2. 浙江省舟山海洋生态环境监测站, 舟山 316021
2. Zhejiang Provincial Zhoushan Marine Ecological Environmental Monitoring Station, Zhoushan 316021
杭州湾位于浙江省东北部,西接钱塘江,北邻长江口,东部通过舟山群岛之间的水道与东海相通.形态上为典型的喇叭型海湾,湾内宽度由澉浦向东不断加宽.动力条件上湾内潮流强劲,潮差较大,且南岸潮差低于北岸.地貌上南北两岸显著不同,北岸深槽发育,南岸滩地宽广.杭州湾内的泥沙来源除了钱塘江、曹娥江及甬江的输入外,还有外海泥沙随潮进入杭州湾,更主要的是长江浊水出海以后随潮流进入杭州湾沉积下来(陈吉余,2007).目前,杭州湾及其邻近海域沉积物元素的地球化学研究受到了众多研究者的重视,王昆山等(2013)研究了杭州湾表层沉积物碎屑矿物的分布和物质来源,陈卓敏等(2006)分析了杭州湾潮滩沉积物中多环芳烃的分布和来源,贾海波等(2014)从海水富营养化、表层沉积物质量、生物质量等方面总体上对杭州湾海域的生态环境的变化和发展趋势进行了系统分析,但侧重于杭州湾沉积物中重金属的系统研究还较为少见.张弛等(2008)分析了杭州湾河口地区表层沉积物重金属的分布特征和潜在生态风险,但研究区域局限于河口和潮滩区域.基于此,本文拟对杭州湾及对杭州湾影响较大的邻近海域重金属的空间分布特征进行分析,同时对1996—2012年重金属年际变化趋势进行分析,并基于时空分布特征进行来源解析和背景值研究.最后,运用Hakanson生态风险指数法对重金属污染状况和潜在生态风险进行评价,以期为控制杭州湾生态环境问题,保障沿岸地区海洋资源可持续利用和海洋经济可持续发展提供科学依据.
2 材料与方法(Materials and methods) 2.1 数据来源和站位设置本文研究数据来源于浙江省舟山海洋生态环境监测站.1996—2012年期间,该站持续对杭州湾及其邻近海域生态环境状况开展了大面积监测,监测时间为每年春季.本文根据杭州湾的地形地貌、水动力状况和泥沙流运动等特点,选取了其中29个站点,研究区域覆盖了杭州湾、长江口及舟山群岛海域,各站点分布情况如图 1所示.空间分布特征和污染状况评价采用2012年的监测数据.时间分布特征分析中,为保证不同年份之间数据具有较好的可比性,仅选取其中监测连续性较好的15个站位(H02~H06,H09~H10,H12~H17,H23~H24).环境背景值估算时采用1996—2012年期间杭州湾近海29个站点表层沉积物的所有监测数据.
![]() |
| 图1 监测站位分布 Fig.1 Location of sampling stations |
样品的采集、贮存、制备、前处理和分析均严格按照《海洋调查规范》(GB12763—2007)和《海洋监测规范》(GB17378—2007)的有关要求实行.其中,表层沉积物样品使用抓斗式采泥器采集,用塑料刀或勺从采泥器耳盖中仔细取上层0~2 cm的沉积物,如遇砂砾层,则采集0~3 cm的沉积物.Cu、Zn分析采用火焰原子吸收分光光度法,Pb、Cd分析采用无火焰原子吸收分光光度法,Hg、As分析采用原子荧光法,粒度使用Microtrac S3500激光衍射仪完成分析,硫化物分析采用亚甲基蓝分光光度法.采用平行样分析控制精密度,采用GBW07314和SRM1646a标准物质分析控制准确度,测试的相对误差均小于5%.
2.3 数据处理空间分布趋势图采用Surfer 8.0绘制,时间分布趋势图采用软件Origin Pro 8.0绘制,Mann-Kendall趋势检验采用Makesens 1.0完成,ANOVA分析、态性检验、聚类分析、主成分分析均在软件SPSS 16.0中完成.
