2. 铜陵学院工商管理学院, 铜陵 244000
2. School of Business Administration, Tongling University, Tongling 244000
随着工业化和城镇化的发展,尤其是新型城镇化的推进,中国经济已进入一个快速而稳定的发展时期,区域资源环境承载力也随之变化,不仅仅是人口承载力,特别是在资源-人口-环境等问题日益加剧的背景下,区域资源环境承载力备受关注(姜秋香等,2011;任守德等,2011;刘惠敏,2011;马琼等,2014).
评价承载力是识别影响承载力关键因素(王书华等,2011),也是提高承载力水平的重要途径,能为区域掌握其承载力现状并提高承载力水平提供理论支撑和现实依据.
有关区域资源环境承载力的研究始于“土地承载力”,该概念起源于人类生态学,是一种扩展的“生态承载力”,国外学者Vogt认为土地承载力可以表示为土地能够提供的食物与环境阻力的比值.20世纪70年代以后,相继出现了基于资源的土地承载力、潜在人口支撑力、基于资源-人口-环境的土地承载力等方面的研究,并逐渐开始考察和关注区域资源环境承载力.鉴于区域资源环境承载力的多目标性和复杂性,如何找寻一种较为合理的区域资源环境承载力评价方法并展开实证研究成为当前重要的研究课题,学者们对此进行了探讨.费良军等(2008)通过关注土地整理工程承载力,并结合陕西省展开研究,认为土地整理工程能够缓解区域生态压力;刘静暖等(2014)基于原生态承载力理论,从粮食、生态和人口测算了中国自1949年共51 a的区域资源环境原生态承载力,结果发现,其自然力衰减到极点;漆良华等(2007)立足四川宜宾,运用区域资源环境承载力预测模型对该市未来10 a的情况进行研判,研究表明,该市资源环境承载力水平呈上升趋势;罗雁文等(2009)通过评价和预测湖南省各州市区域资源环境承载力,指出湖南省负荷超载地区可能会增加;陈珏等(2011)运用聚类分析法研究发现,黑龙江省区域资源环境承载力存在空间分异的特征,并对影响承载力的障碍进行了深入分析;彭立等(2012)以攀枝花和六盘水为例,比较分析了它们的人口承载力,研究认为粮食人口承载力不是其关键因素;高新才等(2010)立足黑河流域,预测了该流域承载力的发展趋势,指出提高土地利用率等措施能够提高承载力;高洁宇等(2013)通过评估恩施的资源环境承载力,认为科学选择建设用地是提高承载力的有效途径;姬艳梅等(2011)通过考察陕北地区土地利用与生态承载力的关系,结果发现,土地利用率对生态承载力具有正向作用;刘东等(2011)通过分析中国解放以来近60年的粮食生产特征,指出粮食生产对承载力具有较大影响.此外,在研究方法上,学者们多采用层次分析法(陈海波等,2013)、系统动力学模型(祝秀芝等,2014)、生态足迹(许月卿,2007)、粒子群优化投影寻踪模型(姜秋香等,2011)、空间回归分析(孙钰等,2013)和状态空间法(许联芳等,2009)等.在研究区域上,也多关注重点城市和重点地区(苟延农,2012;孙久文等,2007;尹新哲等,2013;黄宁生等,2000),对安徽省资源环境承载力的研究很少.
综上所述,现有成果完善了承载力评价指标体系,丰富了其评价理论,较好地指导了承载力提升的实践活动.但可能存在以下不足:既有研究或是在方法上有一定的主观性,可能过多由决策者主观判断,或是计算方法和过程较为复杂,或是忽视了不同指标属性和地位,而TOPSIS模型具有能够进行横向、纵向对比分析且计算简单的优点,熵权根据指标原始数据获得权重,客观真实.鉴于此,本文通过构建基于熵权的TOPSIS模型,并对安徽省2000—2013年的资源环境承载力展开实证研究,据此分析评价结果,以期为区域资源环境承载力评价提供方法支撑和现实依据.
