察尔汗盐湖是我国综合开发利用程度最高的一个盐湖,目前,它已成为我国最大的钾盐产地和钾肥生产基地,氯化钾的年产量占我国总产量的95%以上.在青海察尔汗盐湖产钾,最具代表性的生产工艺是冷分解-正浮选法.钾盐浮选的捕收剂大多是从天然脂肪或油类如椰子油、动物脂油、菜籽油和鱼油中提取的直链脂肪族伯胺,这类捕收剂的分子有1个由10~24个碳原子组成的疏水链和1个亲水氨基(—NH2),这些脂肪族胺中最常用的是十八胺(费文丽等,2012).由于长碳链的胺类物质很难自然降解,长期使用会在盐湖卤水中累积,不但污染了原有矿床,给高品质氯化钾的生产带来不利影响,而且给周边环境带来了严重威胁(费文丽等,2012;张义勇等,2012;宋兴福等,2011).因此,对于十八胺进行有效去除的研究显得尤为重要.梅光军等(2009)采用UV/H2O2/air氧化法处理十八胺取得了良好的效果,但该方法成本高,处理过程也相当繁杂.因此,需要寻找更为低廉、高效的处理方法.
凹凸棒(Attapulgite,ATT),又名坡缕石(Palygorskite),具有链式向层状过渡性的独特结构,该矿石是一种含水富镁铝硅酸盐粘土矿物,矿物学上隶属于海泡石族.凹凸棒石具有内孔道发达和比表面积较大的特点,具有很好的吸附作用,可以作为良好的吸附剂(唐源清,2004).凹凸棒石粘土是一种链层状的富镁铝纳米级硅酸盐粘土,其结构属2 ∶ 1型粘土矿物,分为3层,上下两层是Si—O四面体,中间一层是(A1,Mg,Fe)—O—OH八面体.凹凸棒石粘土含有大量的结构羟基,如Si—OH、Mg—OH和Al—OH等.由于其结构中存在着A13+对Si4+,以及Fe2+和Mg2+对A13+或Si4+等产生同晶置换现象(牛智伟等,2012),形成了铝凹凸棒石和铁凹凸棒石等变种,故晶体中含有不定量的Na+、Ca2+、Fe3+和A13+等,而各种离子替代的综合结果使凹凸棒石常常带少量的永久性的负电荷,因此,凹凸棒石粘土具有很强的物理和化学吸附能力.
吸附法是一种操作简单、吸附容量大和无二次污染等优点的方法,因此,课题组拟尝试利用吸附法进行十八胺的去除.目前关于对十八胺进行吸附处理的研究报道不多也不够细致,且大部分研究采用树脂进行吸附,研究不够深入且成本较高(丁桓如等,2001).因此,本研究拟采用X射线衍射、傅里叶红外变换光谱和扫描电镜对天然凹凸棒石粘土的结构进行表征,考察不同条件下凹凸棒石粘土对十八胺吸附效果的影响,并进行动力学和热力学研究,以期为实际应用提供基础理论数据.
2 实验部分(Experimental section) 2.1 材料与试剂材料:十八胺、三氯甲烷、甲基橙、氯仿、异丙醇、乙酸和乙酸钠等,以上试剂均为分析纯.
仪器:KQ-250DV型数控超声清洗器(昆山市超声仪器有限公司)、TU-1901双光束紫外可见分光光度计(北京普析通用仪器有限公司)、BSA224S-CW电子天平(赛多利斯科学仪器有限公司)、IKA KS 4000i控温摇床(成都智诚科灵仪器仪表有限公司)、pH计(PB10赛多利斯科学仪器有限公司)、微量进样器(上海髙鸽工贸有限公司)、台式高速离心机(H1850 cence 湘仪)、傅里叶红外光谱仪(Tensor 27德国布鲁克光谱仪器公司)、扫描电子显微镜(X-650 日本日立公司)和X射线衍射仪(Rigaku.D/max 2500日本理学公司).