3 结果与讨论(Results and discussion) 3.1 分布特征 3.1.1 空间分布特征由图 2可以看出,杭州湾及其邻近海域表层沉积物中Cu、Pb、Zn、Cd、As均在长江南支入海口附近海域存在一个高值区,并向东呈舌状递减的趋势.赵一阳(1983)认为,在入海河口处,由于河海交汇,水速、pH、盐度等理化条件骤然改变,易使元素含量在河口呈密集的舌状向海延伸趋势.本研究与赵一阳的研究结果一致.李磊等(2012)在研究长江口沉积物中重金属时也发现了类似的分布趋势,这种分布趋势表明长江径流对研究区域重金属含量有重要影响.等值线在向东递减过程中逐渐由舌状延伸转变为条带状延伸,这可能是因为随着离岸距离增加,长江径流影响逐渐减弱,同时沉积物发生粒度分异所致(陈彬等,2014).另外,Cu、Pb、Zn、Cd在杭州湾口北岸也表现出明显的高值区,并向南呈舌状递减的趋势,这可能也源于长江径流的影响.研究表明(Milliman et al., 1985),长江口每年携带 4.86×108 t泥沙,其中30%沿岸南下,是杭州湾各种物质的重要来源.王昆山等(2013)认为从长江径流携带的泥沙从北岸进入杭州湾,并向南、向西输送,本研究中重金属的分布趋势与泥沙输送路径相符合.Hg在长江口南支入海口和杭州湾口北岸未呈现出明显的高值区,这可能与该区域水动力作用强烈,沉积物中的Hg通过再悬浮作用在沉积物-孔隙水-悬浮颗粒-上覆水这些不同介质中重新进行分配有关(沈军,2009;赵健等,2011). Hg、As在舟山东南海域出现了明显的高值区,该区域硫化物含量较高(H27站点硫化物含量为68.3 mg · kg-1),高值区的形成可能与硫化物对Hg和As两种重金属的富集作用有关.该海域总体处于还原环境(齐红艳等,2008),在这种环境条件下,酸挥发性硫化物是沉积物重金属的主要结合相,无论何种类型的沉积物,酸挥发性硫化物的存在都将提高沉积物对重金属的吸附容量(方涛等,2002).
![]() |
| 图2 表层沉积物中重金属的空间分布 Fig.2 The spatial distribution of heavy metals in surface sediments |
对杭州湾及其邻近海域29个监测站位进行Q型系统聚类分析,结果如图 3所示.可以看出,当联动距离为5时,共聚成3类区域:第I类包括H01、H13、H20、H21、H28、H29共6个站位,第III类包括H02、H04、H06、H07、H09、H14、H15、H25、H27共9个站位,其余14个站位为第II类.ANOVA分析表明,各组重金属含量有显著性差异(p<0.05,pHg<0.10),表明3类区域之间重金属的来源和影响因素具有明显差异.第I类站位重金属含量较低,分布于研究区域北部和东部海域.该区域主要为砂质沉积区,表层沉积物颗粒较粗,平均粒径在60 μm以上,重金属含量主要受粗颗粒沉积物“稀释效应”控制(张晓东等,2007).比较该区域重金属含量与平均粒径的空间分布趋势(图 4)也可以看出,两者呈明显 相反趋势.第III类站位重金属含量较高,主要分布于长江南支入海口、杭州湾口北岸及舟山东南海域,受长江径流影响较大,且底质类型为粉砂,颗粒较细,对重金属有较强的吸附作用.分析第III类站位重金属含量与底层水体盐度间关系也发现,Cu、Cd与其呈显著负相关(p<0.05),Zn与盐度负相关(p<0.10). 第II类站位主要位于杭州湾南岸及舟山群岛西北海域,受长江径流的影响小于第III类,同时沉积物粒径小于第I类,主要底质类型为粉砂.分析第II类站位重金属含量与细颗粒物(<63 μm)含量之间的关系,发现Zn与其呈显著正相关(p<0.05),Pb、As与细颗粒物含量负相关(p<0.10),表明细颗粒物质的吸附作用对第II类站位有重要影响.
