海河流域是我国社会经济发展最为活跃地区之一,分布有2个直辖市、6个省(区)和64个地级行政区划单位,268个县级行政区划单位.流域人口约1.37亿,其中城镇人口5800万,城镇化率45%.流域面积占国土面积3.3%,但人口占全国10%,GDP占全国12.9%.近20年来,流域内北京、天津、河北等地人口规模、工农业产值等社会经济指标大幅增长,其中北京市人口增长1倍左右、GDP增长超过10倍左右(北京市统计局,2006);天津市人口增加50%,GDP增长20倍以上(天津市统计局,2006);同时,河北区域的唐山、石家庄、保定、邯郸等城市工业产值、规模都大幅增加.由于社会经济快速发展,海河流域水环境承载力已明显不足(朱永华等,2005),流域水污染状况在全国水系中最为突出.2012年,海河流域劣V类国控断面比例高达32.8%,远高于其他水系.
社会经济发展对河流水环境最直接影响之一是废污水排放量增加.城市污水和工业废水是社会水循环一部分(刘家宏等,2010),大规模废污水排放削弱自然水循环过程,减少河流天然径流补给,对河流天然水文过程形成明显影响.由于我国城镇生活污水排放标准与地表水环境质量标准存在较大差距,工业行业排放标准更加宽松,以及废污水处理水平普遍不高,污染负荷大量输入成为河流水质恶化主要驱动因素(刘祥举等,2011).
土地利用变化是社会经济发展重要方面(谈明洪等,2003;杨桂山,2004;万荣荣和杨桂山,2005),也是社会经济发展影响河流水质重要途径(刘影和彭薇,2003;刘兴元等,2006).城镇建设造成地表硬化、渗透性下降,地表水文调蓄能力降低(Booth and Jackson, 1997),地表径流含有高浓度有机物、病原微生物、重金属、颗粒物等污染物(杨柳等,2004).农田对水质影响主要体现在退水(Foe,1995)及径流(Sharpley et al., 1992;Comín et al., 1997)中含有大量农药和化肥,集约化种植进一步加大污染负荷.湿地、林草地涵养水源、净化水质,其面积变化对河流缓冲能力、水文和水质产生明显影响(Brown,1983;Hayakawa et al., 2006).
海河流域社会经济发展对河流水环境影响已经引起很多研究者关注(朱永华等,2005;夏军等,2006;刘家宏等,2010),但对流域社会经济发展时空演变过程的系统分析相对较少,在流域尺度上进行社会经济发展与河流水环境定量关联研究尤其缺乏.本文以海河流域人口、经济产值和土地利用变化数据为基础,通过废污水排放规模、水资源利用强度等分析社会经济发展对河流水环境影响,从流域尺度上揭示海河流域水环境退化过程和机制.
2 材料与方法(Materials and methods) 2.1 数据类型和来源社会经济统计数据(废污水排放量)来自海河流域涉及的张家口、廊坊、保定等25个地级市以及北京、天津两个直辖市1985—2009年统计年鉴,其中人口数据包括总人口、非农业人口,宏观经济数据包括GDP、三次产业产值,废污水排放量包括生活污水、工业废水排放量.土地利用类型数据由海河流域1985年、2005年遥感影像解译获得,土地利用分类参照《土地利用现状分类》(GB/T 21010—2007),并根据实际需要进行必要调整,将流域土地类型划分为林地、草地、农田等11类.水文、水质数据由海河水利委员会提供,包含88个站点2005年逐月监测的CODMn、NH3-N、TN、TP、Pb、Hg等水质指标.监测站点分布于海河流域九大水系,覆盖了海河流域主要河流,具体位置见图 1.
![]() |
| 图 1 海河流域水系结构及监测站点分布 Fig. 1 Haihe River system and the distribution of monitoring stations |
将流域范围内所有县级行政单位统计数据加和得到流域人口和经济,分析人口及经济变化趋势.将各区县工业产值及城市用地比例导入ARCGIS 9.3,结合区县面积,计算工业产值密度和城市用地密度,分析流域范围工业生产强度及城市用地空间分布特征和演变过程.
