2. 中国矿业大学(北京), 北京 100083
2. China University of Mining & Technology(Beijing), Beijing 100083
沉积物中重金属是水环境中危害最严重的污染物之一,其易积蓄、难降解,且会通过食物链富集和放大,对水生态系统健康构成危害(Álvarez et al., 2002).重金属总量能够在一定程度上反应沉积物的污染程度,但不能完全反应其潜在的生态危害性(Singh et al., 2005a).沉积物中重金属的迁移转化、毒性响应及其生态危害很大程度上取决于其赋存形态(Fan et al., 2002; Akcay et al., 2003; Farkas et al., 2007),且不同赋存形态重金属的环境行为和生态效应也不同(Shikazono et al., 2012).因此,深入研究沉积物中重金属的赋存形态对于了解重金属来源、生物有效性及其潜在生态危害性具有重要意义(Usero et al., 1998; Farkas et al., 2007).
目前,国内外用于重金属赋存形态研究的方法主要有:1979年,Tessier等提出的五步连续提取法(Tessier法)(Tessier et al., 1979);1986年,Forstner等提出的六步连续提取法(Forstner法)(Förstner and Wittmann, 1983);1992年,欧共体标准物质局(Community bureau of reference)提出的三步提取法(BCR法)(Davidson et al., 1994).BCR法将重金属的形态分为: 弱酸溶解态(B1)、可还原态(B2)、可氧化态(B3)和残渣态(B4)(Ure et al., 1993).对比研究表明,BCR法操作简单,且重现性较好,已被广泛应用于土壤、沉积物中重金属富存形态研究(Yu et al., 2010;邱敏娴等,2013).
凉水河隶属海河流域北运河水系,是北京市区南部、南郊及东南郊的主要排水河道.凉水河以污水处理厂出水补给为主,为典型的非常规水源补给城市河流.近年来,随着城市建设的加快,区域内大量污水排入,严重污染了河流水体及周边环境.本文针对凉水河这一典型非常规水源补给城市河流的水污染问题,利用BCR法对其表层沉积物中重金属(Cd、Cr、Cu、Ni、Pb和Zn)的赋存形态进行研究,分析环境因子对其形态的影响,并进行生态风险评价,以期为该类河流水污染治理提供参考.
2 材料与方法(Materials and methods) 2.1 研究区域及样品采集本文选取凉水河干流及其主要支流为研究对象.凉水河干流发源于石景山,流经海淀、宣武、丰台、大兴、朝阳、通州等区县,全长53 km,流域面积约815 km2.该区域气候夏季高温多雨,冬季寒冷干燥,年降雨量约为590 mm左右,且主要分布在7—9月份.凉水河担负着区域排污的重要职责,近几十年来,城市生产/生活废水不断排入,年污水排放量达(1.5~1.8)×108 m3(Hu et al., 2010),致使河流水体变黑、变臭,水体自净能力下降,水污染问题突出(蒋林林和吴佩琦,2010).
基于凉水河水系的空间分布特征,并结合其污染源排放位置,选取凉水河干流上、中、下游及主要支流为研究区域,共设置24个采样点(干流14个、支流10个)(图 1).具体分布如下:1~4号采样点位于干流上游,5~7号采样点位于干流中游,8~14号采样点位于干流下游,15~24号采样点位于支流.表层沉积物样品于2013年6月采集,用抓斗式采样器平行3次采集0~10 cm沉积物样品,装入自封袋后置于车载冰箱中低温保存.沉积物样品带回实验室后,将其充分混匀、冷冻干燥、过100目尼龙筛后,置于自封袋中密封保存.
![]() |
| 图1 凉水河采样点示意图 Fig.1 Sampling sites in Liangshui River System |
沉积物中有机质含量采用烧失量法(Loss on ignition,LOI)测定(Ball,1964),沉积物粒径采用激光粒度分析仪(Mastersizer 2000,Malvern,USA)测定;重金属赋存形态采用BCR法测定,三步提取步骤如表 1所示(Rauret et al., 2000),重金属残渣态含量与总量的消解方法相同,均采用HF-HClO4消煮法(Bettinelli et al., 2000).
| 表1 BCR法提取步骤、所需试剂及提取组分 Table 1 Procedures,reagents and extraction fractions of BCR method |
在实验过程中,每批样品均同步分析空白、沉积物标准物质(GBW07304a)及重金属顺序提取形态标准物质(GBW07436),以减少误差.并控制回收率.重金属形态分析的每一步中,回收率范围在90%~110%之间,且将BCR提取的重金属不同形态含量加和与沉积物中重金属总量相比,其回收率介于80%~120%之间.
