2. 华北电力大学可再生能源学院, 北京 102206
2. Renewable Energy Academy, North China Electric Power University, Beijing 102206
随着城市建设和国民经济的发展,伴生了种种环境问题,其中,由于城镇化水平提高和人口数量攀升所导致的城市固体废物(MSW)肆虐现象尤为明显.MSW是城市生命体的主要排泄物,对城市生命体的健康状态起着重要作用.据不完全统计,我国约有420座大中型城市面临着被垃圾围城的局面.此外,由于MSW管理系统外延出的环境问题同样不容忽视,其中以温室气体(GHG)大量排放现象尤为突出(Batool et al., 2009;Lu et al., 2009).诸如CO2、N2O、CH4等温室气体会在MSW收集、运输、储存、处理过程中大量产生,引发全球气候变化并危害公众健康(Li et al., 2010).例如,在加拿大,2001年MSW管理系统的温室气体排放量为25.0×106 t(以CO2当量计),其中,填埋场的GHG排放量占总量的92%(Mohareb et al., 2008);在美国,2008年MSW管理系统排放的温室气体量占总量的2.3%(USEPA,2010).其次,MSW管理系统充满各种不确定性(崔林,2011),其不确定性不仅存在于MSW产量、处理设施处理能力、MSW运输路线、处理成本中,而且包含GHG排放率、GHG处理费用等.因此,亟需采取行之有效的MSW管理方案以合理分配MSW和降低环境影响.
规划模型是一种既实用又具有前瞻性的管理方法.例如,Marathas等(2013)基于多目标规划开发了一种适用于MSW系统管理和环境影响分析的多目标规划模型,模型的结果能够帮助决策者制定综合环境效益和经济效益的MSW管理方案.然而,大多数规划模型的MSW产量都是基于假设,从而在一定程度上限制了模型的实际应用.准确有效地预测未来MSW产量的变化规律,是MSW管理模型构建的基础,对于建造垃圾处理设施具有重大的指导意义.MSW管理系统是一个灰色系统,既包含已知信息,也有未知或未确定信息,MSW产量直接与城市人口、工业发展、人民生活水平有关.但若要从以上关系中确定MSW未来产量或其线性关系表达式是非常困难的.而根据灰色系统理论,可以不去研究MSW管理系统内部因素及相互关系,而是把受各种因素影响的固废产量视为在一定范围内变化的与时间有关的灰色量,从其自身的数据列中挖掘有用信息,建立模型来寻找和揭示系统固体废物产量的潜在规律.而单一的预测方法也不能客观地反映MSW的变化趋势,需要组合多种预测方法和设定多种情景才能较为准确地反映客观事实.另一方面,MSW管理系统包含多个决策层面.例如,在MSW系统管理过程中,环境部门会更多地关注MSW系统的环境效益,而MSW管理部门更倾向于经济效益.无论是单目标规划还是多目标规划都难以解决此类问题,而双层规划最适宜该类问题的求解(He et al., 2011).
综合以上分析,本研究的目的在于综合多种预测方法和情景分析法以准确反映MSW未来的发展动态和规律,并在此基础上,结合双层规划模型(BLP),建立以GHG控制为上层目标,MSW管理成本最小化为下层目标的MSW管理模型(BLP-MG&MC).最后,将所开发的BLP-MG&MC模型应用到北京市MSW管理系统,以期为不同决策层面的管理者提供切实可行的管理方案.
2 案例研究(Case study)北京市的MSW产量巨大,由2000年的216.0万t增至2012年的648.3万t.截至2013年,全市共有6座垃圾中转站,其主要服务范围为城八区,设计处理能力达到7880 t · d-1;由于填埋场占地面积大且污染严重,其发展已受到政策制约,目前有13座填埋场还在运行,处理能力达到9850 t · d-1;5座垃圾堆肥厂的总处理能力为3750 t · d-1;正在运行和拟建的焚烧厂的总处理能力高达10200 t · d-1.研究数据表明,2013年北京市的垃圾填埋(直接填埋量)、堆肥和焚烧的比例分别达到28.4%、37.8%和33.8%(王景甫等,2014).图 1详细地展现了北京市现有的MSW具体物流方向,其可量化为双层规划模型中的一个具体的约束条件,使所建的模型更具说服力和现实意义.此外,根据《北京市生活垃圾处理设施建设3年实施方案(2013—2015)》规定:在“十二五”期间,北京市垃圾焚烧、堆肥、填埋处理比例需要达到4 ∶ 3 ∶ 3,垃圾资源化利用率需达到7成以上,这可作为规划模型的输入参数.另一方面,在MSW处理过程中均会排放大量的温室气体而导致环境污染.例如,CH4排放主要来自填埋场,焚烧厂则是N2O排放的贡献大户.
3 预测方法情景设计(Scenarios design for forecasting methods)MSW产量预测的常用方法可分为两类:一是趋势外推法,二是情景分析法.本文拟结合这两类预测方法,对北京市未来MSW产量进行预测.其中,趋势外推法以灰色理论为基础,综合常规GM(1,1)模型、尾部残差修正模型、灰色Verhulst模型和一元回归模型,建立变权重组合预测模型,其具体的建模思路不再赘述,详见文献(刘思峰等,2008;邓聚龙,2002;周文,2012;李志涛等,2009;赵国忻等,2000;李静,2007).考虑到“十三五”时期,北京市社会将面临着多重不确定因素,其中,人口规模的不确定尤为突出.因此,为近一步提高预测的准确度,本文以趋势外推法为基准情景(BAS),根据北京市往年人口数据,结合情景分析法并设计3种方案,具体方案如下.
![]() |
| 图 1 北京市MSW管理系统示意图 Fig. 1 MSW management system of Beijing |
方案A:人口正增长.该方案预设北京市未来人口的年增长率为1.2%,预计2015年、2020年和2025年北京市的人口将分别为2165.8万人、2299.0万人和2440.2万人.
方案B:人口零增长.该方案推荐北京市未来人口维持现有水平,即2114.8万人.
方案C:人力负增长.该方案假定北京市未来人口的年增长率为-1.2%,则预计2015年、2020年和2025年北京市的人口将分别达到2064.3万人、1943.4万人和1829.0万人.
4 双层规划模型建立 (Bi-level programming model setup)本文以环境目标为上层目标,经济目标为下层目标,之所以这样构建模型,主要从以下两点考虑:①从北京市角度分析:北京市近几年加快了城市规划和环境质量改善的建设步伐,所以结合北京市现状和未来规划,本文的环境目标优先于经济目标;②从模型角度分析:在双层规划中,上层目标函数同时受到上层约束条件和下层约束条件的限制,而下层目标函数仅受到下层约束条件的限制,所以,由此得出的规划结果更加有利于北京市MSW管理系统的环境影响控制.
4.1 上层目标函数以环境效益为上层目标,并选取MSW管理系统的GHG排放量(以CO2当量计)最小化来表征环境效益,具体如下:






式中,t为规划时段(t=1为2015年,2为2020年,3为2025年);z为中转站编号;l为填埋场编号;c为堆肥厂编号;v为焚烧厂编号;L为规划时段长度(d);
为系统温室气体总排放量(t,以CO2当量计)
分别为运输过程、中转站、填埋场、堆肥厂和焚烧厂的温室气体排放量(t,以CO2当量计);XT为中转站处理的固体废物量(t · d-1);XTL、XTC、XTI分别为中转站运往填埋场、堆肥厂和焚烧厂的固体废物量(t · d-1);XL、XC、XI分别为区县直接运往填埋场、堆肥厂和焚烧厂的固体废物量(t · d-1);XCL、XIL分别为堆肥厂、焚烧厂运往填埋场的剩余固体废物量(t · d-1);GHG为单位固体废物温室气体排放量(t,以CO2当量计).
处理设施扩建方案约束为:

式中,o、p、q分别为中转站、堆肥厂和焚烧厂的扩建方案;M、D、G是整数变量(0或1),分别代表中转站、堆肥厂、焚烧厂是否需要进行扩建.
环境质量约束为:

式中,SE为允许温室气体的最大排放量(t,以CO2当量计).
4.3 下层目标函数以经济效益为下层目标函数,主要包括系统运行投入和系统收益.