2.2.2 土地利用动态度计算在ARCGIS 9.3支持下,对流域土地利用矢量文件进行分析.通过土地类型所占比例确定流域土地类型结构,采用单一土地利用类型动态度模型(王秀兰和包玉海,1999)分析1980年至2005年土地类型数量变化.模型计算如式(1)所示:

式中,K为研究时段内某一土地利用类型动态度;Ua、Ub研究初期和研究末期某一种土地利用类型的数量.
2.2.3 水资源利用强度计算水资源利用强度表征土地类型变化对流域水环境影响.水资源利用强度计算见式(2):

式中,P为某一土地利用类型水资源利用强度(m3 · km-2);∑Qi为该土地类型所有水资源利用量之和(m3);S为土地类型面积(km2).
2.2.4 统计分析方法对流域主要城市废污水排放量变化和经济人口增长进行相关分析,明确经济和人口增长流域水环境影响;基于主成分及多元回归统计方法,综合分析经济社会指标对河流水体污染物影响程度.由于河流监测断面水质状况是上游范围内社会经济活动累计作用结果(Shoemaker,1994),水质数据需要同累计社会经济指标对应.同时,上游不同区域对监测断面影响因监测点距离扩大而减弱,采用(King et al., 2005)距离权重求和方法计算监测断面对应的累计社会经济指标,计算方法见式(3):

式中,x为累积指标,N为监测断面上游流域范围内县市个数,Xi第i个县市某项社会经济指标,di为第i个县市离监测断面的河流流程.
多元回归分析以累积的社会经济指标x为自变量,以2005年统计数据和土地利用数据为基础;水质监测指标为应变量,取各月份监测平均值.自变量指标个数较多,通过主成分分析对自变量进行缩减,并消除变量之间相关性(Tabachnick and Fidell,2006).多元回归模型见式(4):

式中,β0、β1、…、βp是p+1个未知参数,β0为回归常数,β1、β2、…、βp为回归系数,ε为随机误差,满足E(ε)=0,Var(ε)=σ2(何晓群,2008).
采用Kolmogorov-Smirnov(K-S)方法检验数据正态性,对不符合正态分布数据进行对数转换(Tabachnick and Fidell.,2006).通过统计分析软件SPSS 17.0完成.
3 结果与讨论(Results and discussion) 3.1 人口和经济产值与废污水排放规模海河流域经济产值和人口数量都有明显增长,二、三产业增长速度明显高于第一产业,非农业人口增长明显快于农业人口增长(图 2).1985—2007年,第一产业产值由204亿元增长到2565亿元,第二产业产值由478亿元增长到1.55万亿元,第三产业产值由246亿元增长到1.51万亿元.流域三次产业结构显著变化,二、三产业年均增长率明显高于第一产业,第一产业在国民经济中比例逐渐缩小.1994年到2007年,第一产业所占比例由21%下降到9%,第二产业维持在46%左右,第三产业由32%增长到45%.流域非农业人口由1985年的1890万增长到2007年的4620万,非农业人口由1985年的6270万增长到2007年的8400万.从变化趋势上看,农业人口在20世纪80年代末出现大规模增长,但90年代中期农业人口进入平台期;非农业人口一直呈现增长趋势,增长速度明显高于农业人口.
![]() |
| 图 2 海河流域经济产值及人口变化 Fig. 2 Population and economy growth in the Haihe River Basin |
流域工业产值密度发生了很大变化,近20年来工业生产强度大幅提高,工业生产聚集区明显增加(图 3).1988年流域工业生产活动主要集中在京津地区,其中北京工业产值密度最高,最高6万元· km-2左右,其它地区处于相对较低水平.2005年流域主要工业区域已经由京津地区扩大到京津唐地区,该区域工业产值最高达到14万元· km-2,且北京、天津及唐山形成大规模工业聚集区.另外,河北石家庄和山东聊城—德州区域出现小规模工业聚集区,其中石家庄地区工业产值密度最高超过10万元· km-2,聊城—德州最高达到7万元· km-2.总体上,流域工业生产强度呈现出明显增强趋势.
