2. 特拉华大学土木与环境工程系, 美国特拉华纽瓦克 19716
2. Department of Civil and Environmental Engineering, University of Delaware, Newark, USA 19716
垃圾填埋气体(L and fill Gas,LFG)主要包含CO2和CH4.在美国,来自于填埋场的CH4约占美国因人类活动引起CH4排放总量的23%(USEPA,2010),这一比例在欧洲约为22%(EEA,2008).因CH4具有更强的红外线吸收能力和在大气中更短的滞留时间(约8年),其100年尺度上的全球变暖潜力是等效CO2的28倍(IPCC,2014).因来自于垃圾填埋场的 CO2排放具有生物源特性,一般将其归类于因土地利用等引起的大气CO2排放(Bogner et al.,2008).
一般地,垃圾填埋场都要求安装集气设施,虽然通过增加高渗透性介质层等手段可以使集气效率达到98%(Spokas et al.,2006),但集气设备普遍只有50%~60%的实际效率(Bojesson et al.,2009),即有相当部分的甲烷通过其它途径,如覆盖层的裂缝、渗滤液收集池以及抽气井口等途径释放到大气中.此外,随着垃圾填埋场封场后期进入可达数十年之久的低产气量阶段,继续保持集气设施运转并不是最经济可行的方式,而低成本的生物覆盖则是应对这种低强度排放的有效选择之一.生物覆盖层技术是被IPCC推荐用于减少垃圾填埋场温室气体的排放的措施之一(IPCC,2007),在欧美发达国家已得到了广泛研究.在我国,研究人员从氧化动力学、氨氮水平对生物覆盖层的影响等方面进行了不少的实验研究(Zhang et al.,2008; 2009; 2013; Zhang et al.,2012; He et al.,2012;何品晶等,2007; 岳波等,2011; 朱勇等,2011; 杨文静,2010).
选择生物覆盖层填料时,一般要求其有机质含量应不低于15%以及氨氮不超过400 mg · kg-1(Huber-Humer et al.,2009; Pedersen et al.,2011).目前由于我国在源头上分类做得不够完善,导致堆肥产品组成复杂,如包含玻璃碎片、石块和破碎塑料等,这与农业应用质量要求还有一定差距.此外,堆肥产品仍然面临产品成本高,产品销路不畅的现实问题.堆肥产品一般含有丰富有机质和无机氮等营养物质,其中有机质既能为微生物活动提供养分,还可以改善介质属性,如改善介质的持水能力、通气效率等.对这种垃圾堆肥产品或相似材料,研究其能否作为生物覆盖层填充材料用于减少垃圾填埋场甲烷的排放,具有明显的废物减量化意义.此外,在实际工况中,大气降水、季节变换等都会引起介质的物理参数变化,如含水率、通气性能、温度等因子的改变,这些都将直接影响到生物覆盖层的通风系数等与甲烷氧化密切相关的参数,而野外试验则能较好地模拟这些情况.
2 试验设计和方法(Experiments and methods) 2.1 生物覆盖层设计和材料试验场地位于美国加利福尼亚Yolo郡,所在地的气候属典型的地中海气候,常年少雨,且降雨集中在冬春季,常年平均温度为11.7 ℃,高温出现在7月,低温则出现在1月份.2009年3垃圾填埋场一填埋单元旁完成了标记为1#和2#的两个生物覆盖单元(2.4 m×1.8 m×1.2 m,L×W×H)的建设,如图 1所示.两个单元所用填料分别为垃圾填埋场接收后放置在填埋单元旁的斜坡上,并经过24个月和2个月自然熟化的庭院垃圾(主要包括花园土、落叶和枯枝等组成的看起来像土壤的混合物).对采集于2009年6月的两个覆盖单元样品进行颗粒分析结果表明: 有机质含量分别为38%和61%,铁磷钾总含量均小于3%,总氮均为1%左右,总碳分别为29%和21%,氨氮含量分别为21 mg · kg-1和103 mg · kg-1,C/N分别为30和20,铜含量分别为54 mg · kg-1和33 mg · kg-1,pH值分别为5.1和5.7.两种类型的材料在稳定化呼吸试验中均符合当地稳定化标准,属于稳定绿色废物(CCQC,2001).
![]() |
| 图 1 生物覆盖单元建设图(左图为未填料之前,右图为建设完成之后) Fig. 1 Picture of biocover construction(left shows the photo before the material was filled into biocover,right shows the photo after construction) |
图 2是两个生物覆盖单元的剖面图,上部0.9 m 为生物覆盖材料(碾磨后通过76 mm网筛筛选),其中填料上方用横向龙骨支撑一个用于封闭整个覆盖单元的盖子,以测量总体通量,龙骨上固定有用于混合气体的风扇.温度传感器和气体采集口固定在纵向支撑柱的0.3 m和0.6 m深处(以覆盖层的表面为基准),通过计算机连续监测温度数据和气体组成.体积比为59% ∶ 40% 的CH4和CO2混合气体(来自于垃圾填埋单元的集气装置,另外1%包括水蒸气、氮气和其它微量气体)通过安装在厚度为0.3 m的粗砾层中的12根直径为6.35 mm的高密度聚乙烯管,均匀地导入到生物覆盖层中.粗砾层的底部安装有排水装置(不排水时可封闭),通过定期排水以确保降水和水蒸气冷凝水不会富集在生物覆盖单元底部,从而造成通气不畅.
![]() |
| 图 2 生物覆盖单元剖面图(初始值) Fig. 2 Side view of biocover cell(initial) |
为便于比较庭院垃圾作为生物覆盖材料与其它文献以及类似材料对甲烷的氧化性能的差异,实验气体导入通量覆盖Scheutz et al.(2009)的实验所使用的气体通量,即2009年夏季甲烷导入率为500~700 g · m-2 · d-1,随后在2010年逐步降低至200~300 g · m-2 · d-1.通过数据采集与监视控制系统(SCADA)来测量覆盖层不同深度(0.3 m和0.6 m)的气体成分,该系统包括一个取样泵(型号: 35.1.2TTP,KNF Neuberger,产地: 美国新泽西特伦顿),一个可编程多档位电子驱动器和旋转阀(型号EMTAMA-CE,产地:美国德克萨斯休斯顿),一个气体调节和冷凝水排出系统以及一个包括电化单元(O2)的非色散红外气体分析仪(CH4和CO2)(California Analytical Instrument(CAI)L 系列,产地:美国加利福利亚奥兰治)用于测量气体组成,使用容积式流量计(型号 5M175 Roots,Roots Meters B3系列,产地:美国德克萨斯休斯顿)测量气体总流量.
2.3 质量守恒方法在计算生物覆盖层氧化甲烷的效率方法中,质量守恒是一种被广泛应用的方法.该方法假设系统处于稳态条件下,通过测量进出气通量和气体组成即可完成甲烷氧化率的计算.填充材料中部分不稳定有机质易因厌氧区的形成可能导致降解,降解产物包括甲烷和二氧化碳,其机理和填埋场降解过程相似,如式(1)所示.