![]() |
| 图3 表层沉积物空间聚类分析 Fig.3 cluster analysis of the surface sediments |
![]() |
| 图4 表层沉积物底质类型(a)和平均粒径(b)空间分布 Fig.4 The spatial distribution of surface sediments type(a) and grain size(b) |
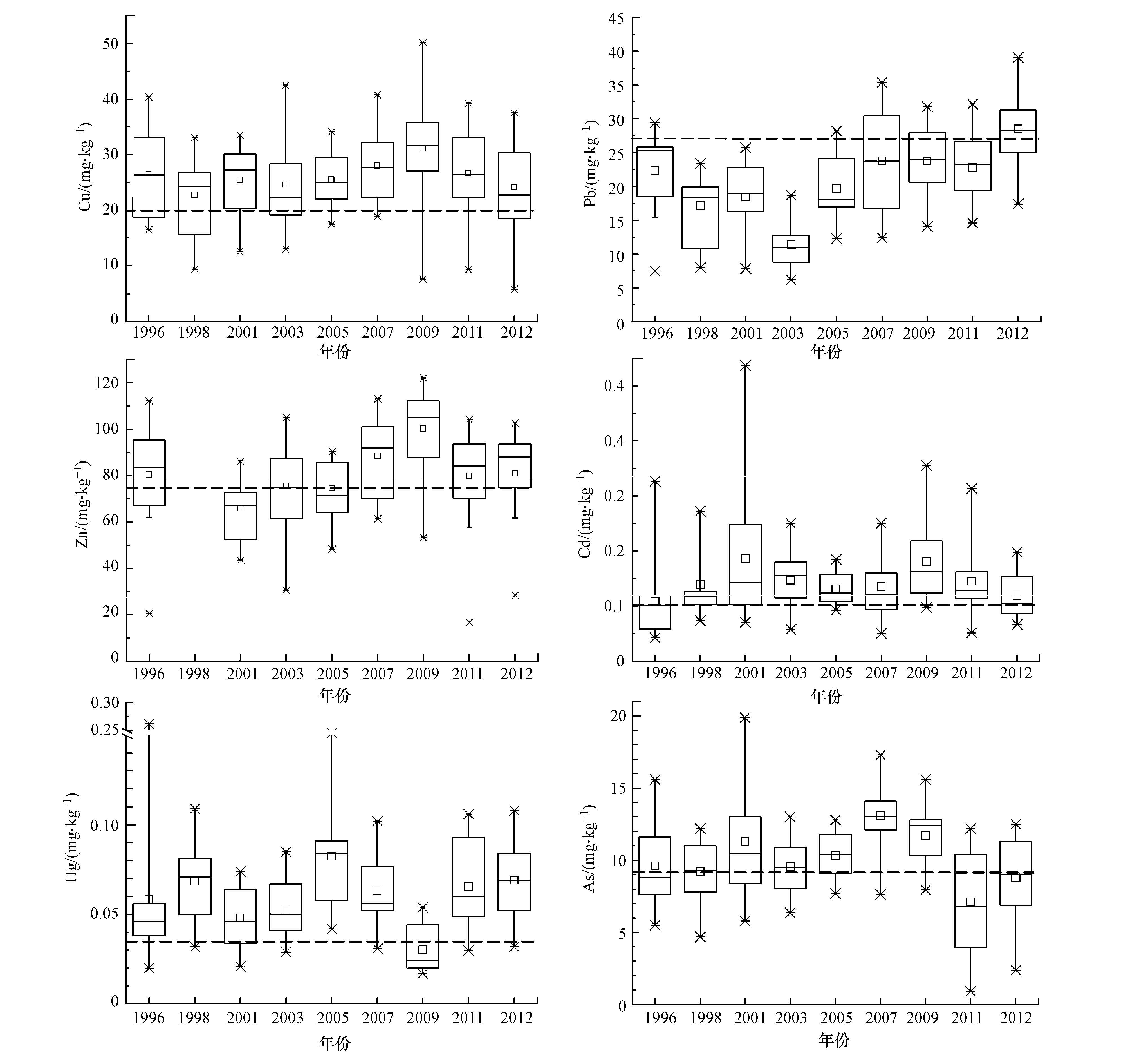
对1996—2012年6种重金属元素含量进行年际比较,结果如图 5所示.与张志忠等(2005)研究的浙北近海背景值结果(20 mg · kg-1)比较,Cu含量普遍偏高,最大值50.2 mg · kg-1,为背景值的2.51倍.Pb含量普遍低于浙北近海背景值(27 mg · kg-1),最大值39.1 mg · kg-1,为背景值的1.45倍.Zn、As含量在浙北近海背景值(75、9.1 mg · kg-1)附近上下波动,Zn最高值122 mg · kg-1,为背景值的1.63倍,As最高值19.9 mg · kg-1,为背景值的2.19倍.Cd、Hg含量普遍高于浙北近海背景值(0.102、0.034 mg · kg-1),Cd最高值0.537 mg · kg-1,为背景值的5.26倍,Hg最高值0.262 mg · kg-1为背景值的7.71倍.综上表明,自1996年以来,杭州湾及其邻近海域表层沉积物中Pb污染不明显,Zn、As污染较轻,Cu、Cd、Hg呈现出一定程度的污染,且Cd、Hg含量有个别激增现象.