2 区域资源环境承载力评价指标体系构建 (Development of evaluation index system of regional resources and environment carrying capacity)影响区域资源环境承载力的因素很多,自Parke和Burgess(1921)提出承载力的概念以来,国内外学者从区域资源环境承载力评价指标体系构建着手展开研究,并取得了一定的研究成果.Vogt 从土地能养活的人口数量和提供的食物总量两方面构建了土地负载能力评价模型(Vogt,1949);Alan提出了包含土地总面积、耕地面积等在内的区域资源环境承载力计算公式(Alan,1965).鉴于上述研究考虑的因素较少,自20世纪70年代以后,有国外学者立足澳大利亚实际,构建了区域资源环境承载力评价指标体系,该体系综合考虑了土地、水、气候、能源等因素(Millington,1973);联合国粮农组织通过测算每公顷土地能承载的人口数量,在梳理人口、资源和发展关系的基础上,以土地利用率及潜力为切入点构建区域资源环境承载力评价指标体系(FAO,1977);20世纪80年代早期,Slessor在联合国教科文组织的帮助下,考虑人口、资源、环境与经济发展的关系,构建了区域资源环境承载力的ECCO模型(UNESCO,1985).此后,区域资源环境承载力的研究在中国盛行,并将评价指标体系的构建从最初的土地资源扩大到环境资源和土地等自然资源,逐步完善指标体系.近10年来的研究如表 1所示.
| 表1 国内有关区域资源环境承载力评价指标体系的研究 Table 1 Overview of regional resources and environment carrying capacity evaluation index system in China |
综上所述,在区域资源环境承载力评价指标体系构建问题上,中国学者更加关注且相对完善.“区域资源环境承载力”是一个复杂的概念,要综合考虑载体和承载物(王书华等,2011),资源-环境-经济三大系统相互作用,相互影响如图 1所示.
![]() |
| 图1 资源-环境-经济系统作用关系 Fig.1 Interactions among resource,environment and economy |
从图 1来看,经济系统必须依靠各种资源的支撑来发展,其对资源的消耗必将给大气、土壤和水环境造成影响;当经济社会发展给环境承载带来的压力超限(如环境遭受污染等),环境将产生反作用力,限制经济社会可持续发展;当经济社会发展过程中增加环保要素(如环境治理、环保意识)的投入,必将有效改善并提高环境承载力;当资源系统发掘新资源,也将提高资源承载力.
由此可见,资源系统提供人类生存和发展所必需的各种资源,资源承载力是环境承载力的基础;资源的开发利用必将引起环境的变化,且人类在消耗自然资源的同时必然会向环境系统排除大量的废弃物,而环境系统对这些废弃物的承载能力是有限的,所以环境承载力就构成了资源环境承载力的约束条件(邱鹏,2009).因此,初步认为可以从两个方面来考察资源环境承载力:一是资源系统、环境系统的支撑能力,即资源、环境可供养的人口数量和能承受的社会经济总量等因素;二是资源系统、环境系统压力部分,即社会经济活动对资源、环境产生的污染与破坏(秦成等,2011;邓伟,2012;王振波等,2013).深入分析发现,从可持续发展战略和促进经济与资源、环境协调发展的高度看,区域资源环境承载力高低与区域经济的发展有着密切联系,经济发展水平是影响资源环境承载力高低的主要因素(何宜庆等,2012).据此,本文认为,资源环境承载力指资源系统、环境系统能够承载的人口数量和相应的经济社会总量的能力,以及由于经济社会发展水平的提高对资源优化、环境降压与保护的能力之和.