2.3 风险评价方法沉积物中重金属B1态键合相对较弱,易发生交换作用,生物有效性较强,而以有效态含量为基础来评价沉积物中重金属的风险比以其总量为依据的评价更有意义(Ghrefat and Yusufet al., 2006; Huang et al., 2011).本文采用风险评估指数法(Risk assessment code,RAC)评价凉水河表层沉积物中重金属生态风险(Singh et al., 2005b).该方法将B1态为有效态,根据其占重金属总量的比例来评价重金属风险程度,其标准为:B1态所占比例小于1%,无风险;1%~10%,低风险;11%~30%,中度风险;31%~50%,高风险;50%~75%,较高风险;高于75%,非常高风险.
3 结果与讨论(Results and discussion) 3.1 沉积物粒径和有机质含量凉水河表层沉积物粒径中值分布如图 2a所示,粒径中值在15.74~65.31 μm之间,平均值为53.18 μm.其中凉水河干流上游表层沉积物粒径中值在21.93~65.31 μm之间,平均值为45.91 μm;干流中游粒径中值在49.51~56.79 μm之间,平均值为54.24 μm;干流下游粒径中值在15.74 ~63.24 μm 之间,平均值为48.80 μm;支流粒径中值在52.92~61.48 μm之间,平均值为58.84 μm.支流表层沉积物粒径中值均值最高,而干流上游粒径中值均值最低.
![]() |
| 图2 凉水河水系表层沉积物粒径中值(a)和有机质含量(b) Fig.2 The median of particle size(a) and organic matter content(b)in the surface sediments of Liangshui River System |
凉水河表层沉积物中有机质含量分布如图 2b所示,有机质含量在1.03%~13.29%之间,均值为5.46%,变异系数(CV)为43.2%,空间差异性较大.其中,凉水河干流上游表层沉积物中有机质含量均值为8.59%,干流中游为5.71%,干流下游为4.71%,支流为4.67%.表层沉积物中有机质含量在干流上游最高,而在支流最低.与北京市土壤有机质背景值(1.6%)相比,凉水河表层沉积物中有机质含量略高,其中95%的采样点有机质含量超出背景值.
3.2 沉积物中重金属赋存形态及空间分布沉积物中重金属B1态包括可交换态(吸附在黏土、腐殖质等组分上的重金属)与碳酸盐结合态(重金属与碳酸盐矿物形成的共沉淀结合态)(Marin et al., 1997),该形态重金属在中性、弱酸条件下即可释放,易于被生物吸收利用,毒性最强(王亚平等,2012);B2态为Fe/Mn氧化物结合态,当水体中氧化还原电位降低或水体缺氧时,Fe/Mn氧化物会被还原,从而导致该形态重金属释放,进而引发上覆水体污染(王海等,2002);B3态为有机物及硫化物结合态,是指以重金属为中心离子,以有机质活性基团为配位体的结合或者是硫离子与重金属生成难溶于水的物质(王海等,2002),该形态重金属在强氧化条件下,可产生活性;B4态为残渣态,该形态重金属主要赋存于矿物晶格中,稳定性极强,一般认为不具有生物可利用性(徐圣友等,2008).