式中,gL为MSW系统总成本(元);InvL为系统资金投入(元);ProL为系统收益(元);
分别为中转站、填埋场、堆肥厂、焚烧厂、系统扩建资金投入(元);FC、FI分别为堆肥厂和焚烧厂固体废物剩余率,一般取0.10,0.08;OT、OL、OC、OI分别为中转站、填埋场、堆肥厂、焚烧厂的运行成本(元);ξ、η分别为堆肥厂和焚烧厂的单位固体废物发电量(kW · h · t-1);PCE、PIE分别为堆肥厂和焚烧厂的发电成本(元 · kW-1 · h-1);GCE、GIE分别为堆肥厂和焚烧厂发电的大气治理成本(元· kW-1 · h-1); PT、PC、PI分别为中转站、堆肥厂、焚烧厂的扩容成本(元).

式中,
分别为中转站、堆肥厂、焚烧厂的收益(元);PROT、PROC、PROI分别为中转站、堆肥厂、焚烧厂的单位固体废物收益(元 · t-1);Ω为堆肥厂的产肥系数;FT为中转站固体废物剩余率,一般为90%;RIE、RCE分别为焚烧厂和堆肥厂的发电收益(元 · kW-1 · h-1);PCF为产肥收益(元 · t-1);GRI为焚烧厂发电的单位政府补贴(元 · t-1).
填埋场容积约束为:

式中,TFC、MFC分别为填埋场的最大处理量和最小处理量(t · d-1).
中转站容积约束为:

式中,TC、ΔTC和MC分别为中转站的初始处理量、扩容量、最小处理量(t · d-1).
堆肥厂容积约束为:

式中,TCC、ΔTCC和MCC分别为堆肥厂的初始处理量、扩容量、最小处理量(t · d-1).
焚烧厂容积约束为:

式中,TIC、ΔTIC和MIC分别为堆肥厂的初始处理量、扩容量、最小处理量(t · d-1).
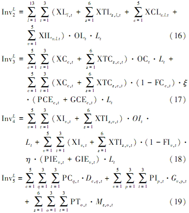
物质平衡约束为:


式中,
为预测的各区县固体废物日产量(t · d-1);
为预测的总固体废物日产量(t · d-1).
转移率约束为:

式中,GL、GC、GI分别为填埋场、堆肥厂和焚烧厂的转移率;GT为中转站对城八区固体废物收集率.
技术约束为:

依据现场调研和文献资料,搜集模型主要参数,如表 1和表 2所示.
| 表 1 MSW管理系统各项费用 Table 1 Cost of MSW management system |
| 表 2 处理单元的温室效应潜值 Table 2 Global warming potential(GWP)of processing units |
针对双层规划问题,本文引入模糊满意度并利用Lingo软件进行求解(Kasperski,2005;Emam,2006),具体步骤如下:①上层和下层目标先利用Lingo软件独立求解,分别得到相应最优方案(
和
和
,其中,
分别为上层和下层目标的MSW最优分配结果;②在上、下层目标分别设定一个容忍区间的阈值,即
;③确定阈值,假定上层的环境目标和下层的经济目标完全对立,则上层目标的阈值可通过
代入上层目标函数求得;下层目标的阈值则通过
代入下层目标函数求得;④分别在上、下层目标引入满意度εU和τL,建立如式(42)的表达式; ⑤为同时满足上、下层目标函数的满意度,引入全局满意度φ并建立表达式φ=Min{εU,τL},则双层规划问题可以转化为求解全局最大满意度(Maxφ),约束条件包含上、下层约束,通过单目标规划方法的求解方法可得到模型最终最优解.