2.2 实验方法 2.2.1 十八胺溶液的配置在80 ℃水浴下加热熔融十八胺,用盐酸酸化后再用双蒸水配成100 μg · mL-1的储备液,使用时再配置成不同浓度的工作液. 2.2.2 吸附实验 采用静态批实验法,取一定量的凹凸棒石粘土储备液和十八胺溶液于聚乙烯离心管中,通过微量进样器添加HCl或NaOH溶液来调节pH值,并置于恒温振荡摇床上振荡24 h,此时吸附反应达到平衡,在8000 r · min-1下离心30 min.取一定量的上层清液,采用分光光度法在波长424.50 nm处测定上清液中十八胺的含量.
2.2.3 数据处理十八胺吸附率Y的计算见式(1),吸附容量Qe的计算见式(2).
式中,C0为十八胺的初始浓度(mg · L-1);Ce吸附平衡时十八胺浓度(mg · L-1);V为溶液总体积(mL);m为吸附剂的质量(g).
3 结果与讨论(Results and discussion) 3.1 样品表征 3.1.1 SEM分析图 1为凹凸棒石在扫描电子显微镜下的扫描图谱.凹凸棒石的显微结构包括3个层次:一是凹凸棒石的基本结构单元,即棒状单晶体,简称棒晶;二是由棒晶紧密平行聚集而成的棒晶束;三是由棒晶及棒晶束间相互聚集而形成的各种聚集体(王翠等,2014).由图 1可知,实验所用凹凸棒石呈现针棒状,并互相交织形成“柴垛”状结构.
![]() |
| 图1 凹凸棒石的扫描电子显微镜照片 Fig.1 SEM image of attapulgite |
图 2为凹凸棒石的红外光谱图,其中,3622 cm-1、3561 cm-1处分别为Al—OH、Fe—OH的吸收峰;在1639 cm-1附近的吸收峰是水的弯曲振动吸收峰;在1017 cm-1 附近存在强峰,这个峰属于Si—O的伸缩振动吸收峰;在800 cm-1附近的吸收峰对应为Si—O—Al的伸缩振动;在474 cm-1左右的峰对应为Si—O—Si的弯曲振动(Giustetto et al., 2005; Boyd et al., 1988; Xu et al., 1994; Potgieter et al., 1996).
![]() |
| 图2 凹凸棒石的FT-IR分析 Fig.2 FT-IR spectra of attapulgite |
图 3 为实验所选凹凸棒石的XRD分析图谱.其中,在2θ=8.20°、19.70°、27.50°、34.60°和42.30°处是凹凸棒石的特征衍射峰;在2θ=19.70°和27.50°处出现的是石英的特征衍射峰,表明凹凸棒石矿样含少量石英杂质;在2θ=16.4°、50.3°和61.44°处为蒙脱土的特征衍射峰.表明所选凹凸棒石存在蒙脱土和石英等其他共生矿物(Cao et al., 1996).
![]() |
| 图3 凹凸棒石XRD图 Fig.3 XRD pattern of attapulgite sample |
图 4显示了凹凸棒石初始浓度对十八胺吸附的影响,可以看出,随着吸附剂浓度的增加,吸附率逐渐增大.其原因是吸附剂浓度增大,吸附位点的数量增多,十八胺可与较多的表面吸附位点结合,因而吸附率增大.其中,吸附容量则随着吸附剂浓度的增加而逐渐降低,原因可能是在吸附质浓度一定的情况下,虽然吸附剂浓度增加,但可吸附的十八胺的量是一定的,因而吸附率增加,而吸附容量却是降低的.
![]() |
| 图4 凹凸棒石的初始浓度对十八胺吸附的影响(T=(293±2) K, pH=3.5±0.2, C十八胺(initial)=0.4 mg · L-1) Fig.4 Adsorption of octadecylamine on attapulgite as a function of solid-to-liquid ratio |
从图 5可以看出,十八胺的吸附率随时间的延长而上升,在2.5 h后上升曲线逐渐趋于平缓,说明凹凸棒石对十八胺的吸附在2.5 h左右达到平衡.为了更好地探索凹凸棒石对十八胺的吸附动力学机理,应用吸附动力学准二级方程(3)对数据进行分析.