凉水河表层沉积物中各重金属形态含量见表 2,同时以重金属4种赋存形态总和为总量,通过计算各形态占总量的百分比,得到重金属形态分布图(图 3).从表 2和图 3可以看出,重金属各形态含量空间差异性较大.其中,Cd赋存形态在凉水河干流上、中、下游及支流表层沉积物中均以B1态为主,所占比值均值分别为33.10%、39.16%、39.94%和44.29%,可能是由于Cd与Ca的原子半径较近,在形成CaCO3沉淀时,会有一部分Cd与碳酸根结合,形成碳酸盐结合态(Ianni et al., 2002),且凉水河流域建设用地、农业用地所占比例较大,河流承纳大量区域废/污水,人为输入过程也会导致沉积物中重金属(Cd)B1态所占比例增加.
| 表2 凉水河表层沉积物中重金属各形态含量 Table 2 The contents of four fractions of heavy metals in the surface sediments of Liangshui River System |
![]() |
| 图3 凉水河表层沉积物中重金属各形态比例分布图 Fig.3 The percentage of different heavy metal fractions in the surface sediments of Liangshui River System |
Cr和Ni赋存形态特征相似,在凉水河干流上、中、下游及支流表层沉积物中均以B4态为主.其中,B4态Cr所占比例均值分别为81.20%、75.49%、76.70%和80.17%;B4态Ni所占比例均值分别为56.79%,59.00%,60.69%和66.27%.总体来看,Cr和Ni各形态所占比例大小顺序均为B4>B3>B2>B1,表明凉水河表层沉积物中Cr和Ni的生物可利用性低(徐圣友等,2008).与Cr和Ni相似,凉水河表层沉积物中Zn赋存形态以B4态为主,但B1态和B2态也均占较大比例.在干流上、中、下游及支流表层沉积物中,B4态Zn所占比例均值分别为34.27%、34.06%、40.45%和42.91%;B1态Zn所占比例均值分别为28.18%、27.96%、25.47%和25.42%;而B2态Zn所占比例均值分别为27.98%、29.08%、26.37%和20.85%.可见,区域人为输入已占凉水河表层沉积物中Zn的较大比例(王立硕等,2014).
Cu赋存形态以B2态和B4态为主,其中,在凉水河干流中、下游表层沉积物中以B2态为主,所占比例均值分别为39.95%和45.15%,干流上游和支流主要以B4态为主,所占比例均值分别为36.59%、44.39%.在整个研究区域,Pb赋存形态以B2态为主,其中,在凉水河干流中、下游和支流表层沉积物中以B2态为主,所占比例均值分别为56.50%、68.77%和44.16%,但干流上游以B4态为主,所占比例均值为56.30%.含Pb化合物大多抗风化能力强,Pb不易释放,但其可移动部分易与铁锰结合形成氧化物(董丽华等,2009).
沉积物中重金属可提取态(次生相,包括B1态、B2态和B3态)比例越高,越易释放出来造成二次污染,生物有效性也越强,而残渣态(原生相,B4态)主要赋存于矿物晶格中,只有在风化过程才能释放,基本不被生物利用(Teasdale et al., 2003).可提取态是衡量沉积物中重金属污染释放的一个重要因素,在凉水河表层沉积物中,除了Cr和Ni以原生相为主外,Cd、Cu、Pb和Zn均以次生相为主,占总量百分比分别达到71.96%、60.04%、65.17%和60.35%,可能是由于重金属以人为来源为主,主要以吸附形式存在颗粒物表面或与有机质结合,即以弱结合相存在于沉积物中(霍文毅等,1997;王立硕等,2014).
3.3 环境因子与重金属赋存形态相关性分析为探究沉积物粒径、沉积物中有机质含量对重金属形态分布的影响,对凉水河表层沉积物中重金属3种可提取态含量与环境因子进行相关性分析,结果如表 3所示.在凉水河表层沉积物中,仅B1态Cr与粒径中值呈正相关(p≤0.05),B1态Zn与有机质呈显著正相关(p≤0.01),其他形态Cr和Zn,及各赋存形态Cd、Cu、Ni和Zn与粒径中值和有机质均无相关性.与以往研究不同(李姗姗等,2013),在凉水河表层沉积物中,B3态(有机物及硫化物结合态)重金属与有机质含量无相关性,可能与该区域沉积物中B3态重金属含量偏低有关(表 2和图 3).