![]() |
| 图 3 海河流域工业产值密度分布及演变 Fig. 3 Distribution and change of industrial output value intensity in the Haihe River Basin |
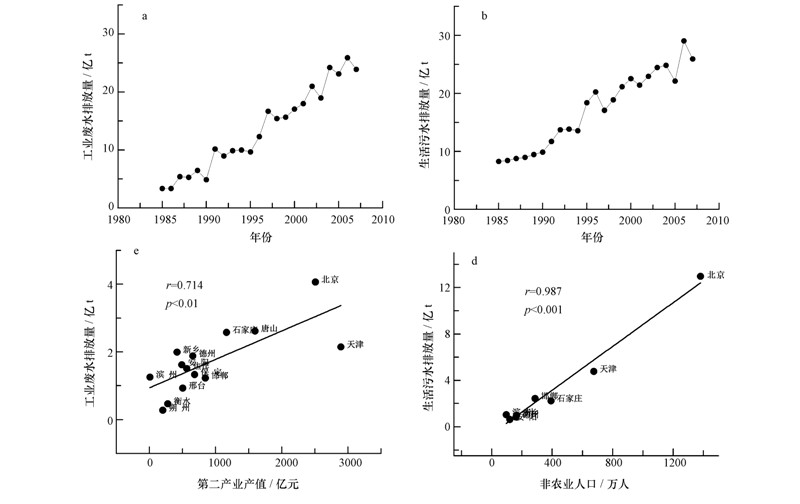
人口和经济产值大幅增长直接导致流域工业废水和生活污水排放规模迅速上升(图 4a,b).工业废水排放量由1985年的3.3亿t增加到2007年的23.9亿t,城市生活污水排放量由1985年的8.3亿t增加到2007年的25.9亿t.流域工业产值及人口数量与废污水排放规模具有明显关联性(图 4c,d).北京、天津、石家庄和唐山工业产值较高,其工业废水排放量也显著高于其它城市,工业废水排放量与工业产值之间相关性显著(p<0.01),相关系数为0.714.生活污水排放量与非农业人口数量之间相关性更加显著(p<0.001),相关系数为0.987.流域工业发展和人口扩张造成废污水排放量增加,已经成为河流水质恶化的直接驱动力.
![]() |
| 图 4 海河流域废污水排放量变化及其与经济人口相关性 Fig. 4 Change of wastewater discharge and its correlation with population and economy growth |
随着人口快速扩张和经济的高速发展,流域城市用地明显扩张.流域土地利用动态度(表 1)显示,1980年至2005年,林地、草地和农田变化不大,荒漠面积有一定比例减少;城市用地和农村聚落分别增长85%和19%;湿地面积变化不大,但不同类型湿地变化明显,其中沼泽和河湖滩地减少12%,近海湿地和内陆水体分别增加121%和12%.主要水系土地利用变化程度存在较大差异,城市用地在北三河水系增长比例最高,其次为永定河水系及大清河水系;农村聚落增长主要分布在子牙河和黑龙港运东水系,增长比例超过30%;近海湿地大清河水系增长7倍,黑龙港运东水系增长79%,而滦河及徒骇马颊河水系均呈现出减少态势;黑龙港运东、海河干流及大清河水系河湖滩地较大比例减少,其它水系变化幅度不大;盐田在大清河水系增加10倍以上,而其它水系变化相对较小.
| 表 1 海河流域1980—2005年各土地类型动态度(正值表示增加,负值表示减少) Table 1 The dynamic degree of different l and use from 1980 to 2005 in the Haihe River Basin(%,positive value means increase and negative value means decrease) |
城市扩张是流域土地利用变化最显著特征,近几十年来流域城市用地规模扩大,城市群数量显著增加(图 5).1980年,城市用地主要集中在北京、天津和唐山地区,且城市核心相对孤立,其它地区城市用地仅零星分布,不成规模.2005年城市用地面积比例明显提高,以北京、天津和唐山为核心的城市群逐步形成,其中北京主城区城市用地比例50%以上,天津和唐山主城区城市用地比例在20%~50%;保定-石家庄、邯郸—安阳—焦作以及聊城—德州等地区都形成了小规模城市聚集区,城市用地扩张趋势明显.
