2. 中国环境科学研究院环境基准与风险评估国家重点实验室, 北京 100012
2. State Key Lab of Environmental Criteria and Risk Assessment, Chinese Research Academy of Environmental Sciences, Beijing 100012
从1994年开始,北京市区禁止燃放烟花爆竹,直至2005年9月9日,北京市宣布废除鞭炮燃放禁令,规定自2005年12月1日起施行“限放”,即规定五环路以内农历除夕至正月初一及正月初二至正月十五的7:00—24:00之间可以燃放烟花爆竹.废除燃放禁令后的春节期间成为北京市一年中污染排放波动最为剧烈的时期:一方面从春节前夕开始,全市人口及车流量均大幅减少,工业生产、建筑施工等活动水平大幅下降,周边地区污染源排放量也明显降低,区域污染排放和积累的程度大幅减弱;另一方面,除夕、初一及元宵节等夜间时段,烟花爆竹集中燃放,短时间内排放大量污染物,对空气质量又会造成显著的负面影响.常规污染源排放减量和烟花爆竹污染排放增量的叠加效应,是影响春节期间空气质量的重要特征因素.
爆竹的主要成分是黑火药,含有硫磺、木炭粉、硝酸钾等,有的还含有氯酸钾.制作闪光雷、电光炮、烟花炮、彩色焰火时,还要加入镁粉、铁粉、铝粉、锑粉和无机盐.国内外的相关研究表明(Colbeck et al., 1996;Perry,1999;Wehner et al., 2000;李令军等,2006;Moreno et al., 2007;洪也等,2011),大量燃放烟花爆竹会导致大气中的颗粒物、SO2和NO2浓度增加.Wang等(2007)对2006年北京市元宵节期间气溶胶化学成分的研究表明,燃放爆竹的夜晚气溶胶中一次成分含量(如Ba、K、Sr、Pb、Mg等)和二次成分(如SO42-和NO3-)比正常情况下高出5倍以上.Dutcher等(1999)的研究表明,燃放烟花产生的颗粒物中元素K和S的含量很高,同时有机物和碳黑的含量较平时有所增加.徐敬等(2006)对2003年春节期间北京市气溶胶细粒子的研究表明,烟花爆竹的燃放会导致PM2.5中以燃烧为代表的元素(S、P和As)、部分金属元素(Al、Fe、Ti、Se和K)和可溶性离子成分浓度升高.另外,燃放烟花爆竹还会导致大气能见度显著下降(金军等,2007),产生致癌的多氯代二苯并二 英(PCDDs)和多氯代二苯并呋喃(PCDFs)(Dyke et al., 1997;Fleischer et al., 1999),以及危害人体健康(Ravindra et al., 2003;Vassilia et al., 2004;Kulshrestha et al., 2004).
目前,针对北京市春节期间空气质量的研究较少,特别是多点位的连续时间尺度的研究更是缺乏.因此,本研究对2014年北京春节期间3个监测站点的常规污染物浓度、PM2.5化学组分及能见度进行分析,探讨污染源减排和烟花爆竹燃放对北京市空气质量造成的影响,并量化估算烟花爆竹燃放对PM2.5
2 采样位置与监测方法(Sampling locations and monitoring methods)大气环境监测数据来自于北京市空气质量自动监测网络,其中,选择位于市区的官园监测站作为城区监测点,选择位于北京市北部怀柔镇的怀柔监测站和位于北京市南部房山区的良乡监测站作为郊区监测点.PM2.5化学组分分析仪安装在北京市环境保护监测中心楼顶,高度约为30 m,与官园监测点的直线距离约为2 km.能见度监测仪在监测中心楼顶和良乡监测站各有1台,各监测站位置如图 1所示.
![]() |
| 图 1 官园、怀柔、良乡监测站位置 Fig. 1 Location of Guanyuan,Huairou and Liangxiang station |
PM2.5监测采用Thermo Fisher 1405F监测仪,原理是以恒定的流速将环境空气中的PM2.5颗粒通过采样切割器吸入仪器内部,用滤膜动态测量系统(FDMS)配合微量振荡天平法(TEOM)测量PM2.5的质量浓度.PM10监测采用Thermo Fisher 1400监测仪,原理同样为TEOM法.CO分析采用Thermo Fisher 48C气体过滤相关法分析仪,最低检测限为40×10-9(体积分数),零漂小于100×10-9/24 h,跨漂为±1%/24 h.NOx分析采用Thermo Fisher 42C化学发光NO-NO2-NOx分析仪,其原理是NO与O3发生化学反应时产生激发态的NO2分子,当激发态的NO2分子返回基态时发出一定波长的光,所发出光的强度与NO的体积分数呈线性正相关.检测NO2时先将NO2通过钼转换器转换成NO,然后再通过化学发光反应进行定量分析.该分析仪最低检测限为0.05×10-9(体积分数),零漂小于0.025×10-9/24 h,跨漂为±1%/24 h.O3分析采用Thermo Fisher 49C紫外光度法分析仪,原理为O3分子吸收波长为254 nm的紫外光,该波段紫外光被吸收的程度直接与O3的体积分数相关,根据检测样品通过时紫外光被吸收的程度来计算出O3体积分数.分析仪最低检测限为1×10-9(体积分数),精度为1×10-9(体积分数),零漂为0.4%/24 h,跨漂为±1%/24 h,±2%/7 d.SO2监测采用Thermo Fisher 43i脉冲紫外荧光法分析仪,分析仪最低检测限为0.5×10-9(体积分数),精度为1×10-9(体积分数),零漂小于1×10-9/24 h,跨漂为±0.5%/24 h.化学组分分析采用RT-4型有机碳元素碳分析仪和URG 9000S阴阳离子在线监测仪,地面气象要素观测采用荷兰VAISALA公司生产的六参数WXT520气象仪,能见度监测采用芬兰VAISALA公司生产的FD12型能见度仪.各监测仪器均有校准仪,参照国家标准定期校准,保证监测数据的准确性和有效性.