| 表3 凉水河表层沉积物粒径中值(Φ50)、有机质(OM)与重金属不同形态相关性 Table 3 The correlation of OM,Φ50 and heavy metals fractions in the surface sediments of Liangshui River System |
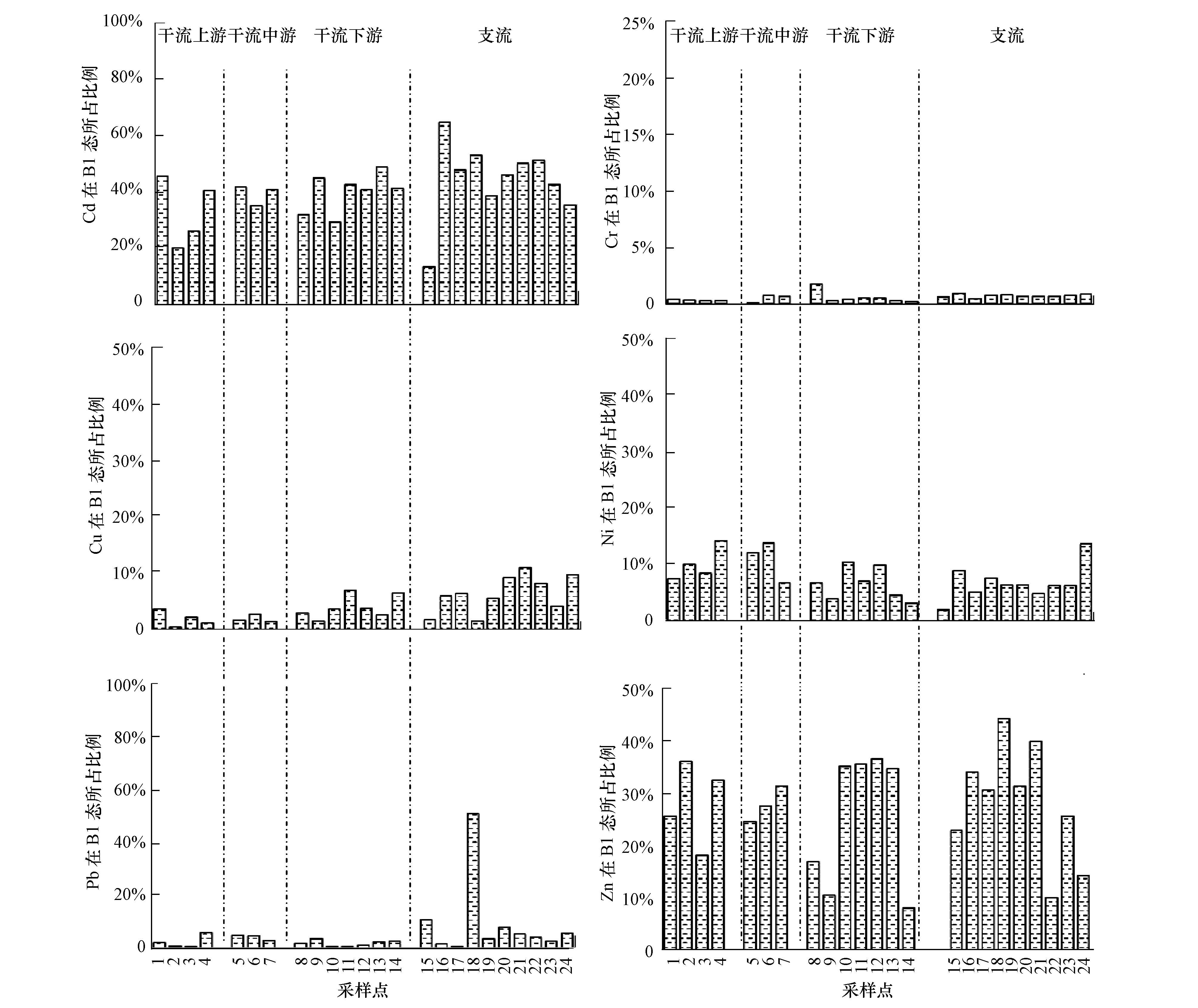
根据RAC风险评估指数法,以B1态占重金属总量百分比为基础,评价凉水河表层沉积物重金属的风险程度,结果如图 4所示.在空间分布上,Cd在各个河段表层沉积物中B1态占重金属总量的比例均值均在31%~50%之间,呈高风险;Cr在各个河段均值均小于1%,为无风险;Cu、Ni和Pb在各个河段均值均在1%~10%,处于低风险状态;Zn在各个河段均值均在11%~30%,是中度风险.在整个研究区域,表层沉积物中Cd风险最大,其B1态占总量的比例均值达到40.51%;Zn风险次之,其B1态占总量的比例均值达到26.21%;Cu、Ni和Pb的B1态占总量的比例均值依次为7.77%、5.01%和4.34%;而Cr的B1态占总量的比例均值仅为0.58%.
