吉林西部是吉林省重要的能源基地和农、牧业基地.近年来,随着人口的增加、工农业的发展及城镇规模的扩大,水资源的需求量不断扩大,水质污染日趋严重,由此产生了一系列生态环境问题和经济问题(卞玉梅,2006).因此,科学地认识吉林西部地下水化学特征,查明其时空演化规律,对该区地下水污染的防治、生态环境的改善及“水质性缺水”状况的缓解具有重要意义.
常用的水质评价方法有单因子评价法、综合指数法、模糊综合评判法、灰色聚类法、人工神经网络法(白玉娟等,2010)等,上述方法各有优点,但均无法揭示水化学成分与时间、空间的相关性,只能获知当前地下水环境的总体状况.而实际上,地下水作为开放系统,在流动过程中不断与外界发生物质、能量交换,化学特征处在连续的时空演化过程中.因此,将水化学成分与时间、空间结合起来分析更符合实际.
对应分析法是一种视觉化多元统计分析方法,通过一定的数学原理和方法,将样品和变量以点集的形式投影到同一因子平面上,将数字转化为几何图像,各点间的距离即表征相应的样品、变量间的相关关系.对应分析可将样本和变量结合起来分析,确定主要影响因子,更全面、深入挖掘数据信息,是一种直观、简捷高效的分析方法(Benze′cri et al., 1937a;1937b;Benze′cri,1969;张尚志,1980;朱盛明,1982;孙传忠,1992).
目前,一些研究者运用对应分析法对水质进行了研究,取得了一定的成果.例如,程卫国等(2011)运用对应分析法分析了石头口门水库水质特征,但未进行分区;利广杰等(2012)运用对应分析法分析了某地浸铀矿山水质,确定了主要影响因子.在吉林西部,龚磊等(2011)选取13个水样点、9个水质指标,采用对应分析法分析了洮北区不同子区的不同污染物;王宇等(2013)选取2004年42个水样点、17个指标,采用对应分析法确定了吉林西部不同子区的水质特征.上述后3位学者均未进行地下水化学特征动态分析.
分析地下水空间分布不仅能认识地下水环境的总体质量,还能对研究区进行分区,确定不同区域、不同自然条件对地下水化学成分的影响,分析其成因,判断污染物的来源;同时,分析地下水动态变化不仅能认识当前地下水环境的优劣状况,还能回溯其演变历史,预报其未来的变化趋势.因此,地下水化学特征时空演化分析能为当地污染治理、环境保护等工作提供更为客观、全面、有针对性的理论依据.
因此,本文选取2010年31个水样点、16个水质指标,运用对应分析法,对吉林西部地下水化学特征进行分析.首先进行水化学分区,确定各子区的主要因子;然后分别分析各区主要影响因子在2009—2012年的变化趋势;最后用ArcGIS做出样点分布图,结合实际水文地质条件及人类活动情况分析水质的成因及来源.
2 研究区概况(The general situation of the study area)研究区位于吉林西部平原,地理坐标为东经123°09′~124°22′,北纬44°57′~45°46′.该区地域辽阔,总面积47011 km2,包括松原和白城两个地级市,是吉林省重要的农、牧业基地(图 1).
![]() |
| 图1 吉林西部位置图 Fig.1 Location map of the western Jilin |
研究区位于松嫩平原西南部,多年平均降水量为400~500 mm,多年平均蒸发量为1500~2000 mm,气候干旱,风多雨少,属于典型的干旱半干旱地区,绝大部分河流属于松花江水系.地形总体特点是东南与西北高,中央及东北低.区内第四系松散沉积物孔隙潜水分布最广泛,受地形控制,地下水由西部山前丘陵区和东部高平原向中部及东北部低平原流动(汪馨竹,2009).
在研究区干旱少雨、水资源短缺等自然条件和人工开采、农业灌溉等人类活动的共同影响下,当地出现了严重的地下水污染、土壤盐碱化、沙漠化等生态环境问题.