![]() |
| 图5 表层沉积物重金属含量年际变化趋势(图中虚线为浙北海域重金属背景值(张志忠等,2005)) Fig.5 Historical trends of heavy metal concentrations in the surface sediments |
从分布趋势上看,Cu、Zn较为相似,含量先升高后降低,2009年含量最高;As含量先升高后降低,2007年含量最高;Pb含量先降低后升高,2003年含量最低,2012年含量最高;Hg、Cd变化趋势不明显.ANOVA分析表明,各年际间Cu含量无显著性差异(p>0.05),其余5种元素均有显著性差异(p<0.05).进一步采用Mann-Kendall检验发现(表 1),Cu年均值在1998—2009年期间有显著上升趋势(p<0.05);Zn年均值在2001—2009年期间有显著上升趋势(p<0.05);As年中位值在1996—2009年期间的上升趋势接近显著(p<0.10);Pb年均值在1996—2012年期间的上升趋势接近显著(p<0.10),且在2003—2012年期间年中位值呈显著上升趋势(p<0.05);Hg、Cd年均值和年中位值均无明显上升或下降趋势.综上表明,自1996年以来,杭州湾及其邻近海域表层沉积物中Pb含量总体呈上升趋势;Cu、Zn、As含量在2001—2009年期间均表现出了上升趋势,2009年以来总体呈下降趋势;Cd、Hg含量有一定波动但总体保持稳定.Pb主要来源于交通污染,其含量的上升可能与20世纪90年代以来我国汽车产业的飞速发展有关;Cu、Zn主要来源于工业污染,As一般可视为使用农药和化肥等农业活动的标示元素(方明等,2013),其含量在2003—2009年的上升可能与这期间长江三角洲周边区域经济快速发展,工、农业污水排放量增加有关,2009年以来的下降趋势可能与”十二五”期间国家加强重金属污染的治理有关,此外,与长江径流量和泥沙输入量的波动也有一定关系.
| 表1 重金属含量年际变化趋势的Mann-Kendall检验结果 Table 1 Mann-Kendall test results of the historical trends |
对研究区域6种重金属总量的年均值与前一年长江入海重金属排放量年际变化趋势进行比较,发现两者总体趋势表现一致(图 6),表明长江径流输入对研究区域重金属含量有重要影响.但比较重金属总量年均值与同年入海重金属排放量变化趋势,发现两者差异较大,这可能是因为经河流排放入海的重金属转移进入沉积物需要一定的时间过程,而这种过程使得沉积物重金属含量变化滞后于河流排放量变化,霍素霞(2011)在研究渤海表层沉积物中重金属含量时也发现了类似的变化趋势.分析重金属总量均值与同年长江大同站输沙量之间的关系,发现两者呈显著负相关(p<0.05),这可能是因为随着输沙量的减少,重金属的“载体”也相应减少,从而使单位体积悬浮体上所吸附的重金属元素质量比增加(李磊等,2012).与入海重金属排放量之间的关系不同,重金属总量均值与前一年输沙量之间负相关(p<0.10),这表明泥沙的输入量对表层沉积物重金属含量的影响存在一定的延续性.以上分析一定程度上揭示了长江径流输送对杭州湾沉积物中重金属含量的控制作用.
![]() |
| 图6 表层沉积物重金属年均值与长江入海重金属排放量、输沙量年际变化趋势比较 Fig.6 The comparison between the heavy metals in the surface sediments and the heavy metals and suspended sediment from Yangtze river |
对重金属的不同来源进行鉴别,微观上可以为重金属在沉积物中的地球化学行为及其与环境的关系等方面提供重要的证据,宏观上则是准确、有效治理污染的前提(张彦等,2014).分析6种重金属元素之间的关系,发现各元素间基本呈显著正相关,但相关系数大小有一定差异(表 2).Cu、Pb、Zn、Cd元素两两之间呈显著正相关(p<0.01),且Cu、Pb、Zn 两两之间Person相关系数均大于0.74;As与其它元素之间均呈显著正相关(p<0.05或p<0.01),但Person相关系数均小于0.55;Hg与Cd之间相关性不显著,与其它4种元素之间呈显著正相关(p<0.01),但Person相关系数小于0.42.以上这些相关系数的分析表明,Cu、Pb、Zn、Cd来源极其相似,As与其它5种元素之间来源有相似性但同时存在一定差异,Hg与Cd之间来源有较大的不同,与其它4种元素之间有相似性.