![]() |
| 图4 凉水河表层沉积物中重金属B1态占总量比例 Fig.4 The percentage of B1 fraction of the studied metals in the surface sediments of Liangshui River System |
1)凉水河表层沉积物中Cd以弱酸可溶解态为主;Cr、Ni和Zn以残渣态为主;Cu以可还原态和残渣态为主;Pb以可还原态为主.
2)相关性分析表明,弱酸可溶解态Cr与粒径中值呈正相关;弱酸可溶解态Zn与有机质呈显著正相关.
3)凉水河表层沉积物中Cd为高风险;Zn为中度风险;Cu、Ni和Pb为低风险;Cr无风险.
| [1] | Akcay H, Oguz A, Karapire C. 2003. Study of heavy metal pollution and speciation in Buyak Menderes and Gediz river sediments[J]. Water Research, 37(4):813-822 |
| [2] | Álvarez A E, Mochón M C, Sánchez J C J, et al. 2002. Heavy metal extractable forms in sludge from wastewater treatment plants[J]. Chemosphere, 47(7):765-775 |
| [3] | Ball D F. 1964. Carbon analysis in a mud sample based on loss on ignition[J]. Journal of Soil Science, 15(1):84-91 |
| [4] | Bettinelli M, Beone G M, Spezia S, et al. 2000. Determination of heavy metals in soils and sediments by microwave-assisted digestion and inductively coupled plasma optical emission spectrometry analysis[J]. Analytica Chimica Acta, 424(2):289-296 |
| [5] | Davidson C M, Thomas R P, McVey S E, et al. 1994. Evaluation of a sequential extraction procedure for the speciation of heavy metals in sediments[J]. Analytica Chimica Acta, 291(3):277-286 |
| [6] | 董丽华,李亚男,常素云,等. 2009.沉积物中重金属的形态分析及风险评价[J].天津大学学报, 42(12):1112-1117 |
| [7] | Fan W H, Wang W X, Chen J S, et al. 2002 Cu, Ni, and Pb speciation in surface sediments from a contaminated bay of northern China[J]. Marine Pollution Bulletin, 44(8):820-826 |
| [8] | Farkas A, Erratico C, Viganò L. 2007. Assessment of the environmental significance of heavy metal pollution in surficial sediments of the River Po[J]. Chemosphere, 68(4):761-768 |
| [9] | Förstner U, Wittmann G T W. 1983. Metal Pollution in the Aquatic Environment (2nd ed)[M]. Berlin Heidelberg:Springer-Verlag |
| [10] | Ghrefat H, Yusuf N. 2006. Assessing Mn, Fe, Cu, Zn, and Cd pollution in bottom sediments of Wadi Al-Arab Dam, Jordan[J]. Chemosphere, 65(11):2114-2121 |
| [11] | Hu W, Wang H Y, Zha T G, et al. 2010. Metal contamination and fractionation in sewage-irrigated soils along the Liangshui River, Beijing, China[J]. Soil and Sediment Contamination, 19(4):487-503 |
| [12] | Huang H J, Yuan X Z, Zeng G M, et al. 2011. Quantitative evaluation of heavy metals' pollution hazards in liquefaction residues of sewage sludge[J]. Bioresource Technology, 102(22):10346-10351 |
| [13] | 霍文毅,黄风茹,陈静生,等. 1997.河流颗粒物重金属污染评价方法比较研究[J].地理科学, 17(1):81-86 |
| [14] | Ianni C, Magi E, Rivaro P, et al. 2002. Trace metals in Adriatic coastal sediments:distribution and speciation pattern[J]. Toxicological & Environmental Chemistry, 78(1/2):73-92 |
| [15] | 李姗姗,单保庆,张洪. 2013.滏阳河表层沉积物重金属的赋存形态研究[J].环境科学, 32(11):2016-2023 |
| [16] | 蒋林林,吴佩琦. 2010.凉水河人工湿地效益评估[J].中国城市经济, (12):259-260; 262 |
