2. 中国科学院新疆生态与地理研究所荒漠与绿洲生态国家重点实验室, 乌鲁木齐 830011
2. State Key Laboratory of Desert and Oasis Ecology, Xinjiang Institute of Ecology and Geography. Chinese Academy of Sciences, Urumqi 830011
重金属污染具有持久、易累计、毒性大等特点,在国内外环境科学研究中日益引起广泛的关注(李梅英等, 2009a,b; 孙振军,2010; Zhang et al., 2013).相对于土壤、水体中重金属可以在一定条件下直接被生物吸收并可随食物链逐级累积,其危害极大(Hakanson,1980; Kar et al., 2008; Li et al., 2013; Wongsasuluk et al., 2014).近年来随着经济的迅速发展,城市工业废水和生活污水的长期无处理或处理不达标排放造成了河流中污染物质,尤其是有机污染和重金属污染物的含量增加,已成为当今世界最严重的水环境问题之一(申锐莉等,2006; Zhang et al., 2013; Zhu et al., 2013).
水体中重金属的赋存形态,具有不同的生物可给性和毒性效应,直接影响其迁移转化规律.有研究表明,对溶解态重金属的吸收是贝类累积重金属的重要来源之一(李磊等,2013).研究水体中重金属的含量及有效形态,对于弄清水体污染状况及潜在生态危害,采取有效的控制措施保护水资源和治理水污染具有重要意义.已有的水体溶解态重金属的研究大多集中于海湾、河口、水库等区域,研究范围包括分析其空间分布特征及行为等(冯启言等,2004; Kar et al., 2008; 燕姝雯等,2011).在众多方法中多元统计分析方法广泛应用于辨识水体中重金属的来源(刘玉燕等,2006; 李梅英等, 2009a,b; 田林锋等,2011a).单因子评价法、综合污染指数法、分级评价法、内梅罗污染指数法、模糊综合评价法和水质标识指数法等广泛应用于评价水体的水质状况(兰文辉和安海燕,2002; 李名升等,2012).
天山是中亚的湿岛,发源于天山的地表水系构成了干旱区绿洲生命的重要载体.新疆的多条大河,如伊犁河、阿克苏河、开都河均发源于此,山地水资源的变率与绿洲经济的发展息息相关(胡汝骥,2004; 新疆统计局,2012).相关研究表明,近年来随着区域经济开发的不断深入,天山中部乌鲁木齐-阿克苏区段和天山东部巴里坤-伊吾区段土壤及地表水体重金属含量增高(刘玉燕等,2006; 陈牧霞等,2007; 易治伍等,2009; 罗艳丽等,2012; 陈洪等,2013; 穆叶赛尔 · 吐地等,2013).但目前依然缺乏经济迅速发展背景下天山典型区段河流干支流水体中重金属分布、来源及污染状况的研究,同时对于该区域地表水体中重金属有效形态的研究也未见报道.
基于此,本研究以近年来经济迅速发展的天山东部的巴里坤-伊吾区段、天山中部的乌鲁木齐-阿克苏区段和天山西部的昭苏-特克斯区段为研究区,通过采集河流干、支流水样,测定其中微量重金属Zn、Cu、Pb、Cr、As、Hg、Cd的总量、有效态含量以及水温、pH值、COD、Eh等水质参数,然后采用多元统计分析方法及污染指数评价方法分析经济发展背景下,天山山地河流中重金属的分布、来源、污染状况及潜在的生物毒性,同时结合国家地表水环境质量标准和WHO饮用水健康标准,评价其水质状况.研究成果可为天山山地的水资源保护与有效利用、绿洲经济发展及合理规划提供一定参考.
2 材料与方法(Materials and methods) 2.1 研究区概况天山山地横亘于中亚(40°~45°N,67°~95°E),主要分布在中国境内的新疆,东西长约2500 km,南北宽约250~300 km,平均海拔约2 km,总面积5.7×104 km2.天山将新疆分为两大部分:南部为塔里木盆地,北部为准噶尔盆地.由于地处西风带以及巨大的高度和独特的山地走向,天山山体拦截了来自大西洋和北冰洋的大量水汽,带来大量降水,使之成为干旱区中的水塔,众多内陆河流发源于此,因此被称为“旱海荒漠中的湿岛”.天山山地气候大陆性特色鲜明,以冬夏气温趋于极端为特征,降水的季节变化较大.其中山区降水丰富,北坡年降水量可达500~700 mm,西段个别处可达1000 mm.天山极高山带发育大量的冰川.丰沛的降水与冰川融水使之成为众多河流、湖泊的发源地,新疆约65%的河流发源于此,年总径流量约为474×108 m3,占新疆年径流总量的54%.我国最长的内陆河-塔里木河和水量最大的内陆河-伊犁河均发源于此.河流汇集雪冰融水与雨水,灌溉山间盆地和谷地、山前平原农田和牧场(胡汝骥,2004).