基于北京市2004—2012年MSW年产量的历史数据,综合利用多种预测模型并得到主要预测模型的时间响应曲线(其中,t′=1为2005年,以此类推),具体方程如下:
常规GM(1,1)模型的时间响应式:
尾部残差修正模型的时间响应式:
Verhulst模型的时间响应式:
一元回归模型的时间响应式:
在各单项预测模型结果的基础上,根据变权重组合预测模型(基准情景,BAS)的计算思路可以预计北京市未来MSW产量.另外,假定北京市未来的人均MSW日贡献量为1.0 kg,结合情景分析法中的3种设计方案可以计算出北京市未来的MSW变化情况,以2015年、2020年和2025年3个规划时段为例,结果如表 3所示.预测结果显示,北京市规划期内的MSW产量增幅并不大.从产源地分析,朝阳区和海淀区是两大MSW“产户”,这主要与该地区人口基数大有关;从空间布局分析,MSW主要来源于近、远郊区,而城四区由于对人口数量的严格控制MSW产量并不大;从处理设施供需分析,即使在焚烧厂和堆肥厂满负荷运行的条件下,北京市要想2015年前实现70%以上MSW资源化利用,MSW处理设施依然存在约1000~4000 t的缺口.北京市已认识到全市人口与经济规模已远超该地区的环境承载力,并正在试图通过调整低端服务业,将人口向外迁移,控制人口增长.在这样背景下,方案C和基准情景(BAS)预测值是北京市未来最有可能执行的方案,而方案A则会给全市的处理设施和环境带来较大压力.
| 表 3 2015年、2020年和2025年北京市MSW预测 Table 3 MSW output prediction of Beijing in 2015,2020 and 2025 |
基于上述分析,本文以基准情景的预测值作为模型的输入参数,具体分析如下.BLP-MG&MC模型的求解结果表明,2015年、2020年、2025年分别有8920、9375、9734 t生活垃圾运输至中转站进行预处理.填埋场、堆肥厂和焚烧厂的MSW分配方案如表 4~5所示.结果显示,焚烧厂处理量最大,堆肥厂次之,在3个规划时段内,两者的处理比例分别高达74.5%、78.7%和73.2%;填埋场则由于政策约束和环境约束,处理比例不大.
| 表 4 填埋场的最优分配方案 Table 4 Solutions of l and fill facilities |
MSW的产生和处理必须相协调,否则会对人体健康和环境带来隐患.当现有设施的处理能力无法与日益增加的MSW产量相匹配时,需要系统扩容.BLP-MG&MC模型给出了3个规划时段内的具体扩容方案,具体如图 2所示.由图 2可以看出:中转系统在2015年需要扩容1800 t,具体分别为五路居中转站(z=2)、马家楼中转站(z=3)和梨园中转站(z=6)各扩容500 t,小武基中转站(z=4)扩容300 t;2025年大屯中转站(z=5)需要扩容300 t;堆肥厂因同时具有环境和经济效益的优势,所以堆肥厂的使用会受到决策者的更多重视,3个规划期内,其扩容总量分别达到2600、1700和700 t;高安屯焚烧厂、阿苏卫焚烧厂则分别在2025年和2015年扩容400 t和600 t.
| 表 5 堆肥厂和焚烧厂的分配方案 Table 5 Solutions of composting and incineration facilities |
![]() |
| 图 2 处理设施扩容方案图 Fig. 2 Facility-expansion schemes |
MSW管理系统的成本主要由系统运行投入和系统收益决定的.模型计算结果表明:3个规划时段的系统总成本将达到7.0×109元,其中,中转系统的运行投入和收益分别为2.0×109元和4.5×107元,净成本约占系统总成本的28%;系统扩容成本为2.0×108元,大概是总成本的2%;由于焚烧厂和堆肥厂处理量高于MSW总量的70%,所以两者净成本约占系统总成本的65%;而约有总成本的4.3%用于填埋场的运行.
5.2.2 GHG控制方案分析根据表 2的温室气体排放当量和全球变暖趋势的关系,结合北京市MSW的具体分配方案,可以定量表征MSW管理系统对环境的影响.BLP-MG&MC模型计算结果表明,在3个规划时段内,GHG排放当量达到1.67×106 t(以CO2当量计).由上层目标函数可知,GHG均会在MSW运输过程、中转系统和终端处理系统产生(表 6).由表 6可知,虽然北京市大幅度降低了垃圾填埋比例,但填埋场仍然是GHG的首要排放单元,其排放当量占总量的54.48%,其次,来自焚烧厂的贡献率也不容忽视,其排放当量已达总量的19.57%.
| 表 6 主要处理单元的温室气体排放比例 Table 6 GHG-emission proportion of major process units |
