随着人口和经济的快速增长,伴随产生了环境污染、生态破坏和资源枯竭等一系列环境问题,且无节制扩张影响着生态系统的结构和功能(Liu et al.,2005;Chen,2007),制约区域的可持续发展(Zhang et al.,2014).可持续发展是国家发展战略目标的选择,而生态承载力正是可持续发展评价和研究的核心之一(Brown et al.,1994),因此,相关研究倍受国内外学者的关注.承载力的概念源于力学,1921年,Park和Burgess首次将承载力引入人类生态学领域,以描述一定的基础资源所能支持的某种个体存在数量的最高极限(Wang et al.,1994; 高吉喜,2001).随着人类活动范围的拓展,承载力的内涵逐渐从环境或资源承载力扩展到生态承载力(Kessler,1994),生态承载力代表生态系统的整体水平特征(Xu et al.,2010),描述了包括人类在内的复合生态系统的资源与环境的可持续供给与容纳能力,强调生态系统的完整性、协调性和稳定性,以寻求其动态平衡临界点.但由于生态系统的高度复杂性和非线性,如何定量评价和动态模拟生态承载力成为目前研究的难点与重点(周红艺等,2010; 董殿波,2012).
目前,国内外针对生态承载力的评价方法主要有植被净第一性生产力法(周广胜等,1995)、生态足迹法(Cuadra et al.,2007)、供需平衡法(王中根等,1999)、综合指标评价法(夏军等,2004)等.其中,植被净第一性生产力法、生态足迹法、供需平衡法简化了生态过程,难以体现复杂系统的非线性特征和动态机制,具有很大的局限性.综合指标评价法虽然可以体现复杂系统的特征,但需要计算大量数据,精度依赖于人的判断,因而应用受到很大限制(向芸芸等,2012; 邓波等,2003; 杨开忠等,2003).许多生态承载力评价研究中权重的确定主要依赖专家经验,带有强烈的主观性,而且不能揭示生态承载力的作用机理和动态演化,难以有效预测生态承载力的发展,具有很大的局限性.因此,本文拟以复杂系统观点构建生态承载力评价方法,引入信息熵来描述生态承载力,建立各组元耦合的信息结构网络,依据最大信息熵原理(MIEP)导出描述生态承载力的评价参数ξ及其演化动力学方程,构建一个新的生态承载力动态评价模型.该评价方法更加注重复杂系统的耦合性和鲁棒性,可以克服上述传统评价方法的不足,从本质上反映生态承载力的发展演化,使生态承载力的研究进一步向动态预测迈进.
作为我国重要的经济区,洞庭湖生态经济区的经济、社会和环境的协调发展一直是各界的关注焦点.因此,本文依据生态承载力的内涵建立洞庭湖生态经济区生态承载力评价指标体系,通过MIEP推导其生态承载力演化的动力学方程,揭示其生态承载力的动态演化,以更加科学地评价洞庭湖生态经济区生态承载力状况,为管理决策者提供一定的依据与指导,这对于实现洞庭湖生态经济区的可持续发展也具有重要意义.
2 基于信息熵的生态承载力评价模型(The evaluation model of ECC based on MIEP) 2.1 评价指标体系生态系统是一个复杂的巨系统,包含着复杂的生态环境结构、经济结构及社会结构,评价指标不仅要描述区域生态系统的状态,还要能反映整个系统的动态特征(Repetti et al.,2006).
| 表 1 生态承载力评价指标体系 Table 1 Assessment index system of ecological carrying capacity |
根据生态承载力的内涵,生态承载力可从压力层和支持层两方面描述,其中,支持层包括生态弹性、资源承载和人类支持(Li et al.,2011).人类活动对环境造成一定的压力,环境状态随之发生变化,从而促使人类社会针对环境变化做出反应,以防止环境恶化.参考“生态县、生态市、生态省建设指标(经修订)”和各类文献,考虑洞庭湖生态经济区的具体情况,根据广泛性、代表性、层次性、合理性和真实性的指标构建原则,从目标层、准则层和指标层3个层次,构建出生态承载力评价指标体系.其中,自然指标年平均气温(C1)和年降水量(C2),根据洞庭湖生态经济区的近年来温度高于多年平均值、温室效应、枯水期长和趋势性缺水等具体情况,确定此阶段C1对生态承载力为负影响,C2为正影响.