随着近年来国家西部大开发战略的深入实施,天山绿洲经济取得了迅速发展.天山中部的乌鲁木齐(86°37′~88°58′ E,42°45′~45°00′ N)地处亚欧大陆中心,天山山脉中段北麓,准噶尔盆地南缘,西部和东部与昌吉回族自治州接壤,南部与巴音郭楞蒙古自治州相邻,乌鲁木齐是是第二亚欧大陆桥经济带,中国西部重要的经济中心,总面积1.4万km2,辖7区1县,经济总量在全疆居于首位,近年来石油化工、煤化工产业对区域环境影响极大;阿克苏地区(78°03′~84°07′E,39°30′~42°41′N)位于天山南部,塔里木盆地北缘,东邻巴音郭楞蒙古自治州,西南与喀什地区接壤,西北与吉尔吉斯斯坦共和国、哈萨克斯坦共和国交界,总面积13.25万km2,占新疆面积的8%,全地区辖8县1市,近年来石油、天然气开采对环境影响明显(Zhang et al., 2013);天山东部的巴里坤哈萨克自治县(91°19′~94°48′E、43°21′~45°5′N)和伊吾县(93°35′~96°23′E,42°54′~44°29′N)位于新疆东北部,天山北坡东段(总面积3.84万km2和1.95 km2),产业结构以农牧业和旅游业为主,近年来工业经济也有一定发展;天山西部昭苏县(80°10′~80°30′E,42°38′~43°15′N)和特克斯县(81°19′~82°37′E,42°22′~43°25′N)位于伊犁河上游流域,行政区划上属于伊犁哈萨克自治州(总面积1.12万km2和0.84万km2),经济结构以牧为主,生态环境状况保持较好.
2.2 样本采集样品采集时间在2011—2012年夏季(7、8月份),为各河流水量丰沛时期,也为山地绿洲工农业生产用水最集中时期.在此时期采集的河流水样可以综合反映人为因素对天山河流水质的影响.考虑地形及交通等因素,在实际采样过程中以交通干道为基准,依据通达性原则,采集沿途河流干支流水样,共采集样品(包括河流干、支流)55个.在采样过程中采用平行采样的方式,各样点水样品的采样深度均在河流干、支流水体的0-20 cm层.在采样过程中每个位置水样品取3份、每份水样品均取自3个重复的混合,水样品采集后1份加HNO3至pH < 2保存,1份用0.45 μm滤膜抽滤,加HNO3至pH < 2保存,另1份不做处理.在取样同时记录样点位置、取样日期、水温度、植被类型、样品的颜色和周围环境状况以备分析.
![]() |
| 图 1 研究区及采样点分布图 Fig.1 The research area and sampling sites |
样品带回实验室后,未经消化处理的水样采用玻璃电极法测定pH值,化学需氧量(COD)按(GB11914-89)标准方法测定.在本研究中,以未经过滤的样品的直接测定值作为水体中重金属总含量;过0.45 μm滤膜抽滤的样品测定值作为水体中溶解态含量,二者之差表示水样品中颗粒态含量.所有样品测试均在中国科学院新疆生地所理化测试中心完成.水样前处理完成后,As和Hg采用原子荧光光谱法(Atomic Fluorescence Spectrometry,AFS)测定;Cu、Zn、Pb、Cr、Cd采用等离子体质谱法(Inductively Coupled Plasma-Mass Spectrometry,ICP-MS)测定.测试中,重金属检出限采用测定空白溶液的标准偏差的3倍时所对应的分析物浓度,各重金属的检出限分别为As(0.008)、Hg(0.006)、Cu(0.005)、Zn(0.004)、Pb(0.005)、Cr(0.005)和Cd(0.002)μg · L-1.采用的重金属标准溶液为国家一级标准物质(Gss 系列).所有样品测试完成后再抽取总样品数的15%进行重复性检验.检验结果表明,本次测试的相对误差约 5%,表明本次水样品测试的质量符合要求.测试中所有存放和处理样品的容器均经过10%的硝酸浸泡24 h,然后用去离子水洗净使用.