| 表2 表层沉积物重金属元素及其与环境因子间相关系数矩阵(N=29) Table 2 Person correlation matrix of heavy metals contents and environmental factors in the surface sediments(N=29) |
为进一步分析杭州湾及其邻近海域沉积物中重金属的来源,采用主成分分析法(PCA)进行了源解析.主成分分析是一种多元统计方法(Gong et al., 2010),近年来被广泛用于重金属的来源研究(李玉等,2006;Zaharescu et al., 2009;张兆永等,2012;陈培飞等,2013;杨丽虹等,2014).采用SPSS 16.0软件进行KMO检验,得到的统计量值为0.749,Bartlett球型检验相伴概率为0.000,表明各重金属元素之间相关性较强,可以做因子分析.以表层沉积物种重金属含量为变量并进行Varimax旋转后得到因子分析计算结果(表 3).其中,前2个主成分累积方差贡献率达到了78.8%,因此,对前2个主成分分析已能反映全部数据的大部分信息.PC1对原始变量的解释贡献了总方差的52.2%,对研究区域表层沉积物中重金属的组成和分布具有决定性的意义.Cu、Pb、Zn、Cd在PC1上有较高正载荷(>0.7),反映了来源于陆源输送的重金属污染,包括金属矿山采冶、化学品和电子产品制造等工业废水及农业废水、生活污水等,这些重金属的含量与分布主要受碎屑颗粒供给所控制,这与图 2中Cu、Pb、Zn、Cd的空间分布趋势也一致.PC2解释了总方差的26.6%,其中,Hg、As在PC2上有较高的正载荷.在水动力作用强烈海域,沉积物中的Hg易通过再悬浮作用在不同介质中重新进行分配.结合前文分析还可以知道,硫化物富集作用对沉积物Hg、As的含量和分布有重要影响.大规模的海水养殖业往往会导致沉积物硫化物的升高(蔡清海等,2004;乔永民等,2004).因此,PC2主要表征了重金属在不同介质间转换机制及海水养殖污染对沉积物重金属来源的贡献.
| 表3 变量主成分分析的载荷和得分关系 Table 3 Relationship of principal component loadings and scores |
沉积物环境背景值具有很强的地域性特点,确定给定区域重金属的背景值,是评价环境重金属污染的前提和基础.目前沉积物环境背景值研究方法主要有背景区法、岩芯样法及数理统计法.本文为充分利用历史数据,采用数理统计法估算环境参考背景值,并与已有的岩芯样研究结果(张志忠等,2005)进行比对,以判断估算结果的合理性.具体数理统计方法如下:对已受一定程度污染的Cu、Cd、Hg元素,采用“频数分布下25个百分点(D25)”含量作为环境背景值,以尽量避免“人为影响值”对背景值的影响(暨卫东,2011);对于污染较轻的元素Pb、Zn、As,当含量符合正态分布时,选择均值作为背景值,当含量符合对数正态分布时,选择几何均值作为背景值(马玉等,2014).
结果表明,杭州湾及邻近海域表层沉积物中Cu、Pb、Zn、Cd、Hg、As的环境背景值分别为20.6、21.0、80.5、0.102、0.039、9.99 mg · kg-1(表 4).与张志忠等(2005)通过分析岩芯样135 cm以下元素平均含量确定的浙北海域沉积环境背景值相比较,两者较为接近,表明本文获取的背景值能够代表杭州湾及其邻近海域的背景状况.但与暨卫东(2011)通过“频数分布下25个百分点(D25)”确定的东海近岸背景值相比,本文获取的杭州湾及其邻近海域背景值普遍偏高,这可能是由于暨卫东的研究区域是覆盖了整个东海,且离岸距离较远所致.
| 表4 杭州湾及国内其它区域沉积物重金属背景值比较 Table 4 Comparison of heavy metal concentrations in Hangzhou Bay surface sediments with other sea areas |
与浙江土壤元素背景值(国家环境保护局和中国环境监测总站,1990)相比较,Cu、Zn、Cd、As背景值偏高,Hg偏低,Pb较为接近.与工业化前沉积物背景参比值(Hakanson,1980)相比较,各元素均明显偏低.以上分析说明,在杭州湾及其邻近海域重金属污染评价过程中采用浙江省土壤背景值或工业化前沉积物背景参比值均会导致评价结果的偏移.