3 对应分析法(Correspondence analysis method) 3.1 基本思想对应分析就是在保证数据信息丢失最少的原则下,利用降维的思想,将一个列联表的行和列中各元素的比例结构以点的形式在较低维的空间中表示出来,使得数据的结构及行、列之间的关系变得一目了然.它的最大特点就是把R型(研究变量间关系)和Q型(研究样品间关系)因子分析结合起来,在一张因子平面图上同时表示出变量和样品,以直观、明了的方式揭示变量之间、样品之间及变量与样品之间的关系.另外,对应分析可以从因子载荷图上对样品进行分类,而且能够揭示每个分区的主要影响变量及依据;也可以对变量进行分类,提取出潜在的公因子,并揭示每个因子的含义.随着技术方法的商用软件的出现,对应分析的方法在各个领域都得到越来越广泛的重视和应用(David et al., 1974;张彦波,1979; Susan et al., 1990;苏艺等,2004;Emmanuel et al., 2005;曾道明等,2008).
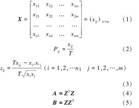
3.2 主要计算过程①设有n个样品,每个样品观测m个变量值,则原始数据如式(1)所示.②按行、列分别求和,得到行和Xi、列和Xj及总和T.③计算原始数据的概率矩阵 P(式(2)).④计算数据变换矩阵 Z(式(3)).⑤计算变量的协方差矩阵 A(式(4))和样品的协方差矩阵 B(式(5)).⑥R型因子分析:计算变量协方差矩阵的特征值,λ1>λ2>…>λm,通常取累积贡献值大于70%~90%的前k个特征值,计算相应的特征向量u1,u2,...,uk,得R型因子载荷矩阵 F =[F1,F2,..., Fk],其中,Fk=ukλk.⑦Q型因子分析:对R型因子分析取得的前k个特征值,计算其相应于矩阵 B 的特征值,v1=Zu1,v2=Zu2,...,vk=Zuk,再将其单位化,得R型因子的载荷矩阵 G =[G1,G2,..., Gk],其中,Gk=vkλk.⑧在二维因子轴上作图.用同一因子轴同时表示样品和变量,即R型分析、Q型分析同时反映在一张图上.
本文选取2010年野外采集的吉林西部31个地下水水质样品(Q1~Q31),16个指标分别为K+、Na+、Ca2+、Mg2+、TFe、Mn2+、SO42-、Cl-、HCO3-、NO3--N、NO2--N、F-、pH、总硬度、总碱度、矿化度.在做动态分析时选取2009—2012年地下水水质数据.
4.2 主要计算过程依据对应分析原理进行计算,得到变量协方差系数矩阵 A 的特征值及方差贡献率.选择方差最大的前两项因子作为主因子轴,该主因子轴具有最高分辨率(岑况,1988),计算得到R型和Q型主因子载荷(表 1).
| 表1 R型和Q型主因子载荷 Table 1 R type and Q type main factor load |
根据表 1所示载荷坐标,做出样品与变量的因子载荷平面投影图(图 2).根据各水质指标和样本在因子轴上的投影平面图,可以形象、直观地看出各水质指标与其水质状况的相关性.
![]() |
| 图2 对应分析因子载荷投影平面图 Fig.2 Factor loading projection plane graph of correspondence analysis |
因子轴分析:各变量的载荷坐标绝对值反映了其与不同主因子轴的相关性程度大小,由图 2可写出两个主成分表达式:
第一主因子轴F1方差贡献达到43.09%,因而是研究区地下水水质分析中占主导地位的因子轴.由图 2可见,其正方向上HCO3-、总碱度载荷绝对值最大;其负方向上SO42-、Cl-载荷绝对值最大.因此,F1轴可作为地下水阴离子及矿化度的分异轴,样品越靠近F1轴正向,其矿化度越低,总碱度越高,阴离子以HCO3-为主;样品越靠近F1轴负向,其矿化度越高,阴离子以SO42-、Cl-为主.