结合表 1可以发现,国内学者在区域资源环境承载力评价指标方面考虑的因素主要集中在水土资源、经济、社会、生态等方面,特别是2010年以后,学者们的观点较为一致.根据本文提出的资源环境承载力的含义,结合研究区域实际,立足已有研究成果,借鉴联合国粮农组织的评价思路和框架(FAO,1977),拟从经济发展力、资源承载力、环境承载力3个方面构建指标体系.上述三大系统既相互独立,又相互联系,共同反映区域资源环境承载力状况.其中,经济发展力主要考察区域经济实力、产业结构和人们生活水平,构成了区域资源环境承载力的经济资源基础;资源承载力主要考察资源对区域经济社会发展的支撑以及经济社会发展对资源的利用与消耗情况;环境承载力主要考察区域经济社会发展过程中对环境的污染与治理情况,具体指标体系见表 2.
| 表2 区域资源环境承载力评价指标体系 Table 2 Evaluation index system of regional resources and environment carrying capacity |
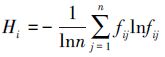
从熵的概念可知,依托决策信息量可以提高决策精度,熵在多目标决策与评价中是一个非常理想的尺度(雷勋平等,2012).在搜集和掌握指标评价原始数据后,据此确定权重,能客观真实地反映指标数据中的隐含信息,提高指标的分辨率,避免因指标差异过小导致的选择偏差,故能全方位地反映指标信息.熵权是表征指标竞争相对激烈程度,一般而言,指标熵越大,熵权越小,表示该指标越不重要;反之亦然.熵权的具体求解在3.2.2节详细介绍.
TOPSIS 模型即为“逼近理想解排序方法”,它是系统工程中常用的决策技术,主要用来解决有限方案多目标决策问题,是一种运用距离作为评价标准的综合评价法(李灿等,2013).通过定义目标空间中的某一测度,据此计算目标靠近/偏离正、负理想解的程度,可以评估区域资源环境承载力,且能够全面客观地反映区域资源环境承载力的动态及变化趋势.
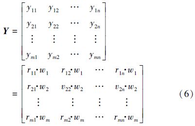
3.2 基于熵权TOPSIS的区域资源环境承载力评价模型 3.2.1 标准化评价矩阵构建设区域资源环境承载力问题的原始评价指标矩阵为:
要得到标准化评价矩阵,可以采用归一化方法对原始数据进行处理,对于收益(越大越好)指标,处理方法见公式(2),对于成本(越小越好)指标,处理方法见公式(3),故得到标准化矩阵(式(4)).
熵权法能有效兼顾指标Ci的变异程度,客观反映其重要性,熵权计算公式为:
,称为信息熵;
,称为指标的特征比重;ln0=0.
3.2.3 基于熵权的评价矩阵构建为进一步提高区域资源环境承载力评价矩阵的客观性,借助加权思想,运用熵权wi构建加权规范化评价矩阵 Y,具体计算公式为:
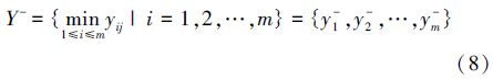
设Y+为评价数据中第i个指标在j年内的最大值,即最偏好的方案,称为正理想解;Y-为评价数据中第i个指标在j年内的最小值,即最不偏好的方案,称为负理想解,其计算方法见公式(7)、(8).
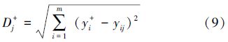
距离计算的方法较多(李海东,2014),本文采用欧氏距离计算公式.令Dj+为第i个指标与yi+的距离,Dj-为第i个指标与yi-的距离,计算方法见公式(9)(10).
令Tj为第j年资源环境承载力接近最优承载力的程度,一般称为贴近度,其取值范围介于[0,1],Tj越大,表明该年资源环境承载力越接近承载力最优水平.当Tj=1时,资源环境承载力最高;当Tj=0时,资源环境承载力最低.本文以贴近度表示资源环境承载力大小,根据每年的贴近度大小可以判断资源环境承载力的高低,确定优劣顺序,计算方法见公式(11).
实证研究的对象是安徽省,Ci源自安徽2001—2014年的统计年鉴、统计公报、环境状况公报等,运用基于熵权TOPSIS模型进行实证研究,可以解释模型的应用价值,也可以为其他省市评估和提高资源环境承载力水平提供理论依据与实践指导.