3.3.2 潜在生态风险评价潜在生态风险指数法是瑞典科学家Hakanson于1980年建立的一套评价重金属污染程度及生态危害的方法,目前被广泛应用于沉积物环境的质量评价.其计算公式如下(Hakanson,1980):
毒性响应因子Tir和背景值Cin的确定是RI计算的关键.依据Hakanson的基本理论,沉积物中重金属的毒性响应因子Tir与毒性系数Sit、生物生产指数BPI有关,毒性系数Sit包含两方面的信息:金属对人体的危害和对水生生态系统的危害,其值可依据”丰度原则”和”稀释效应”确定;生物生产指数BPI反映水体的敏感程度,与富营养化程度有关,可根据沉积物的烧灼量(有机物含量)及含氮量确定.对于Tir的选择,目前众多学者普遍采用毒性系数替代毒性响应因子进行潜在生态危害计算(刘成等,2002;方明等,2013;李飞等,2014).本文采用徐争启等(2008)的研究结果,用毒性系数Sit替代毒性响应因子Tir进行计算,具体数值Hg为40,Cd为30,As为10,Cu、Pb为5,Zn为1.
Cd和RI的分级标准与重金属种类数有关.在Hakanson的研究中,重金属种类数为PCB、Hg、Cd、As、Cu、Pb、Zn、Cr 8种.在实际应用中,常根据实测的重金属种类数对分级标准进行调整(刘成等,2002;方明等,2013;王帅等,2014).本研究中重金属种类数仅为6种,与Hakanson的研究相比减少了PCB和Cr,因此,依据Hakanson分级划分原则和实测的重金属种类数,对分级标准进行了调整,结果如表 5所示.Cfi、Eri分级标准与重金属种类数无关,因此,直接采用Hakanson 的研究结果.
| 表5 沉积物环境质量潜在生态风险评价指标和分级关系 Table 5 Indexes and rankings of potential ecological risk for sediments |
通过计算可知,2012年杭州湾及其邻近海域表层沉积物重金属元素的污染因子Cif大小依次为 Hg(2.0)>Pb(1.3)>Cu=Cd(1.1)>Zn(0.97)>As(0.83),其中,Zn、As污染程度为低,Cu、Pb、Hg、Cd的污染程度为中等,且Hg在舟山群岛东南角海域(H19、H26、H27)的Cif值超过了3,污染级别为强,需引起注意.6种重金属综合污染指数Cd值为3.5~11.0,其中,75.9%站位的Cd值>6,海域Cd均值为7.3±1.9,污染程度为中等,表明杭州湾及其邻近海域表层沉积物已经受到一定程度的重金属污染.
各重金属潜在生态风险因子Eir值大小依次为Hg>Cd>As>Pb>Cu>Zn(表 6),Cu、Pb、Zn、As的Eir值<40,潜在生态风险程度为低,与杨耀芳等(2013)研究结果一致;Cd的Eir值范围为15.6~73.8,均值为32.8±12.7,其中有17.2%的站位潜在生态风险程度为中等;Hg的Eir值范围为32.8~153.0,均值为81.7±31.6,其中有51.7%站位潜在生态风险程度为强,主要分布在舟山群岛东南部、杭州湾北岸和长江南支入海口.综合潜在风险指数RI值范围为 61.2~213,其中有69.0%站位综合潜在生态风险程度为中等,有一个站位(H26)综合潜在生态风险程度为强.总体上看,研究区海域RI均值为136.0±41.1,综合潜在生态风险程度为中等,各因子对RI值的平均贡献率大小依次为Hg(59.3%)>Cd(24.8%)>As(6.2%)>Pb(4.8%)>Cu(4.2%)>Zn(0.7%),主要风险贡献因子为Hg和Cd.与杭州湾滨岸(张弛等,2008)、长江口滨岸(方明等,2013)、长江口外海域(密蓓蓓等,2013)相比,主要风险贡献因子一致(图 7),但潜在生态水平高于杭州湾滨岸和长江口外海域,低于长江口滨岸(表 6).从RI值空间分布趋势上看,舟山东南海域出现大于200的高值区,这主要受该区域Hg含量高值的影响;受长江径流影响,长江南支入海口及杭州湾口北岸RI值也相对较高,RI值大于155;RI值小于110的轻微风险区域主要出现在研究区域的砂质沉积区和嵊泗附近海域.综上分析表明,有必要及时对杭州湾及其邻近海域表层近海沉积物重金属污染尤其是Hg和Cd污染采取控制措施,以避免重金属污染对人体健康和生态系统造成危害.