第二主因子轴F2的方差贡献占25.21%,对地下水化学特征的评估作用弱于F1轴.F2因子轴的正向上载荷最大的变量为Na+,负向上载荷最大的变量为Ca2+、Mg2+、总硬度.因此,F2轴可作为地下水阳离子及总硬度的分异轴,样品越靠近F2轴正向,其总硬度越低,阳离子以Na+为主;样品越靠近F2轴负向,其总硬度越高,阳离子以Ca2+、Mg2+为主.
根据对应分析的特点,按样品与变量的自然聚合趋势及样品的分布密切程度,对样品之间、变量之间及样品与变量之间的关系进行分析.
变量分布分析发现,K+、TFe、Mn2+、NO2--N、F-、pH值这6个水质指标集中在F1轴和F2轴的中心位置,因子载荷较低,并且对主因子轴的影响不大.
从样品的分布看,31个样品点被明显地分为3个区,Ⅰ区:Q1、Q3、Q5、Q6、Q7、Q8、Q9、Q10、Q13、Q15、Q16、Q23、Q24、Q25、Q26、Q27、Q30、Q31;Ⅱ区:Q2、Q11、Q12、Q17、Q18、Q20、Q29;Ⅲ区:Q4、Q14、Q19、Q21、Q22、Q28.每个区内的水质特征相似.
与Ⅰ区样品关系密切的指标为HCO3-、总碱度,该区地下水矿化度较低,阴离子主要为HCO3-,总碱度大.与Ⅱ区样品关系密切的水质指标有Ca2+、Mg2+、总硬度、NO3--N,该区的地下水总硬度大,阳离子主要为Ca2+、Mg2+;此外,该区地下水中NO3--N含量较高,氮污染严重.与Ⅲ区样品关系较为密切的水质指标有SO42-、Cl-、Na+和矿化度.
5.2 各子区水质动态变化根据上述分区,确定Ⅰ区、Ⅱ区、Ⅲ区各区的主要影响因子.用对应分析法分别分析各区主要影响因子在2009—2012年4年的动态变化情况.Ⅰ区指标选取HCO3-、总碱度,Ⅱ区指标选取Ca2+、Mg2+、总硬度、NO3--N,Ⅲ区选取指标SO42-、Cl-、Na+和矿化度,具体结果见图 3.Ⅱ区地下水主要指标连续4年变化:Ca2+、Mg2+、总硬度保持稳定,NO3--N含量有增大趋势.Ⅲ区地下水主要指标连续4年变化:Cl-含量保持稳定,矿化度及Na+含量有增大趋势.I区的地下水水质经对应分析法分析,发现只有一个主因子轴,因此,无法作出平面点图.Ⅰ区地下水中HCO3-、总碱度含量最高,二者紧密相关,4年间含量变化幅度较小,无趋势性变化.
![]() |
| 图3 Ⅱ区(a)和Ⅲ区(b)地下水主要指标动态变化 Fig.3 Dynamic changes of main index of district Ⅱ(a) and Ⅲ(b) |
本文选取的31个采样点的位置见图 4.将因子载荷平面投影图与水质样本分布图结合起来分析,根据样品点的位置分布,分析出各区主要指标的成因及来源.
![]() |
| 图4 水质样品点分布图 Fig.4 Distribution map of water quality sample points |
Ⅰ区地下水中HCO3-含量较高,相应的总碱度较高;阳离子Ca2+、Mg2+、Na+含量较平均,其相对含量在全区上无规律性差异.Ⅰ区样品分布在西部山前平原区和中部盐碱区,西部山前平原区地势较高,为本区地下水补给区,径流强烈,地下水交替作用强烈,矿化度低,为重碳酸型水;而在中部盐碱区,土壤呈现出不同程度的盐碱化现象(图 5)(朱琳等,2006),该区土壤中可溶性盐以碳酸氢盐为主,这些可溶性盐经溶滤作用改变着地下水的化学成分,从而使地下水化学类型和盐碱化类型相一致(宋长春等,2000),HCO3-含量增高.本次研究的2009—2012年期间,该区盐碱地面积或盐碱化程度无明显变化,该区地下水中HCO3-无明显变化.