2.4 污染评价方法本研究中采用单因子污染指数法和内梅罗污染指数法评价天山山地河流中重金属的污染状况,同时也有利于与国内外研究的对比.采用公式如下:


式中,Pi表示水体中重金属的单因子污染指数;I表示水体中重金属的综合污染指数;Max 是水体中重金属的最大浓度值;i是重金属的类别;Ci是水体中重金属的测试浓度;n是水体中重金属评估的种类总数;Si是水体中重金属的标准值,从天山山地3个采样区段河流水体中重金属含量较低的实际特点出发,本研究中采用地表水环境质量标准中的Ⅰ类标准值(GB 3838—2002).
参考相关文献,单因子污染指数和综合污染指数的评价标准见表 1(申锐莉等, 2006,2007;解莹等,2012).
| 表 1 单因子污染指数及综合污染指数评价标准 Table 1 Standards for single factor pollution index (Pi) and synthetic pollution index (I) |
根据已测定的7种重金属含量和水质参数(温度、pH、Eh、COD)数据,运用描述性统计分析方法和多元统计分析方法分析天山山地河流水体中重金属及各水质参数的分布特征、来源及影响因素.采用国家Ⅰ类水质标准(GB 3838—2002)以及WHO饮用水健康标准评价重金属污染和水质状况.运用单因子污染指数法和内梅罗污染指数法评价重金属的污染状况.通过测定重金属的水溶态含量分析其分布特征并评价潜在的生物毒性.计算过程均采用Spass 19.0和Matlab 7.0 软件完成,图表采用CorelDraw 12.0软件进行处理、输出.
3 结果与分析(Results and analyses) 3.1 描述性统计特征 3.1.1 水质参数测试分析结果表明(图 2、表 2),天山山地3个采样区段河流水温均在15~25 ℃之间;pH值在7.5~8.5之间,大部分在8.0左右,为偏碱性的环境,这也反映出天山山地地球化学背景值高的特点(Zhang et al., 2013).各取样河流水体的氧化还原反应电位值均在150~200 mV之间,为弱氧化的环境.化学需氧量(COD)在1~7 mg · L-1之间,其中在天山中部乌鲁木齐-阿克苏区段河流中的平均值高于天山东部的巴里坤-伊吾区段和天山西部的昭苏-特克斯区段.在经济发展水平相对较高的天山中部乌鲁木齐-阿克苏区段,河流干支流的水温、氧化还原反应电位值(Eh)和化学需氧量(COD)均高于天山东部的巴里坤-伊吾区段和天山西部的昭苏-特克斯区段干支流;pH值则相反.参考相关文献及报道这应与天山地区经济发展过程中富氧污染物质排放的差异性密切相关(燕姝雯等,2011; 新疆环保局,2012).总体上看,天山山地河流中好氧有机物的含量较低,水质状况良好.
![]() |
| 图 2 各区段水质监测箱式图 (Z-T: 天山西部昭苏-特克斯区段; W-A: 天山中部乌鲁木齐-阿克苏区段; B-Y: 天山东部巴里坤-伊吾区段) Fig.2 Box plots of monitoring data of water quality in each section of the Tianshan Mountains |
| 表 2 地表水水质和WHO引用水健康建议标准 Table 2 Surface Water Quality Standards of People′s Republic of China (GB 3838—2002) and Drinking Water Guideline from WHO (2011) |
统计分析表明(图 3),在天山山地3个采样区段河流中7种重金属的含量较低,范围在0~16.32 μg · L-1之间.其中重金属 Pb、Hg、Zn 在天山东部的巴里坤-伊吾区段干支流出现最高值分别为 12.01 μg · L-1、16.32 μg · L-1和11.45 μg · L-1,变异系数分别为32.65%、33.98%和36.98%,均为中等变异;重金属 As和Cr 在天山西部的昭苏-特克斯区段干支流出现最高值,分别为 6.72 μg · L-1和8.61 μg · L-1,变异系数分别为 6.58%和2.78%,均为较低变异,表明不同采样河流重金属含量的差异较小;重金属 Cd和Cu 在天山中部的乌鲁木齐和阿克苏区段河流干支流出现最高值,分别为 0.92 μg · L-1和9.84 μg · L-1,变异系数分别为 24.57%和19.65%,为较低变异.从偏度上看,7种重金属元素的大小顺序依次为:Zn > Cu > As > Hg > Cd > Pb > Cr.