![]() |
| 图5 吸附时间对十八胺吸附的影响(T=(293±2) K, pH=3.5±0.2, C十八胺(initial)=0.4 mg · L-1) Fig.5 Effect of time on the adsorption of octadecylamine |
式中,qt和qe 分别为吸附t时和平衡时的吸附量(mg · g-1),t为吸附时间(h),k为吸附速率常数(g · mg-1 · h-1).
以时间为横坐标,t/qt为纵坐标做拟合曲线,结果如图 6所示.相关动力学参数如下:qe=107.643 mg · g-1,k=0.019 g · mg-1 · h-1,R2=0.9930,表明准二级动力学模型能够很好地拟合十八胺在凹凸棒上的吸附动力学.
![]() |
| 图6 凹凸棒石吸附十八胺的准二级动力学方程 (T=(293±2) K, C十八胺(initial)=1.6 mg · L-1, pH=3.5±0.2, 吸附剂浓度=0.006 g · L-1) Fig.6 The pseudo-second-order equation of octadecylamine kinetic adsorption on attapulgite |
从图 7可知,pH值对凹凸棒石吸附十八胺有影响.当pH值为3左右时,吸附率最低;随着pH值的增大吸附率也随之增加,当pH值在8~10时吸附率达到最大值;随后吸附率稍微变动但幅度不大.这是因为在较低的pH值范围内,十八胺主要以离子态形式存在,而且H+对十八胺在凹凸棒上存在竞争吸附,因此,随着pH值的增大,吸附容量增加明显.当pH值在8~10时,凹凸棒的吸附性能最好,十八胺的吸附容量最大,表明凹凸棒更适合在中性偏碱性条件下吸附十八胺.
![]() |
| 图7 pH值对凹凸棒吸附十烷胺的影响 (T=(293±2) K,C十八胺(initial)=1.6 mg · L-1,吸附剂浓度=0.006 g · L-1) Fig.7 Effect of pH on octadecylamine adsorption to attapulgite |
在不同温度下十八胺的吸附等温线如图 8所示.由图 8可知,随着溶液中十八胺浓度的增加,吸附在凹凸棒石上的十八胺增多,并且可以明显看出,随着温度的升高,有利于十八胺在凹凸棒石表面上的吸附,说明十八胺在凹凸棒石上吸附是吸热的过程.
![]() |
| 图8 十八胺在3种不同温度下的吸附等温线 (pH=3.5±0.2, 吸附剂浓度=0.006 g · L-1) Fig.8 Sorption isotherms of octadecylamine on attapulgite |
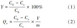
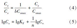
用Langmuir模型(式(4))和Freundlich 模型(式(5))对不同温度下十八胺在凹凸棒石上吸附进行拟合,相关参数见表 1.结果表明,十八胺在凹凸棒石上吸附符合Langmuir 模型(图 9),为单层吸附.由Langmuir吸附模型拟合结果可知,凹凸棒石吸附十八胺的最大吸附量为0.535 mmol · g-1(293 K).
| 表1 不同温度下Langmuir 和Freundlich模拟的拟合参数 Table 1 Parameters for Langmuir and Freundlich isotherms at different temperatures |
![]() |
| 图9 不同温度下十八胺在凹凸棒石上吸附的Langmuir 模型拟合 (pH=3.5±0.2, 吸附剂浓度=0.006 g · L-1) Fig.9 Langmuirsorption isotherms of octadecylamine sorption on attapulgite |
式中,Ce为平衡时液相十八胺的浓度(mmol · L-1),Cs为平衡时固相上吸附十八胺的含量(mmol · g-1),Csmax 为十八胺在固相上的最大吸附容量(mmol · g-1),KF为吸附反应平衡常数(mol1-n · Ln · g-1),n 为Freundlich常数.