4.1 实证计算过程 4.1.1 各项指标权重的确定在对原始数据运用公式(2)、(3)进行归一化的基础上,采用公式(5)确定各指标的权重,具体结果见表 3.
| 表3 安徽省资源环境承载力评价指标权重 Table 3 Evaluation index weight of regional resources and environment carrying capacity in Anhui Province |
结合表 3的数据和标准化矩阵,计算得到加权规范化矩阵 Y .
先根据公式(7)、(8)确定正、负理想解,然后运用公式(9)、(10),结合加权规范化矩阵,求得2000—2013年安徽省资源环境承载力靠近/偏离正、负理想解的距离,具体见表 4.
| 表4 安徽省资源环境承载力靠近/偏离正、负理想解的距离(2000—2013年) Table 4 Distance of regional resources and environment carrying capacity deviated from positive and negative ideal solution in Anhui Province(2000—2013) |
根据公式(11),结合表 4数据,求得安徽省2000—2013年的资源环境承载力贴近度,结果见表 5.
| 表5 安徽省资源环境承载力贴近度(2000—2013年) Table 5 Regional resources and environment carrying capacity in Anhui province(2000—2013) |
通过4.1节的计算,已得到安徽省2000—2013年的资源环境承载力大小,为了更加深入分析和描述安徽省资源环境承载力变化趋势及原因,进一步计算4个承载子系统的资源环境承载力,据此分析安徽省及各子系统资源环境承载力的特征和动态演化趋势,具体变化见图 2.
![]() |
| 图2 安徽省资源环境承载力(2000—2013年) Fig.2 Regional resources and environment carrying capacity in Anhui province(2000—2013) |
从图 2可以看出,在2000—2013年间,安徽省资源环境承载力基本呈上升趋势.具体来看,2000—2005年处于安徽省资源环境承载力处于平稳并略微下降的趋势,深入分析发现,2000—2005年安徽省资源环境呈现以下特点:一是资源供需矛盾日益凸显,使得人均资源占有量有所下降,如人均耕地面积逐年减少,从2000年的1.01亩 · 人-1下降到2005年的0.94亩 · 人-1;二是人口密度越来越大,从2000年的450人 · km-2上升为2005年的464人 · km-2,也使得人均水资源量不断下降.由此可见,上述特点的累计效应对资源环境承载力造成了较大的负面影响,致使安徽省资源环境承载力呈略微下降态势.但自“十一五”以来,资源环境承载力逐步增强,并达到了较高水平,2013年承载力指数达到0.6718,比2000年提高了90%以上.究其原因,该成绩的取得一方面得益于节能减排、污染治理、废物利用等方面的技术进步,提高了资源的综合利用率,减轻了环境的压力,如2000—2013年间,万元工业增加值用水量和单位地区生产总值能耗平均下降速度分别为17.99%和3.40%,工业固体废物综合利用率年平均提高87.38%;二是得益于安徽省一系列有关节能减排政策措施的出台,特别是2010年以来的系列政策文件,如《安徽省合同能源管理项目财政奖励资金管理实施细则》、《安徽省节约能源条例》、《安徽省节能监察办法》和《安徽省单位GDP能耗监测体系实施方案》等,使得安徽省万元GDP用电量、单位工业增加值废气排放量、万元工业增加值废水排放量均呈现不同程度的下降态势,使得安徽省在资源、环境、经济社会等方面取得了较大突破与进展,故安徽省资源环境承载力明显提高,且处于较快的增长态势.
4.2.2 子系统承载力分析1)经济系统发展力
该子系统发展力呈逐年上升趋势(图 2).经济发展是一把双刃剑,一方面随着经济社会发展速度的加快,必将消耗更多资源,也势必对环境造成一定的污染;另一方面,随着经济发展水平的提高,势必会提供更多的经济资源,可以用于环境改善、污染治理、节能减排等方面,提高区域资源环境承载力.