![]() |
| 图 3 天山山地河流重金属的箱式图 (Z-T: 天山西部昭苏-特克斯区段; W-A: 天山中部乌鲁木齐-阿克苏区段; B-Y: 天山东部巴里坤-伊吾区段) Fig.3 Box plots of heavy metals contents in rivers of the Tianshan Mountains |
根据国家地表水水质标准中的Ⅰ类标准(国家环境保护总局,2002)以及WHO 饮用水健康标准(WHO,2011),评价了天山山地3个采样区段河流中重金属Zn、Cu、As、Hg、Cd、Pb和Cr的超标状况及饮用安全性.结果表明,总体上天山3个采样区段河流中7种重金属的平均值和最大值均未超过国家地表水水质Ⅰ类标准以及WHO饮用水健康建议标准(表 4),均符合城市一级水源供应地标准,表明天山山地河流水质状况良好.
3.2 多元统计分析采用主成分分析方法揭示天山3个采样区段河流中7种重金属的来源.分析表明,7种重金属可以归为3个主成分(表 3),累计解释总变异77.81%,涵盖7种重金属来源的绝大部分信息.第一主成分上重金属Pb、Hg和Cd 具有较大的载荷.现场采样记录显示,这3种重金属含量较高的水样大多取自天山东部及中部城镇、工业园区、国道和农田附近的河流干、支流.其中在天山东部的巴里坤湖附近以及天山中部的阜康重化工业园区附近河流中的浓度明显高于其他两个区段.已有的研究表明,水体中高含量的重金属主要受工业、城市生活的点源污染以及农业生产化肥、农药不合理使用导致的面源污染的影响(李新贤等,2003; 赵彦锋等,2007; 李梅英等,2009b; 张永三等,2009; 蹇丽等,2010; 田林锋等,2011a; 张鸿龄等,2011),在本研究中将该主成分因子归为“人为源因子”;第二主成分上重金属 Cr和As具有较高的载荷.现场采样记录显示,这两种重金属含量较高的水样点大多取自天山西部昭苏-特克斯区段的河流干、支流.结合相关文献分析,这两种重金属应主要来自于该地区山间母岩矿物的自然风化以及干涸河床,在雨水及冰雪融水冲刷下进入河流干支流(高继军等,2004; 李梅英等,2009a; 易治伍等,2009; 张永三等,2009; 田林锋等,2011b; 张兆永等,2012; Zhang et al., 2013; Zhu et al., 2013),因此在本研究中将该主成分因子归为“自然源因子”;第三主成分上,重金属 Zn和Cu 具有较大的载荷,两种重金属同时在第一和第二主成分上也具有相当的载荷.现场采样记录显示,这两种重金属含量较高的河流干、支流样点在天山3个采样区段均有相当分布,未呈现明显的聚集分布.已有研究表明,这一现象应主要归因于人为源和自然地质背景的共同影响(李新贤等,2003; 李梅英等,2009a,b; 张永三等,2009; 孙振军,2010; 田林锋等, 2011a,b; Wang et al., 2011).
| 表 3 主成分因子旋转载荷 Table 3 Factors matrix of heavy metals in rivers of the Tianshan Mountains |
依据国家《地表水环境质量标准》(GB3838-2002)中的Ⅰ类水质标准来评价天山山地河流中重金属的污染状况.污染评价表明(表 1,表 4),天山3个区段河流中7种重金属的单因子污染指数值(Pi)和综合污染指数值(I)均小1,均属于安全等级,清洁水平,未出现污染状况,这也与水质评价结果一致.但重金属Pb、Cd和Hg 的单因子污染指数值在天山中部的乌鲁木齐-阿克苏区段地河流干支流相对高于天山东部的巴里坤-伊吾区段和天山西部的昭苏-特克斯区段河流干支流;重金属As的单因子污染指数值在天山西部的昭苏-特克斯区段干支流高于其他两个区段河流干支流.从数值角度看,天山3个采样区段河流中7种重金属的综合污染指数(I)大小排列顺序依次为:天山中部(乌鲁木齐-阿克苏区段)> 天山东部(巴里坤-伊吾区段)> 天山西部(昭苏-特克斯区段).