| 表6 杭州湾及其邻近海域表层沉积物潜在生态危害与其它研究结果比较 Table 6 Comparison of potential ecological risks in Hangzhou Bay surface sediments with other similar research |
![]() |
| 图7 表层沉积物重金属RI空间分布 Fig.7 The RI spatial distribution of the surface sediments |
1)空间分布趋势表明,杭州湾及其邻近海域表层沉积物中Cu、Pb、Zn、Cd、As 5种重金属总体表现一致,局部存在差异,主体上呈现出以南汇嘴附近海域为高值区,东部和北部的砂质沉积海域为低值区.Hg在长江口南支入海口和杭州湾口北岸未呈现出明显的高值区,在舟山东南海域出现了明显的高值区.
2)历史变化趋势表明,自1996年以来,杭州湾及其邻近海域表层沉积物中Pb含量总体呈上升趋势;Cu、Zn、As含量在2001—2009年期间均表现出了上升趋势,2009年以后总体呈下降趋势.Cd、Hg含量有一定波动总体保持稳定.
3)基于历史数据采用数理统计法确定了Cu、Pb、Zn、Cd、Hg、As的环境背景值,具体分别为20.6、21.0、80.5、0.102、0.039、9.99 mg · kg-1.
4)各金属元素之间基本呈显著正相关(p<0.05或p<0.01),来源具有相似性.其中,陆源碎屑颗粒的输送对研究区域表层沉积物中重金属的组成和分布具有决定性的意义,同时重金属在不同介质间转换机制及海水养殖污染对沉积物重金属来源也有一定贡献.
5)杭州湾及其邻近海域表层沉积物海域重金属总体潜在风险水平为中等,Hg和Cd是主要生态风险贡献因子.6种重金属中Cu、Pb、Zn、As潜在生态风险水平为低,Cd为中等,Hg为强.RI相对高值区主要分布舟山群岛东南部、长江南支入海口及杭州湾口北岸.
| [1] | 蔡清海,杜琦,卢振彬,等.2004.福建省主要港湾沉积物中硫化物的分布[J].台湾海峡,23(1):25-32 |
| [2] | 陈彬,范德江,郭志刚,等.2014.长江口及邻近海域细颗粒沉积物中重金属的空间分布及沉积通量[J].海洋学报,36(11):101-110 |
| [3] | 陈吉余.2007.中国河口海岸研究与实践[M].北京:高等教育出版社 |
| [4] | 陈培飞,张嘉琪,毕晓辉,等.2013.天津市环境空气PM10和PM2.5中典型重金属污染特征与来源研究[J].南开大学学报(自然科学版),46(6):1-7 |
| [5] | 陈卓敏,高效江,宋祖光,等.2006.杭州湾潮滩表层沉积物中多环芳烃的分布及来源[J].中国环境科学,26(2):233-237 |
| [6] | 方明,吴友军,刘红,等.2013.长江口沉积物重金属的分布、来源及潜在生态风险评价[J].环境科学学报,33(2):563-569 |
| [7] | 方涛,刘剑彤,张晓华,等.2002.河湖沉积物中酸挥发性硫化物对重金属吸附及释放的影响[J].环境科学学报,22(3):324-328 |
| [8] | Gong M,Wu L,Bi X Y,et al.2010.Assessing heavy-metal contamination and sources by GIS-based approach and multivariate analysis of urban-rural topsoils in Wuhan,central China[J].Environmental Geochemistry and Health,32(1):59-72 |
| [9] | 国家环境保护局,中国环境监测总站.1990.中国土壤元素背景值[M].北京:中国环境科学出版社 |
| [10] | Hakanson L.1980.An ecological risk index for aquatic pollution control:a sedimentological approach[J].Water Research,14(8):975-1001 |
| [11] | 霍素霞.2011.渤海沉积物重金属分布特征及生态风险研究[D].青岛:中国海洋大学 |
| [12] | 暨卫东.2011.中国近海海洋环境质量现状与背景值研究[M].北京:海洋出版社 |
| [13] | 贾海波,邵君波,曹柳燕.2014.杭州湾海域生态环境的变化及其发展趋势分析[J].环境污染与防治,36(3):14-19;25 |
| [14] | 李飞,徐敏.2014.海州湾表层沉积物重金属的来源特征及风险评价[J].环境科学,35(3):1035-1040 |
| [15] | 李磊,平仙隐,王云龙,等.2012.长江口及邻近海域沉积物中重金属研究——时空分布及污染分析[J].中国环境科学,32(12):2245-2252 |