图 3为每个规划时段的填埋场、堆肥厂、焚烧厂所排放的不同类型温室气体量的趋势对比.从时间上看,第2个规划时段(即2020年)GHG排放量(以CO2当量计)最少,其主要原因在于该段时间内运往填埋场的MSW量最少,从而一定程度上降低了MSW管理系统对环境的影响.另一方面,填埋场是CH4的主要排放源,3个规划时段内,来自填埋场的CH4排放量(以CO2当量计)分别占GHG总量的37.4%、35.1%、39.6%;填埋场对CO2排放量也有贡献,CO2另一排放源为焚烧厂,两者的CO2排放量约占CO2排放总量的60.0%;N2O则主要来源于焚烧厂和堆肥厂,3个规划时段内,其在全球变暖趋势的贡献率分别达到26.4%、29.3%、27.0%.
![]() |
| 图 3 填埋场、堆肥厂、焚烧厂的不同温室气体排放当量 Fig. 3 Different types of GHG emissions from l and fill facilities,composting facilities and incineration facilities |
模型中涉及的各参数对决策结果有着重要的影响,因此,有必要开展灵敏度分析以确定参数的变化对模型结果的影响.本文重点考察了MSW产量变化的影响,其变化值来源于各种设计情景的预测值.灵敏度分析的结果如图 4所示.结果表明,系统成本的变化范围为6.8×109元到8.3×109元,GHG排放量的变化范围为1.64×106~1.99×106 t(以CO2当量计).方案A的系统成本和GHG排放当量比基准情景(BAS)分别增加18.6%和19.2%,而方案C的输出结果与基准情景(BAS)结果相差不大.总体而言,MSW产量的不确定性会对模型的规划结果产生重要影响.
![]() |
| 图 4 不同设计情景的规划结果 Fig. 4 Solutions under different scenarios |
以环境或经济目标为主要目标函数,建立两个传统的单目标规划模型(GHG控制规划:LP-MG和系统成本控制:LP-MC),同时可以调整本文的上、下 层目标函数次序,建立以经济目标为上层目标函 数,环境目标为下层目标函数的双层规划模型(BLP-MC&MG).表 7对比了4种模型的结果,其中以GHG排放量(以CO2当量计)、系统成本、垃圾资源化利用率、处理设施利用率为主要对比指标,并以堆肥厂和焚烧厂处理量占MSW总量的百分比表征垃圾资源化利用率.从表 7中可以看出,LP-MG模型仅考虑环境影响,所以该模型会得到最低的GHG排放量和最高的垃圾资源化利用率,但同时付出了高昂的系统成本,还容易造成系统不合理地进行设施扩容而降低处理设施利用率;LP-MC只追求系统成本最小化,忽视了环境影响和垃圾资源化利用,在这种情况下,填埋场因运行成本低而成为决策者的第一选择;BLP-MG&MC和BLP-MC&MG则同时兼顾环境和经济影响,可以为不同决策层面的决策者提供更加合理的GHG控制方案、适当的系统运行成本和适中的垃圾资源化利用率,其中,BLP-MG&MC更注重环境影响控制,所以其GHG排放量相对较少,而BLP-MC&MG更倾向于经济成本控制,所以其系统成本较低.
| 表 7 四种模型结果综合对比 Table 7 Comprehensive comparison of the four models |
1)基于变权重组合预测模型和情景分析法,可以得出北京市未来MSW的变化趋势.预测结果表明,规划期内北京市的MSW产量增幅不大,处理设施缺口达到1000~4000 t;方案C和基准情景(BAS)的预测结果对于北京市MSW管理更具参考价值.这不仅为北京市未来的城市规划提供了必要基础资料,也为双层模型的建立提供了科学数据支持.
2)双层规划模型的运行结果说明:焚烧和堆肥将是北京市未来MSW的主要处理方式;填埋场仍然是GHG排放当量的首要贡献单元,尤其以CH4排放当量为主,而来自焚烧厂的N2O的污染同样不容忽视;通过与两个单目标规划对比分析,双层规划模型更能提供综合环境和经济因素的规划方案.
3)结合组合预测模型和情景分析法的预测结果,开展以MSW产量为主要变量的模型灵敏度分析.结果表明,MSW产量的不确定性将会影响模型的规划结果.
| [1] | Bato ol S A, Chuadhry M N. 2009. The impact of municipal solid waste treatment methods on greenhouse gas emissions in Lahore, Pakistan [J]. Waste Management, 29(1): 63-69 |
| [2] | 崔林. 2011. 不确定优化方法用于城市固体废物管理 [D]. 北京: 华北电力大学 |
| [3] | 邓聚龙. 2002. 灰预测与决策(修订版)[M]. 武汉: 华中科技大学出版社 |