从图 2来看,安徽省经济发展力从2000年的0.04251上升到2013年的0.99524,说明经济发展发展力几乎达到最优水平,也表明安徽省经济实力明显增强,对资源环境承载力提供了较为丰富的经济资源.期间,安徽省赶上了一些重大机遇,如中部崛起、承接产业转移、东向发展等,产业结构日益优化,工业化和城镇化进程逐步推进,科学技术快速发展,从追求经济发展规模逐渐转移到追求经济发展质量,人均GDP、第二、三产业总产值占GDP的比重、城镇化水平等指标值逐年上升.2000—2013年,考察期间城镇居民人均可支配收入年均增长109.79%,农民人均纯收入年均增长109.32%,城镇化水平年均增长97.41%.经济发展力的稳步提升特别是提质增效的经济发展思路,在一定程度上减少了资源浪费,提高了资源的利用率,同时也降低了经济活动对环境的压力,因此,安徽省经济发展力逐年提升.2000—2008年,区域资源环境承载力水平高于经济发展力,2009年以后,区域资源环境承载力水平低于经济发展力水平,但仍然基本呈逐年上升趋势.由此表明,经济发展力水平对安徽省资源环境承载力的贡献大于其对资源环境承载力的负面影响,为安徽资源环境承载更多的人口奠定了坚实的经济基础.
2)资源承载子系统承载力
从图 2来看,该子系统承载力波动起伏,总体变化幅度小,但总体基本呈“V”型曲线.其中,2000年承载力水平最高,达到0.52056,2007年承载力水平最低,仅为0.34070.从该子系统内部来看,人均耕地面积、人均水资源量、人口密度和万元GDP用电量4个指标起到负面作用,单位地区生产总值能耗、万元工业增加值用水量和万人拥有卫生机构床位数3个指标起到正向作用,如单位地区生产总值能耗从2000年的1.181 t · 万元-1(以标准煤计)下降到2013年的0.695 t · 万元-1(以标准煤计),万元工业增加值用水量从2000年的414.96 m3 · 万元-1下降到2013年31.51 m3 · 万元-1,万人拥有卫生机构床位数由2000年的19.73张增加到2013年的39.13张,而万元GDP用电量从2000年的2.13×104 kW · h · 万元-1上升到2013年的8.18×104 kW · h · 万元-1,还有人均耕地面积和人均水资源量逐年下降、人口密度逐年上升等.综上,该系统内部7个指标的共同作用,使得该子系统承载力波动起伏,同时也表明安徽省系列节能减排的政策发挥了一定的作用.
3)环境承载子系统承载力
除2009年外,该子系统均呈逐年上升趋势(图 2),在2013年达到最大值0.98106.从该子系统内部来看,2000—2013年,森林覆盖率从2004年的21.88%增加到2013年的27.53%,建成区绿化面积比例从26.8%增加到38.91%,污染治理投资额从61054.2万元增加到339135万元;工业固体废物综合利用率、工业污染治理投资额、建成区绿化覆盖率和森林覆盖率年均增长率分别为87.38%、131.19%、93.81%和86.25%,单位工业增加值废气排放量和万元工业增加值废水排放量分别从2000的7.775 Nm3 · 元-1、124.38 t · 万元-1下降到2013年的3.277 Nm3 · 元-1、8.21 t · 万元-1.这些成绩的取得归功于安徽省在“十五”初对生态建设和环境保护的重视和节能工程的成功实施,加之安徽省委省政府节能减排实施方案的制订与颁布,使得环境承载子系统承载力逐年上升.