| 表 4 单因子污染指数和综合污染指数评价 Table 4 Single factor index and synthetic pollution index of heavy metals in rivers of the Tianshan Mountains |
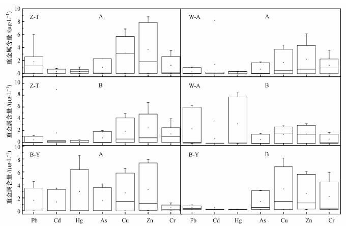
水体中重金属的形态分为两类:第一类为颗粒态,在水中较稳定,不易为生物吸收;第二类为溶解态,可以直接为生物吸收,造成毒害.测试分析结果表明(图 4),在天山3个采样区段河流中7种重金属的形态分布各不相同,其中Pb、Cd和Hg在天山中部乌鲁木齐-阿克苏区段河流干支流,重金属As和Cu 在天山东部巴里坤-伊吾区段和天山西部昭苏-特克斯区段河流干支流中溶解态均大于50%,生物毒性较大;重金属Zn在天山东部巴里坤-伊吾区段、天山中部乌鲁木齐-阿克苏区段和天山西部昭苏-特克斯区段河流干支流,重金属Cr在天山东部巴里坤-伊吾区段和天山中部乌鲁木齐-阿克苏区段河流干支流均以颗粒态为主,生物毒性相对较低.从天山山地3个区段河流中重金属的总含量及溶解态含量来看,7种重金属的浓度值均较低,因此其总的生物毒性较低,未对水环境健康造成威胁.这与水质评价及污染评价结果相一致.从3个采样区段河流中7种重金属的溶解态平均含量大小来看,其顺序依次为:Cr > Cu > Zn > Pb > As > Hg > Cd.
![]() |
| 图 4 天山山地河流水体中重金属形态箱式图 (Z-T: 天山西部昭苏特克斯区段; W-A:天山中部乌鲁木齐-阿克苏区段; B-Y: 天山东部巴里坤-伊吾区段; A: 河水水体中溶解态重金属含量; B: 河水水体中颗粒态重金属含量) Fig.4 Box plots of the distribution of morphology forms of heavy metals in river water of the Tianshan Mountains |
总体上,天山山地3个采样区段河流中重金属的含量较低,远低于国外工业发达地区河流及近海水体,同时也低于我国东部经济发展较早地区河流、湖泊及近海水体(高继军等,2004; 汪亮和王磊,2007; 赵彦锋等,2007; 田林锋等, 2011a,b; Wang et al., 2011; 张鸿龄等,2011),表明天山山地河流水质良好.此结果也与2012年新疆环保公报中监测的79条河流及172个断面的结果一致,即79条监测河流中,Ⅰ~Ⅲ类优良水质断面占94.7%,Ⅳ类轻度污染水质断面占2.9%,劣Ⅴ类重度污染水质断面占2.4%,其中在乌鲁木齐附近水磨河等流经城市河流水质状况相对较差(新疆环保局,2012).
从天山3个区段河流干支流的水温、pH值、氧化还原反应电位(Eh)、化学需氧量(COD)与重金属的有效形态关系来看,天山中部的乌鲁木齐-阿克苏区段河流干支流的氧化还原反应电位(Eh)和化学需氧量(COD)均显著高于天山东部巴里坤-伊吾区段和天山西部昭苏特克斯区段河流干支流,这与重金属Pb、Cd和Hg 溶解态在天山3个区段采样区段的分布状况一致,表明相互间存在一定程度的联系.造成这种现象的原因与天山地区经济发展过程中污染物质的排放导致的河流溶氧能力较强,对污染物中重金属Pb、Zn、Hg的溶解态的影响密切相关(燕姝雯等,2011).
4 结论(Conclusions)1)描述性统计表明天山山地3个采样区段河流干支流为偏碱性和弱氧化的环境,这与天山地区地球化学背景密切相关.总体上天山山地3个采样区段河流干支流中7种重金属的浓度值均较低,水环境状况良好.
2)多元统计分析表明影响天山山地河流中重金属含量的因素各不相同.其中Hg、Zn和Pb主要受人为污染的影响;Cr和As主要受自然地质背景的影响;Cd和Cu同时受人为源和自然源的共同影响.