| [16] | 李玉,俞志明,宋秀贤.2006.运用主成分分析(PCA)评价海洋沉积物中重金属污染来源[J].环境科学,27(1):137-141 |
| [17] | 刘成,王兆印,何耘,等.2002.环渤海湾诸河口潜在生态风险评价[J].环境科学研究,15(5):33-37 |
| [18] | 马玉,李团结,高全洲,等.2014.珠江口沉积物重金属背景值及其污染研究[J].环境科学学报,34(3):712-719 |
| [19] | 密蓓蓓,蓝先洪,张志珣,等.2013.长江口外海域沉积物重金属分布特征及其环境质量评价[J].海洋地质与第四纪地质,33(6):47-54 |
| [20] | Milliman J D,Shen H T,Yang Z S,et al.1985.Transport and deposition of river sediment in the Changjiang estuary and adjacent continental shelf[J].Continental Shelf Research,4(1/2):37-45 |
| [21] | 乔永民,黄长江,林潮平,等.2004.粤东拓林湾表层沉积物的汞和砷研究[J].热带海洋学报,23(3):28-35 |
| [22] | 齐红艳,范德江,徐琳,等.2008.长江口及邻近海域表层沉积物pH、Eh分布及制约因素[J].沉积学报,26(5):820-827 |
| [23] | Salmi T,Määttä A,Anttila P,et al.2002.Detecting trends of annual values of atmospheric pollutants by the Mann-Kendall test and sen's slope estimates-the excel template application Makesens[M].Helsiniki:Finnish Meteorological Institute |
| [24] | 沈军.2009.物理扰动再悬浮作用下长江口近岸水体中汞的迁移与转化[D].上海:华东师范大学 |
| [25] | 王昆山,金秉福,石学法,等.2013.杭州湾表层沉积物碎屑矿物分布及物质来源[J].海洋科学进展,31(1):95-104 |
| [26] | 王帅,胡恭任,于瑞莲,等.2014.九龙江河口表层沉积物中重金属污染评价及来源[J].环境科学研究,27(10):1111-1118 |
| [27] | 徐争启,倪师军,庹先国,等.2008.潜在生态危害指数法评价中重金属毒性系数计算[J].环境科学与技术,31(2):112-115 |
| [28] | 杨丽虹,张杰宁,邓永智.2014.湄洲湾海域表层沉积物重金属含量的分布特征及潜在生态风险评价[J].应用海洋学学报,33(4):567-573 |
| [29] | 杨耀芳,曹维,朱志清,等.2013.杭州湾海域表层沉积物中重金属污染物的累积及其潜在生态风险评价[J].海洋开发与管理,(1):51-58 |
| [30] | Zaharescu D G,Hooda P S,Soler A P,et al.2009.Trace metals and their source in the catchment of the high altitude Lake Respomuso,Central Pyrenees[J].Science of the Total Environment,407(11):3546-3553 |
| [31] | 张弛,高效江,宋祖光,等.2008.杭州湾河口地区表层沉积物中重金属的分布特征及污染评价[J].复旦学报(自然科学版),47(4):535-540 |
| [32] | 张晓东,翟世奎,徐淑梅.2007.长江口外近海表层沉积物粒度的级配特性及其意义[J].中国海洋大学学报(自然科学版),37(2):328-334 |
| [33] | 张彦,卢学强,刘红磊,等.2014.渤海湾天津段表层沉积物重金属分布特征及其来源解析[J].环境科学研究,27(6):607-614 |
| [34] | 张兆永,吉力力·阿不都外力,姜逢清,等.2012.天山地表水重金属的赋存特征和来源分析[J].中国环境科学,32(10):1799-1806 |
| [35] | 张志忠,李双林,董岩翔,等.2005.浙江近岸海域沉积物沉积速率及地球化学[J].海洋地质与第四纪地质,25(3):15-24 |
| [36] | 赵健,毕春娟,陈振楼,等.2011.动力和盐度影响下长江口近岸沉积物中汞的再悬浮行为[J].中国科学:化学,41(1):105-116 |
| [37] | 赵一阳.1983.中国海大陆架沉积物地球化学的若干模式[J].地质科学,(4):307-314 |
2015, Vol. 35