3.2.5 凹凸棒石对十八胺的吸附热力学特征十八胺在凹凸棒石上的吸附相关热力学函数ΔHθ、ΔGθ、ΔSθ可以由在不同温度下的吸附等温线(图 10)得到,其计算公式如下:
![]() |
| 图10 十八胺在凹凸棒石上吸附的热力学参数评价 (pH=6.0±0.1,吸附剂浓度=2.4 g · L-1) Fig.10 Thermodynamic parameters for octadecylamine sorption on attapulgite |
由吸附等温线可以得出表 2中的数据,由表 2可知,ΔHθ>0,表明十八胺在凹凸棒石上的吸附是一个吸热过程;ΔGθ<0,表明十八胺在凹凸棒石上的吸附过程为自发过程,高温更有利于十八胺在凹凸棒石上的吸附.
| 表2 十八胺在凹凸棒石上的吸附热力学参数 Table 2 Thermodynamic data of octadecylamine on attapulgite at different octadecylamine intial solution concentrations |
十八胺在凹凸棒石上的吸附符合准二级动力学方程,且受pH值影响强烈,中性偏碱性环境更有利于凹凸棒石对十八胺的吸附.十八胺在凹凸棒石上的吸附符合Langmuir吸附等温线模型,表明这些吸附过程为单分子层吸附且吸附过程为自发吸热过程.
| [1] | Boyd S A, Lee J F, Mortland M M.1988. Attenuating organic contaminant mobility by soil modification[J].Nature,333: 345-347 |
| [2] | Cao E, Bryant R, Willianms D J A.1996.Electrochemical properties of Na-palygorskite[J].J Colloids Interf Sci,179: 143-150 |
| [3] | 丁桓如,龚云峰,闻人勤,等.2001.烷基十八胺在离子交换树脂上的吸附及影响研究[J].离子交换与吸附,17(4): 326- 332 |
| [4] | 费文丽,李贵林.2012.大孔树脂吸附法处理卤水中钾盐浮选捕收剂十八胺[J].化工矿物与加工,(4): 17-20 |
| [5] | Giustetto R,Xamena F X L, Ricchiardi,et al.2015.Maya blue: a computational and spectroscope study[J]. J Phys Chem B,109: 19360-19368 |
| [6] | 梅光军,李莹雪,夏洋.2009.脂肪胺浮选捕收剂的光化学降解[J].北京科技大学学报, 31(9): 1100-1114 |
| [7] | 牛智伟,范桥辉,潘多强,等.2012.U(Ⅵ)在Na-凹凸棒石黏土上的吸附[J].核化学与放射化学,34 (5): 297-304 |
| [8] | Potgieter J H, Potgieter-Vermaak S S, Kalibantonga P D.2006. Heavy metals removal from solution by palygorskite clay[J].Miner Eng,19: 463-470 |
| [9] | 宋兴福,顾启东,汪瑾,等. 2011.烷基吗啉在氯化钠和氯化钾表面的吸附[J].化工学报,62 (2):439-443 |
| [10] | 唐源清.2004.凹凸棒石粘土矿研究现状综述[J].甘肃冶金,26(2):83-85,90 |
| [11] | 王翠,汪茜,王春杏,等.2014.SDS/凹凸棒土对水中碱性黄的吸附剂及性能[J].环境科学与技术, (6): 49-54 |
| [12] | Xu S,Boyd S A.1994.Cation exchange chemistry of hexadecyltrimethylammonium in a subsoil containing vermiculite[J].Soil Sci Soc Am J,58:1382-1391 |
| [13] | 张义勇,史忠录,赵玮,等.2012.察尔汗盐湖钾肥的生产工艺比较[J].气相色谱仪,41 (1): 26-28 |
2016, Vol. 36