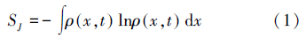
2.2 生态承载力评价模型目前,熵理论在承载力评价方面主要用于熵权的获得,避免了人为主观性,评价准确、直观、方便(赵军凯等,2009;孙京姐等,2010),但还没有形成对生态承载力发展演化的动态描述.对于区域生态系统这样的有机复杂整体,其内在与外界及内在相互的物质能量流动构成了动态的信息流动图像,这种“流”载于结点之间的连接上,经济、社会和自然环境可以看作该系统的结点,它们之间复杂的相互作用决定了其生态承载力状况.作为一个典型的复杂系统,其遵循最大信息熵原理(MIEP),即在给定约束下使广义信息熵最大的分布是最可能出现的分布,一个远离平衡态的复杂开放系统总是寻找一种优化过程使得系统在给定的约束下从外界获得最大的广义信息熵(Jaynes,1957;Chai et al.,2002).MIEP模型在各复杂系统的成功应用为下文描述生态承载力奠定了基础(韦海英等,2007;Du et al.,2014).因此,结合生态承载力的内涵,可构建一个以评价指标为结点(xi)的信息网络结构(图 1),该网络各节点之间及节点和外部环境之间不断进行相互作用,这种相互作用可以描述为组元x1,x2,…,xn的耦合关系,x1~xn间所有可能的耦合关联“信息”的汇合即为广义信息流或广义信息熵,设向量x=(x1,x2,…,xn),类比于经典信息熵(Haken,2006),系统在t时刻的广义信息熵SJ为:

式中,ρ(x,t)为概率测度.
![]() |
| 图 1 生态承载力的信息网络结构示意图 Fig. 1 Information network structure diagram of ecological carrying capacity |
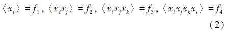
生态承载力的演化必然受到多种因素的约束,这种约束条件可以转化成组元之间应满足的守恒关系,可一般化的用x1,x2,…,xn的形式表示为:

式中,<>表示统计平均值,如<xi>=f1,即为
.
根据MIEP,在约束条件(2)下信息熵SJ最大化,即利用Lagrange乘算法使式(1)在式(2)下取极值,由泰勒展开式得:

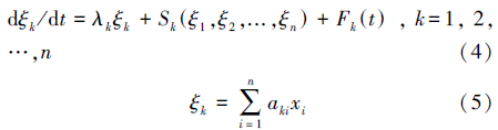
式中,系数σ为由Lagrange优化决定的参数.由此可推出动力学演化方程:

式中,Fk和Sk反映指标或组元间的相互作用,aki表示组元xi间的连接权值,ξk(同ξ)是xi的宏观组合模式的结构参量,ξ值代表生态承载力水平,若指标数据xi都是正向的,则ξ值越大,生态承载力越高.
该模型提供了一种描述世界万象的新方法,这样的“有生于无”的过程通过方程(4)这个动力系统来实现.一个特征值λk对应着一个可能的宏观结构模式ξk,λk>0的情况对应着活跃的组合模式,将在竞争的过程中获胜进而决定生态承载力的宏观结构,λk<0的情况对应着不活跃的组合模式,在竞争过程中被淘汰.由此揭示生态承载力结构模式的变化特征,这样我们就建立了基于信息熵的生态承载力评价模型.
自组织特征映射神经网络(SOM)是一个与生态承载力等价的动力系统,每个神经元相当于一个元胞,神经元之间存在复杂的相互作用.将生态承载力的指标组元映射到SOM网络中,激发某个神经元产生了权值aki,式(1)中的信息会发生变化,通过竞争继续激发新的神经元,以此迭代可以呈现出生态承载力的动态演化过程,同时完成式(4)的求解.在这样的复杂系统中需要力所能及地考虑所有联系,因此,需要利用MATLAB得到其演化的动力学过程和生态承载力的表征值ξ.