3.3 资源环境承载力关键因素分析运用灰色关联分析,采用邓氏关联度,计算安徽省资源环境承载力与各指标(C1~C18)的关联度,结果发现,C15(工业固体废物综合利用率)、C9(单位地区生产总值能耗)、C14(万元工业增加值废水排放量)和C1(人均GDP)4个因素对安徽省资源环境承载力的影响相对较大.深入分析发现(图 3a),万元工业增加值废水排放量逐年减少,年均减少率达99.48%,2013年排放量仅为2010年的6.60%;工业固体废物综合利用率逐年增加,年均增长率达87.38%,2013年的利用率为2000年利用率的1.17倍.由此可见,C15(工业固体废物综合利用率)和C14(万元工业增加值废水排放量)两个指标对安徽省环境承载子系统承载力作用明显,也促进了安徽省资源环境承载力的提升.
![]() |
| 图3 安徽省资源环境承载力关键因素变动情况 Fig.3 Key factors of changes in regional resources and environment carrying capacity in Anhui province |
从图 3b来看,2000—2013年,安徽省人均GDP增长了5.63倍,人民生活水平日益改善,为安徽省资源环境承载奠定了经济基础,极大程度地促进了安徽省资源环境人口承载力的提升,从而使得安徽省资源环境承载力提升明显.从图 3b还可以发现,2000—2013年,C9(单位地区生产总值能耗)逐年降低,年平均降低比率达到93.40%,2013年仅为2000年的一半,极大程度地减轻了资源环境压力,也因此促进了安徽省资源承载子系统的承载力,进而对安徽省资源环境承载力的提升起到了一定的促进作用.
4 结论(Conclusions)1)从安徽省资源环境承载力整体水平来看,2000—2004年略呈下降趋势,2005—2013年上升较明显,14 a间的承载力平均增长率为5.13%,研究结果表明,安徽省各个时期的环境保护政策、节能减排措施、空气质量监测与预警及企业有关污染物排放与处理等技术的改进,在资源节约与综合利用、环境保护与污染治理等方面起到了较为积极的作用,尤其是安徽省“十五”时期经济发展方式的转变、《安徽省土地利用总体规划》的制定,均极大程度地促进了安徽省资源环境承载力水平的整体提升.
2)从各子系统承载力来看,各子系统水平变化趋势不尽相同.其中,经济子系统发展力水平逐年提升,与资源环境承载力变化趋势基本一致,为安徽省环境资源承载力的提升奠定了坚实的经济基础,也表明经济子系统发展力是资源环境承载力的重要构成部分;资源子系统变化较为平稳,2000—2007年基本呈下降趋势,且2007年该子系统承载力为最低水平0.34070,总体略呈“V”型趋势;环境子系统承载力(除2009年外)整体水平呈逐年上升趋势,且2008年以前上升速度较快,2008年以后上升速度略有降低,2013年达到0.98106,几乎接近最优承载力水平.
3)运用灰色关联分析法研究发现,工业固体废物综合利用率等4项关键指标对区域资源环境承载力影响明显,节能降耗、转变经济发展方式(如发展节水农业、治理污染、土壤修复和水利建设等)、调整优化产业结构、改善城乡居民生活等有利于促进资源环境承载力水平提高,而在发展经济时,应减少工业废水排放、降低单位地区生产总值能耗,以此加强对生态环境的保护.分析关键因素时还发现,工业污染治理投资额、建成区绿化覆盖率和森林覆盖率有效推动了安徽省资源环境承载力水平提升,环境子系统承载力水平变化应该予以重点关注,但是,在资源-环境-经济之间矛盾凸显的压力下,提高工业固体废物综合利用率、节能减排、保护环境是提升区域资源环境承载力水平的主要因素.