![]() |
| 图 5 海河流域城市密度分布及演变 Fig. 5 Distribution and change of urban l and density in the Haihe River Basin |
土地利用变化改变水资源利用方式,尤其是城市用地扩张造成流域水资源开发利强度加剧.2005年流域农村聚落总面积1.3万km2,用水量24.6亿m3,农田面积16万km2,城市用地面积7687 km2.结合用水总量,流域农村聚落和农田水资源利用强度在17万m3 km-2左右,城市用地水资源利用强度为116万m3 km-2,是农田和农村聚落的6倍以上.农业用水代表第一产业用水情况,工业用水和城镇生活用水分别代表第二和第三产业用水情况.根据海河流域三次产业发展趋势,用水强度大的二、三产业规模不断扩张,流域水资源开发利用结构发生显著变化.尤其在城市用地高度集中的京津地区,城市用水的集聚效应非常显著.高强度水资源利用一方面造成河流径流量减少,同时形成大量废污水排放,造成河流污径比过高.流域平原河流平均污径比由1980年的0.25上升到2007年0.37,北京地区河流污径比甚至超过2.流域自然径流匮乏改变河流水文节律和水化学过程,降低河流自净缓冲能力,对河流水环境造成极大冲击.
| 表 2 海河流域2005年主要土地类型面积和水资源利用强度 Table 2 Area and water utilization intensity of the primary l and use in the Haihe River Basin in 2005 |
流域影响河流水质因素分解为农村、城市和自然3个方面.表 3为社会经济指标因子分析结果,提取有效因子3个,原始变量比例合计81.3%.根据因子荷载矩阵,因子1载荷主要分布在农业人口、第一产业产值、农业总产值、化肥施用量、农村聚落面积等指标,表征农村社会经济发展;因子变量2载荷组要分布在非农业人口、第二产业产值、第三产业产值、城市用地面积等指标上,表征流域城市化发展过程;因子变量3在林地面积、草地面积、河湖滩地面积等指标上载荷系数较高,表征自然属性强弱程度.城市化过程和农村社会经济发展对河流水体污染物有显著影响.以3个因子变量因子得分(SPSS计算)作为自变量,水质数据作为因变量进行回归分析,结果见表 4.复相关系数显示,水质指标回归结果均在p<0.01水平显著.从因子变量标准化回归系数看,CODMn与因子1显著正相关(p<0.01),氨氮、总氮与因子1和因子2均显著正相关(氨氮p<0.05,总氮p<0.01),总磷、汞和铅仅与因子2显著相关,铅显著水平(p<0.01)高于总磷和汞(p<0.01).总体而言,因子1和因子2与污染物都存在显著正相关关系,说明流域农村社会经济发展、城市化过程使得河流水体污染物浓度水平提高,是流域水环境质量恶化的主要驱动因素.
| 表 3 因子分析载荷矩阵 Table 3 Load matrix of factor analysis |
| 表 4 多元回归分析结果 Table 4 Results of multiple linear regression |
1)流域人口规模大幅增长,工业生产强度大幅提高,工业聚集区由北京—天津地区扩展到北京—天津—唐山、石家庄、聊城—德州等地区.人口和经济产值大幅增长直接导致流域工业废水和生活污水排放规模迅速上升,成为河流水质恶化直接驱动力.
2)城市扩张是流域土地利用变化最显著特征.近30年来城市用地面积增加85%,北京—天津—唐山城市群规模扩大,造成流域水资源开发利强度加剧,降低河流自净缓冲能力.