3 洞庭湖生态经济区生态承载力评价(Evaluation of ecological carrying capacity in Dongting Lake Ecological Economic Zone) 3.1 数据来源与计算本文的研究区域包括洞庭湖生态经济区的常德、益阳、岳阳3个中心城市及长沙望城区共25个县(市、区),对其2008—2012年生态承载力进行分析,其中,社会经济与资源环境类指标的数据来源于2008—2012年各地的《统计年鉴》、《国民经济与发展统计公报》、《环境状况公报》和《国民经济和社会发展统计公报》等,土壤与土地类指标数据由其他论文和网络数据综合得到.
评价指标中涉及的经济数据包括人均GDP、万元GDP能耗和万元GDP水耗.考虑到经济发展中价格变化的影响,以现价人均GDP、居民消费水平绝对额和保险福利费用不能直接对比,故先将上述经济数值折算成2008年不变价,然后利用不变价的经济数值进行比较.并且由于原数据受单位和数量级的影响,指标耦合的差异性较大,故需要对原始数据进行无量纲化,从而保持原始数据的一致性,在消除量纲、数量级影响的同时,保留各指标的变异程度.对生态城市建设有负影响的逆向指标先取倒数使其正向化,然后采取式(6)所示极值法进行归一化处理后,在冯綮一(2010)开发的MFP模拟程序包的基础上进行程序的编写,借助MATLAB进行计算.

式中,i=1,2,…,m;Ci,max为该指标最大值.
3.2 结果与分析 3.2.1 洞庭湖生态经济区生态承载力综合评价将指标层的数据标准化,采用3×4网格数进行400步演化模拟,计算洞庭湖生态经济区2008—2012年的ξ值(ξ1~ξ5),结果如图 2所示.在演化过程中,指标组元相互关联、耦合,不断进行竞争和自组织作用,从而产生反映其生态承载力水平的获胜模式,获得了每一组给定x1,x2,…,xn数据下的ξ值.可以看出,前150步模拟ξ值波动较大,之后逐渐趋于稳定,达到相对稳定的模式结构,此时的ξ值可代表生态承载力水平.
![]() |
| 图 2 2008—2012年洞庭湖生态经济区生态承载力动态演化过程 Fig. 2 Dynamic evolutionary process of ecological carrying capacity of Dongting Lake Ecological Economic Zone in 2008—2012 |
将模拟得到的表征生态承载力水平的每一组给定x1,x2,…,xn数据下的ξ值整理后作折线图,从图 3以看出,洞庭湖生态经济区2008—2012年期间生态承载力呈总体上升的趋势,其中,2008年和2009年两年生态承载力水平基本一致,2009—2010年呈现较明显的上升,而2010—2011年呈现下降趋势,2011—2012年生态承载力水平大幅度提高.说明近年来对洞庭湖生态经济区的生态承载力建设效果显著,该区域生态系统组元间的耦合关系越来越紧密.但2011年生态承载力水平的异常情况需要进一步模拟分析,从而为该地区下一步的规划建设提出针对性的建议.
![]() |
| 图 3 洞庭湖生态经济区生态承载力综合评价结果 Fig. 3 Comprehensive evaluation results of ecological carrying capacity of Dongting Lake ecological economic Zone |
为了深入了解洞庭湖生态经济区生态承载力发展状况,根据其各方面的发展状态提出针对性的对策建议,提高生态承载力水平,可以基于准则层进行分析.将标准化的数据依次代入SOM网络中进行分类分析模拟,借助MATLAB,分别演化出能够反映该地区生态弹性(B1)、资源环境承载力(B2)、环境压力(B3)和人类潜力(B4)的指标特征值,从而得到洞庭湖生态经济区在这4个方面的发展趋势(图 4).