5 政策建议(Policy suggestions)综上,为了提高安徽省资源环境承载力,要重点关注资源环境与承载力的关系,从某种意义来讲,承载力就是资本投入的函数.因此,提高建设用地效率,消除鬼城空城及低产出或闲置园区,盘活城乡闲置土地置换,推进企业节能减排,发展低碳交通,促进排放低碳化等提高区域环境资源承载力的有效措施.具体来讲,应做好以下工作:第一,要创新政府服务职能,通过推进安徽新型城镇化进程,扩大基本公共服务覆盖范围,提高公共服务水平,实现公共服务均等化,扩大经济活动容量;第二,要深入贯彻安徽省《关于实施创新驱动发展战略进一步加快创新型省份建设的意见》,加强技术创新力度,从产业结构、技术和社会生活等方面实施节能减排,特别是加大重点领域节能改造的跟踪与服务力度,形成资源优化与节能环保的产业链条;第三,要大力发展循环经济和低碳经济,进一步完善并推广循环经济“铜陵模式”,实现工、农业固体废物无害化、减量化和资源化;第四,要调整优化产业结构,皖北地区要依托合芜蚌自主创新试验区,抓紧建立一批智能制造产业示范园区,皖南要依托皖南国际旅游文化示范区,大力发展文化旅游业,皖江地区要依托皖江城市带承接产业转移示范区,在有序承接产业转移过程中优化产业结构.
本文主要从时间上纵向考察了安徽省资源环境承载力变化,鉴于承载力是一个动态的概念,一定的技术水平(如科技创新等)和资源利用方式(如循环经济等)对某一时点的承载力具有决定性作用.如传统农业与精准农业、土地粗放式利用与集约化利用、传统农业用水模式与节水农业模式等,后者都将不同程度地增强区域资源环境承载力,这也体现本研究具有一定的局限,且对本文纵向比较具有较大的启发和借鉴.因此,在今后的研究中,将更加关注在同一时点下不同区域资源环境承载力的横向比较,综合兼顾科技、文化、人文等软要素的影响,进一步考察区域资源环境承载力的空间差异,据此按照承载力高、中、低对各比较区域进行划分,以便提出更具操作性和针对性的政策建议.
| [1] | Alan W.1965.The African Husbandman[M].Edinburg:Oliver and Boyd |
| [2] | 陈珏,雷国平,王元辉.2011.黑龙江省土地综合承载力空间差异研究[J].中国人口·资源与环境, 21(3):267-270 |
| [3] | 陈海波,刘旸旸.2013.江苏省城市资源环境承载力的空间差异[J].城市问题,(3):33-37 |
| [4] | 邓伟.2012.山区资源环境承载力研究现状与关键问题[J].地理研究,29(6):959-969 |
| [5] | FAO.1977.Potential Population Supporting Capacities of Lands in Developing World[M].Rome:FAO |
| [6] | 费良军,黄宝友,孙胜祥.2008.陕西省土地整理工程生态承载力模型[J].农业工程学报,(8):80-83 |
| [7] | 高洁宇.2013.基于生态敏感性的城市土地承载力评估[J].城市规划,37(3):39-42 |
| [8] | 高新才,赵玲.2010.黑河流域土地资源人口承载力动态预测分析[J].宁夏社会科学,(3):58-61 |
| [9] | 苟延农,张晓青,李新运,等.2012.基于经济文化强省建设目标的山东综合人口承载力预测[J].中国人口·资源与环境,22(9):129-134 |
| [10] | 何宜庆,翁异静.2012.鄱阳湖地区城市资源环境与经济协调发展评价[J].资源科学,34(3):502-509 |
| [11] | 黄宁生,匡耀求.2000.广东相对资源承载力与可持续发展问题[J].经济地理,20(2):52-56 |
| [12] | 姬艳梅,王小文,梁宝翠,等.2011.陕北地区土地利用与生态承载力动态变化分析[J].中国人口·资源与环境,21(3):271-274 |
| [13] | 姜秋香,付强,王子龙.2011.三江平原水资源承载力评价及区域差异[J].农业工程学报,27(9):184-190 |
| [14] | 姜秋香,付强,王子龙.2011.基于粒子群优化投影寻踪模型的区域土地资源承载力综合评价[J].农业工程学报,27(11):319-324 |
| [15] | 雷勋平,吴杨,叶松,等.2012.基于熵权可拓决策模型的区域粮食安全预警[J].农业工程学报,28(6):233-239 |
| [16] | 李灿,张凤荣,朱泰峰,等.2013.基于熵权TOPSIS模型的土地利用绩效评价及关联分析[J].农业工程学报,29(5):217-227 |