![]() |
| 图5 吉林西部土壤盐碱化分布图 Fig.5 Distribution map of soil salinity of western Jilin |
Ⅱ区地下水中Ca2+、Mg2+、总硬度、NO3--N含量较高.Ⅱ区样品分布在西部山前平原与中部低平原区之间的过渡带,为本区地下水径流区,矿化度较低,阳离子以Ca2+、Mg2+为主,总硬度较高.该区人口密度大,工矿企业较多,产生了大量富含氮素的生活垃圾、工业废水;同时,该区耕地面积大,化肥、农药大量施用,产生了大量含氮素的农业灌溉污水.上述未经处理的污水经透水性较强的包气带入渗,使地下水中氮素含量升高,造成污染(朱济成,1995).污水在渗入地下的过程中,通常会与空气有较长时间的接触,因此,地下水中的氮素以NO3--N为主(赵勇胜等,1994).2009—2012年,随着人口密度的增大,农业种植面积的增大,地下水中NO3--N含量有增大趋势,污染进一步加剧.
Ⅲ区地下水中SO42-、Cl-、Na+含量和矿化度较高.Ⅲ区样品大多分布在中部低平原区,地势平坦,径流作用弱,潜水蒸发浓缩作用强烈,形成高矿化度水,SO42-、Cl-、Na+含量较高.此外,冬天大安市采用大量的氯盐融雪剂,冰雪融化后,掺杂着盐分的雪水会对路面产生严重的腐蚀,使路面出现裂纹,盐分通过裂纹下渗到含水层中.还有一部分雪水排入到城市排水系统,汇入地表水体,经过水循环也会进入到含水层,对地下水水质产生影响(宋敏,2005).近年来,引嫩入白、大安灌区等工程的建设,灌溉用水量增大(万叶妮,1996),地下水接受的补给量增大,水位升高,蒸发浓缩作用进一步增强,地下水中矿化度、Na+含量有增大趋势.
6 结论(Conclusions)1)运用对应分析法分析吉林西部地下水水质的时空演化规律,其结果符合研究区实际情况,方法可行,结果可靠.对应分析可将地下水水质指标、取样时间、取样地点结合起来分析,更贴近实际,能更客观、高效地分析地下水化学成分的分区特征及动态变化规律.
2)由对应分析因子载荷投影平面图可知,第一主因子轴F1可作为吉林西部地下水阴离子及矿化度的分异轴,样品越靠近F1轴正向,其矿化度越低,总碱度越高,阴离子以HCO3-为主;样品越靠近F1轴负向,其矿化度越高,阴离子以SO42-、Cl-为主.第二主因子轴F2可作为吉林西部地下水阳离子及总硬度的分异轴,样品越靠近F2轴正向,其总硬度越低,阳离子以Na+为主;样品越靠近F2轴负向,其总硬度越高,阳离子以Ca2+、Mg2+为主.