![]() |
| 图 4 洞庭湖生态经济区2008—2012年准则层指标发展趋势 Fig. 4 The development trends of the criterion layer of Dongting Lake Ecological Economic Zone from 2008 to 2012 |
洞庭湖生态经济区生态弹性(B1)的发展状态分两个阶段:2008—2009年呈现下降趋势,2009—2012年呈稳步上升趋势.可见前期对生态系统的利用和改造忽略了生态弹性方面的发展,导致生态系
统自我调节能力下降.2009年以后政府开始认识到生态弹性对整个生态系统承载力的重要性,使其发展水平慢慢上升.资源环境承载力(B2)的发展很不稳定,特别是2011年急剧下降,可见洞庭湖生态经济区的资源状况易受影响,需要政府在这方面加强监管,采取一定的措施促进其平稳发展,以免对生态承载力综合水平造成较大的影响.环境压力(B3)在这5年间变化不大,说明该方面各指标的发展有上升有下降,在一定程度上造成了整体水平平缓的现象.人类潜力(B4)的发展逐年上升,这与经济发展和科技进步密不可分,还有政府在环境保护方面的投资和政策支持,人类环保意识的加强,都不同程度地促进了生态承载力的发展.
3.2.3 ξ值各分量雷达图表征的生态承载力的发展演化MIEP模型将区域生态系统看作是一个充满耦合的复杂网络,连接权值表示网络中各指标与周围环境交换广义流能力的大小,对系统发展所做贡献能力的大小.为了分析洞庭湖生态经济区生态承载力发展演化状况及各指标对系统所做贡献的多少,用aki×xi描述ξ的形态,据其作雷达图,将i轴的值用直线连接起来,得到的平面图形即可表示各年生态承载力状态特征值ξ的结构形态特征(图 5).
![]() |
| 图 5 洞庭湖生态经济区生态承载力的演化过程 Fig. 5 The evolution of ecological carrying capacity in Dongting Lake Ecological Economic Zone |
整体来看,从2008年至2012年,雷达图覆盖的面积越来越增大,说明洞庭湖生态经济区生态承载力发展过程的信息交流越来越强烈,系统结构逐渐完善.2008年到2009年覆盖面积相似,说明这两年间各指标的结构状态没有发生较大变化.相比于前两年,2010年到2012年万元GDP能耗(C16)、农药施用强度(C17)、环保支出占财政比重(C18)和人均国内生产总值(C19)的较大发展使其对生态承载力的贡献变大,指标均衡度提高,促进生态承载力发展结构的完善.2010年和2012年洞庭湖生态经济区的地表水资源量(C9)、地下水资源量(C10)和人均水资源量(C11)三方面指标的较高水平使该地区生态承载力的系统结构有了明显的改善,各指标发展更均衡,生态承载力水平大幅提高.这与当地的实际情况相符,2010年和2012年洞庭湖生态经济区年人均水资源总量分别为2430.914 m3和2480.617 m3,远高于其他年份,促使这两年洞庭湖生态经济区的生态承载力达到两个较协调稳定的发展状态,从而造成2011年生态承载力水平异常发展的现象.
| 表 2 模型的预测值与实际值的对比 Table 2 The comparison of actual values and predictive values obtained from model |
由于区域生态系统是由信息作用耦合在一起形成的稳定结构模式,由其结构参量控制,如果掌握组元与ξ之间作用关系的规律后,MIEP模型也可预测生态系统的发展演化趋势.调控方法是在xi-ξ关联图上作相应延展或插值,以此再现组元相互作用的动力学过程和结构模式的演化.
为找出与洞庭湖生态经济区生态承载力发展变化关联性较高的评价指标,将根据MIEP模型的输入与输出做趋势回归分析.通过xi-ξ间的拟合关系,得到xi与ξ值的决定系数R2,发现趋势回归关联性最好的3个指标分别为地下水资源量(C10)、人均水资源占有量(C11)和教育投资占GDP比重(C22).将地下水资源量2013年的实际值带入拟合方程求得ξ为16.0059,然后根据其求得其他指标的理论值并与实际值对比后,结果如表 3所示.结果表明,指标的实际值与理论预测值之间的误差均比较小,在一定程度上证明了MIEP模型预测复杂系统的潜力.在实际工作中,通过该模型可对未来发展进行预测分析,为管理决策人员提供参考.