| [17] | Marin B, Valladon M, Polve M, et al. 1997. Reproducibility testing of a sequential extraction scheme for the determination of trace metal speciation in a marine reference sediment by inductively coupled plasma-mass spectrometry[J]. Analytica Chimica Acta, 342(2/3):91-112 |
| [18] | 邱敏娴,胡恭任,于瑞莲,等. 2013.泉州湾洛阳江河口潮滩表层沉积物中重金属赋存形态分析[J].环境化学, 32(2):212-218 |
| [19] | Rauret G, López-Sánchez J F, Sahuquillo A, et al. 2000. Application of a modified BCR sequential extraction (three-step) procedure for the determination of extractable trace metal contents in a sewage sludge amended soil reference material (CRM 483), complemented by a three-year stability study of acetic acid and EDTA extractable metal content[J]. Journal of Environmental Monitoring, 2(3):228-233 |
| [20] | Shikazono N, Tatewaki K, Mohiuddin K M, et al. 2012. Sources, spatial variation, and speciation of heavy metals in sediments of the Tamagawa River in Central Japan[J]. Environmental Geochemistry and Health, 34(1):13-26 |
| [21] | Singh K P, Mohan D, Singh V K, et al. 2005a. Studies on distribution and fractionation of heavy metals in Gomti river sediments-a tributary of the Ganges, India[J]. Journal of Hydrology, 312(1/4):14-27 |
| [22] | Singh K P, Malik A, Sinha S, et al. 2005b. Estimation of source of heavy metal contamination in sediments of Gomti River (India) using principal component analysis[J]. Water, Air, & Soil Pollution, 166(1/4):321-341 |
| [23] | Teasdale P R, Apte S C, Ford P W, et al. 2003. Geochemical cycling and speciation of copper in waters and sediments of Macquarie Harbour, Western Tasmania[J]. Estuarine, Coastal and Shelf Science, 57(3):475-487 |
| [24] | Tessier A, Campbell P G C, Bisson M. 1979. Sequential extraction procedure for the speciation of particulate trace metals[J]. Analytical Chemistry, 51(7):844-851 |
| [25] | Ure A M, Quevauviller Ph, Muntau H, et al. 1993. Speciation of heavy metals in soils and sediments. An account of the improvement and harmonization of extraction techniques undertaken under the auspices of the BCR of the Commission of the European Communities[J]. International Journal of Environmental Analytical Chemistry, 51(1/4):135-151 |
| [26] | Usero J, Gamero M, Morillo J, et al. 1998. Comparative study of three sequential extraction procedures for metals in marine sediments[J]. Environment International, 24(4):487-496 |
| [27] | 王海,王春霞,王子健. 2002.太湖表层沉积物中重金属的形态分析[J].环境化学, 21(5):430-435 |
| [28] | 王立硕,毕见霖,王馨慧,等. 2014.非常规水源补给城市河流表层沉积物重金属污染及风险评价[J].环境科学学报, 35(3):903-910, doi:10.13671/j.hjkxxb.2014.0822 |
| [29] | 王亚平,王岚,许春雪,等. 2012. pH对长江下游沉积物中重金属元素Cd, Pb释放行为的影响[J].地质通报, 31(4):594-600 |
| [30] | 徐圣友,叶琳琳,朱燕,等. 2008.巢湖沉积物中重金属的BCR形态分析[J].环境科学与技术, 31(9):20-23 |
| [31] | Yu X J, Yan Y, Wang W X. 2010. The distribution and speciation of trace metals in surface sediments from the Pearl River Estuary and the Daya Bay, Southern China[J]. Marine Pollution Bulletin, 60(8):1364-1371 |
2015, Vol. 35