| [17] | 李海东,王帅,刘阳.2014.基于灰色关联理论和距离协同模型的区域协同发展评价方法及实证[J].系统工程理论与实践,34(7):1749-1755 |
| [18] | 刘东,封志明,杨艳昭,等.2011.中国粮食生产发展特征及土地资源承载力空间格局现状[J].农业工程学报,(7):1-6+398 |
| [19] | 刘惠敏.2011.长江三角洲城市群综合承载力的时空分异研究[J].中国软科学,(10):114-122 |
| [20] | 刘静暖,孙媛媛,杨扬.2014.中国土地原生态承载力变化趋势分析[J].当代经济研究,(3):49-54 |
| [21] | 罗雁文,魏晓,王良健,等.2009.湖南省各市(州)土地资源承载力评价[J].经济地理,29(2):284-289 |
| [22] | Millington R,Gifford R. 1973.Energy and how we live[C].Australian UNESCO Seminar, Committee for Man and Biosphere |
| [23] | 马琼,苏美玲.2014.基于生态足迹的塔里木盆地人口与水土资源协调发展研究[J].干旱区资源与环境,28(3):31-36 |
| [24] | Park R F,Burgess E W.1921.An Introduction to the Science of Sociology[M].Chicago:The University of Chicago Press |
| [25] | 彭立,刘邵权.2012.土地功能视角下的土地资源人口承载力研究——以攀枝花、六盘水市为例[J].长江流域资源与环境,21(S1):74-81 |
| [26] | 秦成,王红旗,田雅楠,等.2011.资源环境承载力评价指标研究[J].中国人口·资源与环境,21(12):335-338 |
| [27] | 邱鹏.2009.西部地区资源环境承载力评价研究[J].软科学,23(6):66-69 |
| [28] | 漆良华,周金星,张旭东,等.2007.长江上游山丘区土地承载力研究与评价——以四川省宜宾市为例[J].长江流域资源与环境,16(2):169-174 |
| [29] | 任守德,王凯.2011.基于宏微观尺度的三江平原区域农业水土资源承载力[J].农业工程学报,27(2):8-14 |
| [30] | 孙钰,李新刚.2013.基于空间回归分析的城市土地综合承载力研究——以环渤海地区城市群为例[J].地域研究与开发,32(5):128-132;137 |
| [31] | 孙久文,罗标强.2007.北京山区资源环境的生态承载力分析[J].北京社会科学,(6):53-57 |
| [32] | UNESCO&FAO.1985.Carrying Capacity Assessment with a Pilot Study of Kenya:A Resource Accounting Methodology for Exploring National Options for Sustainable Development[M].Paris and Rome:UNESCO & FAO |
| [33] | Vogt W.1949.Road to Survial[M].London:Victor Gollancz Ltd |
| [34] | 王书华,毛汉英,赵明华.2001.略论土地综合承载力评价指标体系的设计思路——我国沿海地区案例分析[J].人文地理,16(4):57-61 |
| [35] | 王振波,张蔷,张效瑞,等.2013.基于资源环境承载力的合肥市增长边界划定[J].地理研究,32(12):2302-2311 |
| [36] | 许联芳,谭勇.2009.长株潭城市群"两型社会"试验区土地承载力评价[J].经济地理,(1):69-73 |
| [37] | 许月卿.2007.基于生态足迹的北京市土地生态承载力评价[J].资源科学,29(5):37-42 |
| [38] | 尹新哲,李菁华,雷莹.2013.森林公园旅游环境承载力评估——以重庆黄水国家森林公园为例[J].人文地理,(2):154-159 |
| [39] | 祝秀芝,李宪文,贾克敬,等.2014.上海市土地综合承载力的系统动力学研究[J].中国土地科学,28(2):90-96 |
2016, Vol. 36