3.4 MIEP模型与主成分分析法的比较MIEP模型给出的是ξ值,而主成分分析法(丁扬,2014)给出的一个指数值,两种评价方法虽然不能进行数值比较,但它们对洞庭湖生态经济区2008—2012年生态承载力发展评价结果的趋势基本相同,201年生态承载力水平剧烈下降,2011—2012年间逐渐回升(图 6).二者的主要区别是本文使用的MIEP模型显示,2012年生态承载力水平超过了2010年,而主成分分析法则相反.主成分分析法依靠每个主成分的贡献率作为权重构造评价函数,但通常各主成分特征值的相差较大,使其方差贡献差别较大,无法使所有指标完全综合,主成分权重的设定带有强烈主观性,易使个别指标成为影响评价结果的决定性因素,耦合性差,因此,造成生态承载力水平受到水资源因素影响震荡较大.
![]() |
| 图 6 MIEP模型与主成分分析法的比较 Fig. 6 The comparison of MIEP and principal component analysis |
本文所使用的基于MIEP的系统动力学模型,不必预先确定各个指标的权重,在模拟过程中能自动调整各指标数据之间的耦合关系,不断进行自组织作用,克服了其他方法权重确定的主观性的缺陷;而且具有鲁棒性,更适用于复杂系统的模拟分析,可以呈现出各种复杂系统的动态演化过程.
4 结论(Conclusions)本文从复杂系统组元相互作用的角度建立了评价生态承载力发展水平的MIEP模型,并运用该模型对洞庭湖生态经济区2008—2012年的生态承载力发展情况进行了评价.结果表明,在此期间生态承载力呈总体上升的趋势,其中,2008年和2009年两年生态承载力水平基本一致,2010年呈现较明显的上升,而2011年的生态承载力剧烈下降后在2012年呈现大幅回升.ξ值各分量的雷达图揭示了洞庭湖生态经济区复杂系统的演化结构,根据其变化判断各指标贡献程度的变化,通过对指标层雷达图及准则层的分析,发现大幅波动的原因是2010年和2012年水资源方面的巨大优势使这两年资源环境承载力水平较高,从而引起生态承载力综合水平的大幅提升.根据MIEP的工作机理,对该地人均水资源占有量(C11)和教育投资占GDP比重(C22)在2013年的发展情况进行预测,发现误差较小,显示了其预测生态城市建设发展的较大潜力.最后将本文的评价结果与主成分分析法结果进行了比较,发现MIEP模型更适用于复杂系统的分析研究,更能表现其动态演化的本质.
5 建议(Recommendations)由于水资源指标更易影响洞庭湖生态经济区生态承载力综合水平,因此,当地政府应着重提高其水资源承载力,如改变传统的灌溉方式,加强节水的宣传教育和推行节水工艺等.传统工农业对环境影响较大,易造成水和大气污染,因此,转变经济发展方式有助于生态承载力的提高.同时,还要加强环保监管力度,政策落实到位才能从源头上遏制污染,提高环境质量,促进生态承载力的发展.