3)天山山地河流中7种重金属的污染指数值均较低,没有受到污染.其中重金属 Pb、Cd和Hg在天山中部的乌鲁木齐-阿克苏区段,As和Cu 在天山东部的巴里坤-伊吾区段和天山西部的昭苏-特克斯区段中溶解态含量均大于50%,生物毒性较大,应引起重视.
4)天山3个采样区段河流干支流水体中Eh、COD值与重金属Pb、Zn和Hg的溶解态含量均在中部乌鲁木齐-阿克苏区段出现最高值,这与该地区经济发展中污染物排放密切相关.未来应结合3S技术和水环境沉积物等分析手段,对天山山地河流水质状况及污染物的迁移、转化进行综合研究.同时还应加强该区域人类活动的合理规划、布局,以防止人为活动加剧导致河流重金属污染,保护绿洲生命之源.
| [1] | 陈洪, 特拉津·那斯尔, 杨剑虹. 2013. 伊犁河流域土壤重金属含量的空间分布及其环境现状研究 [J]. 水土保持学报, 27(3): 100-105 |
| [2] | 陈牧霞, 地里拜尔·苏力坦, 杨潇, 等. 2007. 新疆污灌区重金属含量及形态研究 [J]. 干旱区资源与环境, 21(1): 150-153 |
| [3] | 高继军, 张力平, 黄圣彪, 等. 2004. 北京市饮用水源水重金属污染物健康风险的初步评价 [J]. 环境科学, 25(2): 47-50 |
| [4] | 国家环境保护总局. 2002. 地表水环境质量标准(GB3838-2002)[S]. 北京: 中国环境科学出版社 |
| [5] | 冯启言, 孟庆俊, 韩宝平, 等. 2004. 荆马河水体 Cu, Cd, Pb, Cr 污染及其对土壤的影响 [J]. 环境科学与技术, 27(1): 46-47 |
| [6] | Hakanson L. 1980. An ecological risk index for aquatic pollution control. A sedimentological approach [J]. Water Research, 14(8): 975-1001 |
| [7] | 胡汝骥. 2004. 中国天山自然地理 [M]. 北京: 中国环境科学出版社 |
| [8] | 蹇丽, 黄泽春, 刘永轩, 等. 2010. 刁江水体多相介质中As、Zn和Pb的空间和季节分布规律 [J]. 环境科学研究, 23(4): 445-451 |
| [9] | Kar D, Sur P, Mandai S K, et al. 2008. Assessment of heavy metal pollution in surface water [J]. International Journal of Environmental Science & Technology, 5(1): 119-124 |
| [10] | 兰文辉, 安海燕. 2002. 环境水质评价方法的分析与探讨 [J]. 干旱环境监测, 16(3):167-169 |
| [11] | 李磊, 平仙隐, 王云龙, 等. 2013. 基于多元统计方法的长江口及邻近海域表层沉积物中重金属的时空分布特征 [J]. 环境化学, 32(3): 438-445 |
| [12] | 李梅英, 徐俊荣, 刘志兴, 等. 2009a. 新疆巩乃斯河水中微量重金属元素的特征分析 [J]. 水资源保护, 25(5): 44-48 |
| [13] | 李梅英, 徐俊荣, 史志文. 2009b. 浅析新疆巩乃斯河重金属时空分异特征 [J]. 环境化学, 28(5): 716-720 |
| [14] | 李名升, 张建辉, 梁念, 等. 2012. 常用的水环境质量评价方法分析与比较 [J]. 地理科学进展, 31(5): 617-624 |
| [15] | Li X Y, Liu L J, Wang Y G, et al. 2013. Heavy metal contamination of urban soil in an old industrial city (Shenyang) in Northeast China [J]. Geoderma, 192: 50-58 |
| [16] | 李新贤, 党新成, 高建芳. 2003. 新疆河流洪水水污染分析 [J]. 干旱环境监测, 17(3): 139-142 |
| [17] | 刘玉燕, 刘敏, 刘浩峰. 2006. 乌鲁木齐城市土壤中重金属分布 [J]. 干旱区地理, 29(1): 120-123 |
| [18] | 罗艳丽, 郑春霞, 蒋平安, 等. 2012. 新疆奎屯垦区土壤重金属风险评价 [J]. 土壤通报, 43(5): 1247-1252 |
| [19] | 穆叶赛尔·吐地, 吉力力·阿布都外力, 姜逢清. 2013. 天山北坡土壤重金属含量的分布特征及其来源解释 [J]. 中国生态农业学报, 21(7): 883-890 |
| [20] | 申锐莉, 张建新, 鲍征宇, 等. 2006. 洞庭湖水质评价 (2002-2004 年) [J]. 湖泊科学, 18(3): 243-249 |
| [21] | 申锐莉, 鲍征宇, 周旻, 等. 2007. 洞庭湖湖区水质时空演化 (1983-2004年) [J]. 湖泊科学, 19(6): 677-682 |