3)流域影响河流水质因素可以分解为农村、城市和自然等方面,多元回归结果显示,城市化过程和农村社会经济发展对流域河流水体污染物浓度水平的影响非常显著.
| [1] | 北京市统计局. 2006. 北京统计年鉴2005[M]. 北京: 中国统计出版社 |
| [2] | Booth D B, Jackson C R. 1997. Urbanization of aquatic systems: degradation thresholds, stormwater detection, and the limits of mitigation[J]. Journal of the American Water Resources Association, 33(5): 1077-1090 |
| [3] | Brown G W. 1983. Forestry and Water Quality[M]. Ohio: Oregon State University Book Stores |
| [4] | Comín F A, Romero J A, Astorga V, et al.1997. Nitrogen removal and cycling in restored wetlands used as filters of nutrients for agricultural runoff[J]. Water Science and Technology, 35(5): 255-261 |
| [5] | Foe C G. 1995. Insecticide Concentrations and Invertebrate Bioassay Mortality in Agricultural Return Water from the San Joaquin Basin[M]. California: Central Valley Regional Water Quality Control Board |
| [6] | Hayakawa A, Shimizu M, Woli K P, et al.2006. Evaluating stream water quality through land use analysis in two grassland catchments [J]. Journal of Environmental Quality, 35(2): 617-627 |
| [7] | 何晓群. 2008. 多元统计分析(第2版)[M]. 北京: 中国人民大学出版社 |
| [8] | King R S, Baker M E, Whigham D F, et al.2005. Spatial considerations for linking watershed land cover to ecological indicators in streams[J]. Ecological Applications, 15(1): 137-153 |
| [9] | 刘家宏, 秦大庸, 王浩, 等.2010. 海河流域二元水循环模式及其演化规律[J]. 科学通报, 55(6): 512-521 |
| [10] | 刘祥举, 李育宏, 于建国. 2011. 我国再生水水质标准的现状分析及建议[J]. 中国给水排水, 27(24): 23-25; 29 |
| [11] | 刘兴元, 陈全功, 王永宁. 2006. 甘南草地退化对生态安全与经济发展的影响[J]. 草业科学, 23(12): 39-42 |
| [12] | 刘影, 彭薇. 2003. 鄱阳湖湿地生态系统退化的社会经济驱动力分析[J]. 江西社会科学, (10): 231-233 |
| [13] | Sharpley A N, Smith S J, Jones O R, et al.1992. The transport of bioavailable phosphorus in agricultural runoff[J]. Journal of Environmental Quality, 21(1): 30-35 |
| [14] | Shoemaker D. 1994. Cumulative Environmental Assessment [M]. Waterloo, Ontario, CA: Department of Geography, University of Waterloo |
| [15] | Tabachnick B G, Fidell L S. 2006. Using Multivariate Statistics (5th ed)[M]. Boston: Allyn & Bacon |
| [16] | 谈明洪, 李秀彬, 吕昌河. 2003. 我国城市用地扩张的驱动力分析[J]. 经济地理, 23(5): 635-639 |
| [17] | 天津市统计局. 2006. 天津统计年鉴2005[M]. 北京: 中国统计出版社 |
| [18] | 万荣荣, 杨桂山. 2005. 太湖流域土地利用与景观格局演变研究[J]. 应用生态学报, 16(3): 475-480 |
| [19] | 王秀兰, 包玉海. 1999. 土地利用动态变化研究方法探讨[J]. 地理科学进展, 18(1): 81-87 |
| [20] | 夏军, 张永勇, 王中根, 等. 2006. 城市化地区水资源承载力研究[J]. 水利学报, 37(12): 1482-1488 |
| [21] | 杨桂山. 2004. 土地利用/覆被变化与区域经济发展——长江三角洲近50年耕地数量变化研究的启示[J]. 地理学报, 59(S1): 41-46 |
| [22] | 杨柳, 马克明, 郭青海, 等. 2004. 城市化对水体非点源污染的影响[J]. 环境科学, 25(6): 32-39 |
| [23] | 朱永华, 任立良, 夏军, 等. 2005. 海河流域与水相关的生态环境承载力研究[J]. 兰州大学学报(自然科学版), 41(4): 11-16 |
2015, Vol. 35