尽管有机质的降解在理论上会产生等同体积的二氧化碳和甲烷,但一般认为由于填充材料中的氢氧比(H/O)以及二氧化碳更易溶于水,形成碳酸根离子等原因,观察到填埋气体中的CH4体积组成通常为40%~60%,余下部分则主要为二氧化碳.因此需假设因有机质降解产生的二氧化碳与甲烷的体积比为 a,如式(2)所示

此外,非甲烷氧化菌在有氧条件下会因为呼吸作用而释放CO2,利用质量守恒方法计算CH4氧化时,忽略因呼吸作用释放的CO2会引起高估CH4氧化率,因此需要考虑以上所述两个方面对甲烷氧化率的影响.
CH4进出通量平衡:

式中,Q 是标准状态下的气体流量(mol · min-1),下标in,generation,oxidation和out 分别表示进气通量,有机质降解引起的甲烷产出量,甲烷氧化量和出口通量.
同理,CO2守恒:

式中,Q 是标准状态下的气体流量(mol · min-1),下标biomass,oxidation和respiration 分别代表因微生物衰减(死亡)导致的二氧化碳产生量,甲烷氧化引起的CO2生成量和非甲烷好氧菌呼吸作用引起的CO2释放量.
甲烷被氧化CO2的量可以用式(5)来表示

根据碳元素守恒,在稳态条件下b+c=1恒成立,且biomass 的增量(c)与减量(假设为d)应保持相同,即c = d.将式(3)和(4)中的QCH4oxidation项消去得到甲烷的产生量如式(6),

同样地,消去式(3)和(4)中的QCH4generation可得到甲烷的氧化率,如式(7)所示:

由式(6)和(7)可以看出,QCO2respiration和比例系数a与甲烷氧化量和产生量相关,3.2节中详细叙述了两个参数的量化过程.
2.4 同位素测定和庭院垃圾呼吸试验因偏好较轻的碳,甲烷氧化菌能更快的氧化C12,因此可利用C13同位素对甲烷氧化率进行测量.试验采用了文献所使用方法(Chanton et al.,2008),即如式(8)所示

fox为氧化分数,δin和δout分别为进出气中C13同位素分数,αox 为同位素分数系数,αtrans为输运系数(对流主导则为1,>1则表示扩散主导).在进出口采集样品送至试验室,通过气相色谱-燃烧-同位素比率质谱法(HP 5890,Finngan MAT Delta S)进行分析.
呼吸试验是将不同深度的庭院垃圾分成约75 g样品,加入蒸馏水使得样品达到50%含水率(g · g-1)后放进250 mL容器并保持35 ℃培育7 d,并连续供给饱和湿空气以防止缺氧,整个实验期间利用CO2红外传感器记录CO2 浓度,气体流量计用于测量CO2 流量.
3 结果与讨论(Results and discuss) 3.1 稳定状态下确定甲烷的产生式(6)移项后得到式(9)

式(9)中甲烷产生量与呼吸作用引起的CO2释放通量之和应始终≥0,在稳态条件下微生物的增长与衰减速率相等即d =c,且 b + d = 1,那么式(10)应始终成立,

因此,稳态条件下的甲烷出口通量应小于进口通量,反之可说明有额外的甲烷产生且产生量大于甲烷的消耗量.类似地,如果式(9)出现CH4的减量大于CO2的增量,则说明系统处于非稳态.
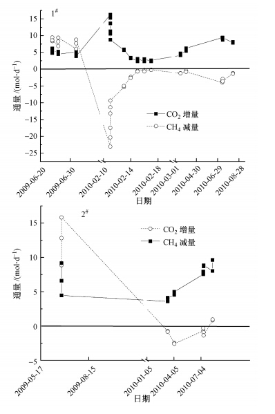
图 3为两个生物覆盖单元中CH4和CO2增减通量: 2009年夏季(6,7月)CO2的增量小于甲烷的减量,这说明两个单元均处于非稳态条件下,此时通过静态箱法来计算甲烷氧化量已不合适.尽管可以通过沙柱试验或培育试验来确定甲烷氧化率,在野外条件下需要布置更多的传感器来采集气体组成或者通过其它手段如同位素进行辅助测量(3.3节中做详细讨论).2010年所测结果显示甲烷的减量为负,即甲烷的出气量大于进气量,这也说明甲烷的产生量大于甲烷的消耗量.
![]() |
| 图 3 1#,2#生物覆盖单元中甲烷减量与二氧化碳增量 Fig. 3 Increase of CO2 and decrease of CH4 in 1# and 2# cell |
参数a的确定过程主要参考分解试验结果,对来自于相同填埋场接收的绿色废物进行分解试验结果表明CO2/CH4为约2/3(Yazdani et al.,2012).此外,对a取值分别4/3,1以及2/3时,利用质量守恒方法进行计算氧化率做了相关验证,结果表明a取值为4/3或1时,甲烷的氧化率为负.拟合结果表明只有当a<0.7时,两个生物覆盖单元才不会出现负氧化率.灵敏度分析表明,与a=2/3时的差异为0.4~6.5 g · m-2 · d-1,因此在以下的计算当中a取值为2/3,与此巧合的是试验中来自垃圾填埋气体中CO2与CH4的导入比为40% ∶ 59%.
非甲烷氧化菌会因为自身呼吸作用与甲烷氧化菌竞争氧气,呼吸过程伴随着CO2的释放过程,如式(6)和式(7)所示,对甲烷的产生量和氧化量产生影响,Scheutz et al.(2011)分别通过对比呼吸试验(无甲烷氧化)和氧化试验(呼吸+氧化),得出非甲烷氧化菌与甲烷氧化菌在甲烷氧化过程中对氧气存在竞争作用,因呼吸作用产出的二氧化碳占因甲烷氧化产生的二氧化碳总量的43%,以此为推算,忽略呼吸作用的影响将导致甲烷氧化率被高估最高至21%,对甲烷产生率的影响将高估至最高15%.此外Huber-Humer et al.,(2009)建议7 d呼吸耗氧量应该小于8 mg(O2)· g(DM)-1,根据呼吸实验结果来看,两个单元的材料7 d耗氧量介于6~9和8~13 mg(O2)· g(DM)-1之间,前者符合建议值,后者则超出少许.
综合上述参数,得到计算甲烷氧化率和生成率的公式分别如式:

如图 4所示,使用同位素方法测得1#单元在2009年6月的甲烷氧化量与计算进出甲烷通量差(非稳态),得到的甲烷氧化量较为接近(氧化率24% 与26%),这就说明在同位素测试氧化率期间,因有机质降解产生的甲烷通量相对于较高的进气通量和氧化通量是可忽略不计的,这也与处于较深传感器所监测到的氧气水平(45 cm深度1.5%)是一致的的.然而利用两种方法获得的结果在2# 单元却相对明显(30% 对比39%),同位素方法易低估结果,因为在计算过程中假设对流作用主导气体的传输,在本例计算中假设气体的输运以对流为主,即式(8)中αtrans=1.
![]() |
| 图 4 同位素与质量守恒方法的比较 Fig. 4 Comparison of CH4 oxidation between mass balance method and isotope measurement |
为期15个月的甲烷氧化实验结果如图 5所示,甲烷氧化率在2009年夏季分别达到(141 ± 10)和(197 ± 27)g · m-2 · d-1,此结果与Scheutz等利用堆肥混合物进行的管柱实验结果一致(220 d,116~144 g · m-2 · d-1).
![]() |
| 图 5 1#,2#单元中甲烷载入、产生与氧化率的关系 Fig. 5 Variation of CH4 influent,generation and oxidation in 1#,2# biocover cell |
2009年夏季测得最高甲烷氧化率是在进气通量相对较高(350~700 g · m-2 · d-1)的条件下得到的.随着进气通量的降低以及温度进入冬春季低温区,甲烷的氧化率逐渐降低.2010年夏季,甲烷的氧化率回升到约70 g · m-2 · d-1,但并未恢复到2009年同期水平,尽管同期的温度几乎相同(温度数据未在本文给出).在2010年7月,将甲烷的进气量提高到300 g · m-2 · d-1时,甲烷的氧化率并未出现明显增强,这说明进气量并不是影响甲烷氧化率的主要因素,加之温度已经回升到上年同期水平,这说明通风系数和含水率对甲烷氧化都有明显的影响.
2010年试验末期,通过削减生物覆盖层厚度至51 cm和48 cm,1#单元和2#单元中甲烷的产出量分别降低了25%和10%,这说明减少厚度有助于减少甲烷的产出量.
4 结论(Conclusions)1)野外试验结果表明,庭院垃圾作为生物覆盖层材料,能较好地氧化来自垃圾填埋场的甲烷:在实验初期可以达到氧化高峰值,随后生物覆盖单元的甲烷氧化能力随季节交替而变化且降低.
2)在利用质量守恒方法量化甲烷氧化率时,忽略非甲烷氧化菌的呼吸作用,会高估生物覆盖层对甲烷的减量化能力.
3)虽然填料腐殖度满足当地堆肥质量法规,以及Huber-Humer 等关于小于7 d耗氧量小于或接近8 mg O2 · g DM-1的建议,但仍然观测到明显数量甲烷产出,说明这类庭院垃圾废物在实际应用前还需要考虑更严格的成熟度和稳定化水平,当然这也与当地的地中海气候有关,其它气候(环境)条件对生物覆盖层氧化甲烷的影响还需要进一步探索.
| [1] | Bogner J, Pipatti R, Hashimoto S. et al., 2008. Mitigation of global greenwaste gas emissions from waste: conclusions and strategies from the intergovernmental panel on climate change (IPCC) forth assessment report. Working group(III)(mitigation)[J].Waste management, res, 26:11-32 |
| [2] | Borjesson G, Samuelsson J, Chanton J, et al. 2009. A national landfill methane budget for Sweden based on field measurements, and an evaluation of IPCC models[J]. Tellus B, 61: 424-435 |
| [3] | CCQC(California Compost Quality Council). 2001. Compost Maturity Index. Nevada City, CA |
| [4] | Chanton J P, Powelson D K, Abichou T, et al. 2008. Effect of Temperature and Oxidation Rate on Carbon-isotope Fractionation during Methane Oxidation by Landfill Cover Materials[J]. Environmental Science & Technology, 42: 7818-7823 |
| [5] | EEA(European Environment Agency). 2008. Annual European Community Greenhouse Gas Inventory 1990—2006 and Inventory Report 2008. Submission to the UNFCCC Secretariat. EEA Technical report, no. 6. 2008. http://www.eea.europa.eu/publications/technical_report_(2008_6). Accessed April 2009 |
| [6] | 何品晶, 瞿贤, 杨琦,等. 2007. 土壤因素对填埋场终场覆盖层甲烷氧化的影响[J]. 同济大学学报(自然 科 学版), 35(6):755-759 |
| [7] | He R J, Wang F F, Xia,et al., 2012. Evaluation of methane oxidation activity in waste biocover soil during landfill stabilization[J]. Chemosphere, 89(6):672-679 |
| [8] | Huber-Humer M, Tintner J, Bohm K, et al, 2011. Scrutinizing compost properties and their impact on methane oxidation efficiency[J]. Waste Manage, 31, 871-883 |