| [22] | 孙振军. 2010. 青格达湖北段底泥中重金属分布规律研究 [J]. 新疆大学学报(自然科学版), 27(3): 363-367 |
| [23] | 田林锋, 胡继伟, 秦樊鑫, 等. 2011a. 重金属元素在贵州红枫湖水体中的布布特征 [J]. 中国环境科学, 31(3): 481-489 |
| [24] | 田林锋, 胡继伟, 秦樊鑫, 等. 2011b. 基于统计的百花湖表层水中重金属分布特征 [J]. 环境科学研究, 24(3): 259-267 |
| [25] | 汪亮, 王磊. 2007. 大冶市罗桥东港渠水体中 Cd, Pb, As 等重金属污染调查 [J]. 安全与环境工程, 14(1): 16-19 |
| [26] | Wang L, Wang Y P, Xu C X, et al. 2011. Analysis and evaluation of the sources of heavy metals in water of the Yangzi River [J]. Environmental Monitoring and Assessment, 173(1/4): 301-313 |
| [27] | WHO. 2011. Water for pharmaceutical use[A]//Quality Assurance of Pharmaceuticals: a Compendium of Guidelines and Related Materials (2nd Updated Edn.)[M]. Geneva: World Health Organization, 2: 170-187 |
| [28] | Wongsasuluk P, Chotpantarat S, Siriwong W, et al. 2014. Heavy metal contamination and human health risk assessment in drinking water from shallow groundwater wells in an agricultural area in Ubon Ratchathani province, Thailand [J]. Environmental Geochemistry and Health, 36(1): 169-182 |
| [29] | 解莹, 李叙勇, 王慧亮, 等. 2012. 滦河流域上游地区主要河流水污染特征及评价 [J]. 环境科学学报, 32(3): 645-653 |
| [30] | 新疆环保局. 2012. 2012新疆维吾尔自治区环境状况公报 [OL]. http://cn.chinagate.cn/infocus/2014-01/14/content_31187916_5.htm.乌鲁木齐 |
| [31] | 新疆统计局. 2012. 新疆统计年鉴: 2012 [M]. 北京: 中国统计出版社 |
| [32] | 燕姝雯, 余辉, 李焕利, 等. 2011. 枯水期环太湖河流溶解态重金属空间分布 [J]. 环境科学与技术, 34(11): 6-10 |
| [33] | 易治伍, 王灵, 钱翌, 等. 2009. 乌鲁木齐市农田土壤重金属含量及评价 [J]. 干旱区资源与环境, 23(2): 150-154 |
| [34] | 张鸿龄, 孙丽娜, 罗庆, 等. 2011. 浑河流域水体污染的季节性变化及来源 [J]. 生态学杂志, 30(1): 119-125 |
| [35] | 张永三, 吴丰昌, 张润宇, 等. 2009. 新疆博斯腾湖重金属污染的沉积记录 [J]. 地球与环境, 37(1): 50-55 |
| [36] | 张兆永, 吉力力·阿不都外力, 姜逢清, 等. 2012. 天山山地地表水重金属的赋存特征和来源分析 [J]. 中国环境科学, 32(10): 1799-1806 |
| [37] | Zhang Z Y, Abuduwaili J, Jiang F Q. 2013. Determination of occurrence characteristics of heavy metals in soil and water environments in Tianshan Mountains, Central Asia [J]. Analytical Letters, 46(13): 2122-2131 |
| [38] | 赵彦锋, 史学正, 于东升, 等. 2007. 太湖典型河网区地表水与沉积物氮、磷和重金属含量空间分异 [J]. 生态与农村环境学报, 23(1): 48-53 |
| [39] | Zhu B Q, Yu J J, Qin X G, et al. 2013. The significance of mid-latitude rivers for weathering rates and chemical fluxes: Evidence from northern Xinjiang Rivers [J]. Journal of Hydrology, 486: 151-174 |
2015, Vol. 35





