环境科学,2369-2375 |
| [39] | Song Y Y, Song C C, Li Y C, et al. 2013. Short-term effect of nitrogen addition on litter and soil properties in Calamagrostis angustifolia freshwater marshes of Northeast China [J]. Wetlands, 33:505-513 |
| [40] | Thomas R Q, Canham C D, Weathers K C, et al. 2010. Increased tree carbon storage in response to nitrogen deposition in the US [J]. Nature Geoscience, 3(1):13-17 |
| [41] | 仝川, 鄂焱, 廖稷, 等. 2011. 闽江河口潮汐沼泽湿地CO2排放通量特征[J]. 环境科学学报, 31(12):2830-2840 |
| [42] | 仝川, 柳铮铮, 曾从盛, 等. 2010. 模拟SO2-4沉降对河口潮汐湿地甲烷排放通量的影响[J]. 环境科学学报, 30(3):302-308 |
| [43] | Tong C, Wang C, Huang J F, et al. 2014. Ecosystem respiration does not differ before and after tidal inundation in brackish marshes of the Min River estuary, Southeast China[J]. Wetlands, 34(2):225-233 |
| [44] | Weston N B, Neubauer S C, Velinsky D J, et al. 2014. Net ecosystem carbon exchange and the greenhouse gas balance of tidal marshes along an estuarine salinity gradient [J]. Biogeochemistry, 123(3):163-189 |
| [45] | Wilson B J, Mortazavi B, Kiene R P. 2015. Spatial and temporal variability in carbon dioxide and methane exchange at three coastal marshes along a salinity gradient in a northern Gulf of Mexico estuary [J]. Biogeochemistry, 123(3):329-347 |
| [46] | Wigand C, Brennan P, Stolt M, et al. 2009. Soil respiration rates in coastal marshes subject to increasing watershed nitrogen loads in Southern New England, USA [J]. Wetlands, 29:952-963 |
| [47] | 姚守平, 罗鹏, 王艳芬, 等. 2007. 湿地甲烷排放研究进展[J]. 世界科技研究与发展, 29(2):58-63 |
| [48] | 曾从盛, 王维奇, 张林海, 等. 2010. 闽江河口短叶茳芏潮汐湿地甲烷排放通量[J]. 应用生态学报, 21(2):500- 504 |
| [49] | Zhang L H, Song C C, Zheng X H, et al. 2007. Effects of nitrogen on the ecosystem respiration, CH4 and N2O emissions to the atmosphere from the freshwater marshes in northeast China [J]. Environmental Geology, 52(3):529-539 |
| [50] | 郑彩红,曾从盛,陈志强,等. 2006. 闽江河口区湿地景观格局演变研究[J]. 湿地科学,4(1):29-35 |
2016, Vol. 36