| [9] | Huber-Humer M, Roder S, Lechner P, et al, 2009. Approaches to assess biocover performance on landfills[J]. Waste Manage, 29: 2092-2104 |
| [10] | IPCC. 2007. Climate Change 2007: Mitigation. Contribution of Working Group III to the Fourth Assessment Report of the Intergovernmental Panel on Climate Change[M]. Cambridge; New York: Cambridge University Press |
| [11] | IPCC. 2014. Climate Change 2014: Mitigation of Climate Change. Working Group III Contribution to the IPCC 5th Assessment Report. http://mitigation2014.org/report/final-draft/# |
| [12] | Pedersen G B, Scheutz C, Kjeldsen P, et al. 2011. Availability and properties of materials for the Fakse Landfill biocover[J]. Waste Manage, 31: 884-894 |
| [13] | Scheutz C, Pedersen G B, Costa G, et al. 2009. Biodegradation of Methane and Halocarbons in Simulated Landfill Biocover Systems Containing Compost Materials[J]. Journal of Environmental Quality, 38: 1363-1371 |
| [14] | Scheutz C, Pedicone A, Pedersen G B, et al. 2011. Evaluation of respiration in compost landfill biocovers intended for methane oxidation[J]. Waste Manage, 31: 895-902 |
| [15] | Stern J C, Chanton J, Abichou T, et al. 2007. Use of a biologically active cover to reduce landfill methane emissions and enhance methane oxidation[J]. Waste Manage, 27: 1248-1258 |
| [16] | Spokas K, Bogner J, Chanton J P, et al. 2006. Methane mass balance at three landfill sites: What is the efficiency of capture by gas collection systems?[J]. Waste Manage, 26: 516-525 |
| [17] | USEPA. 2010. Municipal Solid Waste in the United States: 2009 Facts And Figures. Washington, DC |
| [18] | 朱勇, 牟子申, 陆文静,等. 2011. 呼吸型填埋场覆盖层技术研究:呼吸型覆盖层的甲烷氧化性能研究[J]. 环境科学学报, 31(12):2785-2791 |
| [19] | Yazdani R M, Barlaz A, Augenstein D, et al. 2012. Performance evaluation of an anaerobic/aerobic landfill-based digester using yard waste for energy and compost production[J]. Waste Manage, 32(5):912-919 |
| [20] | 杨文静, 张相锋, 董世魁,等, 2010. 一种新型垃圾填埋场生物覆盖层基质的甲烷氧化动力学研究[J]. 中国沼气, 28(3):11-14 |
| [21] | 岳波, 林晔, 王琪, 等, 2011. 填埋场覆盖材料的甲烷氧化能力及其影响因素研究[J]. 环境工程技术学报, 1(1):57-62 |
| [22] | Zhang H H, He P J, Shao L M. 2008. Methane emissions from MSW landfill with sandy soil covers under leachate recirculation and subsurface irrigation. Atmos Environ[J]. 42(22):5579-5588 |
| [23] | Zhang H H, He P J, Shao L M. 2009. N2O emissions at municipal solid waste landfill sites: Effects of CH4 emissions and cover soil[J]. Atmos Environ, 43(16):2623-2631 |
| [24] | Zhang H H, Li W X, Cai Z C, et al. 2013. Landfill CH4 oxidation and N2O emissions by aged refuse: Effects of wastewater NH4+-N incubation, heavy metals and pH[J]. Ecol Eng, 53:243-249 |
| [25] | Zhang Y, Zhang H H, Jia B, et al. 2012. Landfill CH4 oxidation by mineralized refuse: Effects of NH4+-N incubation, water content and temperature[J]. Science of the Total Environment, 426:406-413 |
2015, Vol. 35