| [4] | Emam O E. 2006. A fuzzy approach for bi-level integer non-linear programming problem [J]. Applied Mathematics and Computation, 172(1): 62-71 |
| [5] | He L, Huang G H, Lu H W. 2011. Greenhouse gas emissions control in integrated municipal solid waste management through mixed integer bilevel decision-making [J]. Journal of Hazardous Materials, 193: 112-119 |
| [6] | 纪丹凤. 2010. 城市生活垃圾处理处置的生命周期与环境经济评价—以北京市为例 [D]. 北京: 北京化工大学 |
| [7] | Kasperski A. 2005. A possibilistic approach to sequencing problems with fuzzy parameters [J]. Fuzzy Sets and Systems, 150(1): 77-86 |
| [8] | 李静. 2007. 变权重组合预测模型的局部加权最小二乘解法 [J]. 统计与信息论坛, 22(3): 44-47 |
| [9] | Li Y P, Huang G H. 2010. An interval-based possibilistic programming method for waste management with cost minimization and environmental-impact abatement under uncertainty [J ]. Science of the Total Environment, 408(20): 4296-4308 |
| [10] | 李志涛, 张宇峰, 姚藩照, 等. 2009. 变权重组合预测模型在生活垃圾产量预测计算中的应用 [J]. 南京工业大学学报(自然科学 版), 31(2): 97-101 |
| [11] | 刘思峰, 谢乃明. 2008. 灰色系统理论及其应用(第4版)[M]. 北京: 科学出版社 |
| [12] | Lu H W, Huang G H, He L, et al. 2009. An inexact dynamic optimization model for municipal solid waste management in association with greenhouse gas emission control [J]. Journal of Environmental Management, 90(1): 396-409 |
| [13] | Mavrotas G, Skoulaxinou S, Gakis N, et al. 2013. A multi-objective programming model for assessment the GHG emissions in MSW management [J]. Waste Management, 33(9): 1934-1949 |
| [14] | Mohareb A K, Warith M A, Diaz R. 2008. Modelling greenhouse gas emissions for municipal solid waste management strategies in Ottawa, Ontario, Canada [J]. Resources, Conservation and Recycling, 52(11): 1241-1251 |
| [15] | US Environmental Protection Agency (USEPA). 2010. Inventory of U. S. Greenhouse Gas Emissions and Sinks: 1990-2008[R]. Washington DC: US EPA |
| [16] | 王景甫, 周宇, 李静岩, 等. 2014. 北京市生活垃圾的现状及其变迁 [J]. 生态经济, 30(2): 62-64 |
| [17] | 赵国忻, 王明涛. 2000. 一种变权重组合预测方法研究 [J]. 西北纺织工学院学报, 14(3): 226-232 |
| [18] | 周文. 2012. Verhulst模型在城市生活垃圾产量预测中的应用 [J]. 山西建筑, 38(19): 218-219 |