3)吉林西部地下水化学特征是自然与人类活动共同作用形成的结果,该区地下水多为Ⅳ、Ⅴ类水,污染严重.在地下水补给区,通榆西部及长岭南部,受污染程度较轻,地下水中阴离子以HCO3-为主,总碱度较高;地下水径流区,洮南中部、通榆东北部等地,Ca2+、Mg2+、总硬度较高,而且该区人口密度大,氮污染严重;地下水排泄区,蒸发浓缩作用强烈,为高矿化度水.在盐碱区,地下水中HCO3-含量较大.近年来,地下水中氮污染有加剧趋势,矿化度进一步增大,急需采取相关措施,全面兼顾、重点突出地对吉林西部地下水污染进行治理.
| [1] | 白玉娟,殷国栋.2010.地下水水质评价方法与地下水研究进展[J].水资源与水工程学报,21(3):115-119,123 |
| [2] | Benze'cri J P.1969.Statistical Analysis as a Tool to Make Patterns Emerge from Data//Watanabe S(ed.).Methodologies of Pattern Recognition[M]. New York:Academic Press.35-74 |
| [3] | Benze'cri J P. 1937a. L'Analyse des donne'es:Ⅰ.La Taxonomie[Z]. Paris Dunod |
| [4] | Benze'cri J P. 1937b. L'Analyse des donne'es:Ⅱ.L'Analyse des correspondences[Z]. Paris Dunod |
| [5] | 卞玉梅. 2006. 吉林省西部地下水动态研究[D].长春:吉林大学 |
| [6] | 岑况. 1988.地质因子分析的新进展-R-Q式因子分析及其在地学中的应用[J].地质科技情报,7(4):95-104. |
| [7] | 程卫国,卢文喜,龚磊. 2011.对应分析方法在石头口门水库水质评价中的应用[D].节水灌溉,(5):49-51,56-57 |
| [8] | David M,Campiglio C,Darling R.1974.Progresses in R-and Q-Mode analysis:correspondence analysis and its application to the study of geological processes[J].Can J EarthSci,11:131-146 |
| [9] | Emmanuel N,Avner Bar-Henc.2005.Influence function and correspondence analysis[J].Journal of Statistical Planning and Inference,134(1):26-35 |
| [10] | 龚磊,卢文喜,辛欣,伊燕平.2011.对应分析方法在白城市洮北区地下水水质评价中的应用[J].水资源保护,27(1):38-41 |
| [11] | 利广杰,张博,王海峰,等.2012.对应分析法在地浸铀矿山水质评价中的应用[J].铀矿冶,31(1):46-50 |
| [12] | 宋长春,邓伟.2000.吉林西部地下水特征及其与土壤盐渍化的关系[J].地理科学,20(3):246-250 |
| [13] | 宋敏.2005.地下水氯盐污染的治理[J].科技情报开发与经济,24(15):246-247 |
| [14] | Susan G O,James R C.1990.Correspondence analysis of water quality data:implications for fauna deaths at Stillwater Lakes, Nevada[J].Math Geol,22(6):665-698 |
| [15] | 苏艺,许兆义,鄢贵权.2004.对应分析方法在地下水环境系统分析中的应用[J].北方交通大学学报,28(4):48-53 |
| [16] | 孙传忠.1992.简单对应分析及其应用[J].统计研究,9(5):75-78 |
| [17] | 万叶妮.1996.吉林省水利建设重点工程项目综述[J].水利规划与设计,(5):8-10,18 |
| [18] | 汪馨竹.2009.吉林省西部地下水埋深时空变化研究[D].长春:吉林大学 |
| [19] | 王宇,卢文喜,夏广卿,等.2013.吉林西部地下水水质特征对应分析研究[J].节水灌溉,(3):27-30 |
| [20] | 曾道明,纪宏金,高文.2008.R-Q型因子分析与对应分析[J].物探化探计算技术,30(1):78-80 |
| [21] | 张尚志.1980.对应分析的原理和作用[J].物探化探计算技术,(2):67-78 |
| [22] | 张彦波.1979.对应分析在地质学中的应用[J].科学通报,24(22):1036-1036 |
| [23] | 赵勇胜,林学钰.1994.地下水污染模拟及污染的控制和处理[M].长春:吉林科学技术出版社.50-53 |
| [24] | 朱济成.1995.关于地下水硝酸盐污染原因的探讨[J].城市地质,(2):20-26 |
2016, Vol. 36