| [1] | Brown L R, Kane H.1994.Full House:Reassessing the Earth's Population Carrying Capacity[M].New York:Norto |
| [2] | Chai L H, Shoji M.2002.Self-organization and self-similarity in boiling systems[J].Heat Transfer, 124(3):507-515 |
| [3] | Chen J.2007.Rapid urbanization in China:a real challenge to soil protection and food security[J].Catena, 69:1-15 |
| [4] | Cuadra M, Bjorklund J.2007.Assessment of economic and ecological carrying capacity of agricultural crops in Nicaragua[J].Ecological Indicators, 7(1):133-149 |
| [5] | 邓波, 洪绂曾, 龙瑞军.2003.区域生态承载力量化方法研究述评[J].甘肃农业大学学报, 38(3):281-289 |
| [6] | 丁扬.2014.洞庭湖生态经济区生态承载力评价研究[D].长沙:中南林业科技大学.48-49 |
| [7] | 董殿波.2012.生态承载力研究进展[J].安徽农业科学, 40(5):2935-2937 |
| [8] | Du H B, Xia Q Q, Ma X, et al.2014.A new statistical dynamic analysis of ecological niches for China's financial centers[J].Physica A-Statistical Mechanics and its Applications, 395:476-486 |
| [9] | 冯綮一.2010.基于物理学新框架的生态位研究方法[D].天津:天津大学.102-109 |
| [10] | 高吉喜.2001.可持续发展理论探索-生态承载力理论、方法与应用[M].北京:中国环境科学出版社 |
| [11] | Haken H.2006.Information and Self-organization:A Macroscopic Approach to Complex Systems[M]. Berlin:Springer |
| [12] | Jaynes E T.1957.Information theory and statistical mechanics[J].Physical Review, 108:171-190 |
| [13] | Kessler J J.1994.Usefulness of the human carrying capacity concept in assessing ecological sustainability of land-use in semi-arid regions[J].Agriculture Ecosystem Environment, 48:273-284 |
| [14] | Li Y, Guo T T, Zhou J.2011.Research of ecological carrying capacity-comprehensive evaluation model[J].Procedia Environmental Sciences, 11:864-868 |
| [15] | Liu J, Diamond J.2005.China's environment in a globalizing world[J].Nature, 435(7046):1179-1186 |
| [16] | Repetti A, Desthieux G.2006.A relational indicator set model for urban land-use planning and management:methodological approach and application in twocase studies[J].Landscape and Urban Planning, 77:196-215 |
| [17] | 孙京姐, 吕建树, 于泉洲.2010.基于极大熵的山东半岛城市群水资源承载力评价[J].水资源与水工程学报, 21(1):120-127 |
| [18] | 王中根, 夏军.1999.区域生态环境承载力的量化方法研究[J].长江职业大学学报, (4):9-12 |
| [19] | Wang S, Xu L, Yang F L, et al.2014.Assessment of water ecological carrying capacity under the two policies[J].Science of the Total Environment, 472:1070-1081 |
| [20] | 韦海英, 柴立和.2007.基于最大流原理的湖泊系统富营养化新模型[J].科技导报, 25(2):54-59 |
| [21] | 夏军, 王中根, 左其亭.2004.生态环境承载力的一种量化方法研究-以海河流域为例[J].自然资源学报, 19(6):786-794 |
| [22] | 向芸芸, 蒙吉军.2012.生态承载力研究和应用进展[J].生态学杂志, 31(11):2958-2965 |
| [23] | Xu L Y, Kang P, Wei J J.2010.Evaluation of urban ecological carrying capacity:a case study of Beijing, China[J].Procedia Environmental Sciences, 2:1873-1880 |
| [24] | 杨开忠, 杨咏.2000.生态足迹分析理论与方法[J].地球科学进展, 15(6):660-636 |
| [25] | 赵军凯, 李九发, 戴志军, 等.2009.基于熵模型的城市水资源承载力研究-以开封市为例[J].自然资源学报, 24(11):1944-1951 |
| [26] | 周广胜, 张新时.1995.自然植被净第一性生产力模型初探[J].植物生态学报, 19(3):193-200 |
| [27] | 周红艺, 李辉霞.2010.区域生态承载力研究方法评述[J].佛山科学技术学院学报(自然科学版), 28(2):62-67 |
| [28] | Zhang Z, Lu W X, Zhao Y, et al.2014.Development tendency analysis and evaluation of the water ecological carrying capacity in the Siping area of Jilin Province in China based on system dynamics and analytic hierarchy process[J].Ecological Modelling, 275:9-21 |
2016, Vol. 36