3 结果与分析(Results and analysis) 3.1 烟花爆竹对2014年春节期间北京市空气质量的影响烟花爆竹燃放较集中的是除夕夜间和正月十五元宵节夜间,由于自2月13日(正月十四)开始,北京市受不利气象条件的影响,发生连续3天的重污染过程,局地污染物的积累和区域的传输可能干扰到对烟花爆竹对空气质量影响的判断,因此,选择1月30日(除夕)13时到1月31日(初一)12时这一时间段进行分析,求得这期间各污染物的小时变化曲线,并与北京市2014年1、2月份这3个站点除了1月30日和31日以外的其他时间的平均污染物小时变化曲线进行对比,探讨烟花爆竹的燃放对北京市空气质量的影响.另外,大气污染物在空气中的浓度受到污染源排放和气象扩散条件两个因素的影响,因此,这一时间段内空气中污染物浓度的变化反映的是特定气象条件下烟花爆竹的燃放对空气质量的影响.
3.1.1 气象条件分析受北京市特殊的地理位置、工业布局及周边区域污染水平等的影响,当北京市的主导风向为偏北风时,一般会对北京市大气污染 物起到清除的作用,认为扩散条件相对较为有利;主导风向为偏南风时,则认为扩散条件相对较为不利.图 2为2014年1月30日13时至1月31日12时北京市观象台的风速和风向示意图.可以看出,除夕的下午,北京市主要以偏东风为主,入夜后转为西南风,从初一凌晨开始,又转为偏东风和东北风,并一直维持到初一中午,风速也维持在2 m · s-1左右.因此,整体来看,在除夕的中午到初一的中午这一时间段内,北京市处于较为有利的污染物扩散条件下.
![]() |
| 图 2 2014年1月30日13时至1月31日12时北京市观象台风向风速 Fig. 2 Wind direction and speed at Beijing observatory from 13:00 on January 30 to 12:00 on January 31,2014 |
1月30日下午CO、SO2和NOx等气态污染物的浓度一直维持较低水平(图 3).入夜以后,受到大气边界层高度降低、大气层结变稳定及局地污染源排放等因素的影响,污染物会表现出浓度上升的日变化规律(凌宏等,2009).CO和NOx的浓度变化趋势与1、2月份并没有明显的差别,大部分时间内的小时浓度值均低于1、2月份平均值,但SO2在1月30日20时左右形成了一个较明显的峰值,这在1、2月份的平均值曲线中是没有出现的,这主要是受到入夜后已经有部分烟花爆竹燃放现象的影响.1月31日0时为烟花爆竹燃放的高峰,此时SO2也出现夜间的第二个峰值,但浓度值要低于第一个峰值,主要是受到夜间出现的较明显偏北风的扩散作用影响.而CO和NOx则未出现峰值,反而在偏北风的影响下降扩散至较低浓度.良乡的NOx在1月31日凌晨1时出现一个较小的峰值,可能是受到上风向传输的影响.可以看出,烟花爆竹的燃放对SO2浓度有较明显的影响,而对CO和NOx的影响则相对较小,在有利的扩散条件下难以造成明显的浓度变化.
![]() |
| 图 3 2014年1月30日13时至1月31日12时及1、2月CO、SO2和NOx平均小时浓度 Fig. 3 Hourly CO,SO2 and NOx concentration from 13:00 on January 30 to 12:00 on January 31,2014 and the average concentration of January and February |
图 4为1月29日至2月1日4 d时间内3个站点的PM10和PM2.5浓度变化.可以看出,PM10和PM2.5的浓度变化趋势大致相同,1月29日夜间和除夕凌晨,出现过一个高于1、2月份平均值的峰值;除夕夜间和初一凌晨,出现更加明显的峰值;此后一直到2月1日夜间,官园和良乡站的PM10和PM2.5浓度水平基本与1、2月份的平均值维持一致,而怀柔站的PM10和PM2.5浓度则明显高于平均值,气态污染物浓度也在1月31日9时出现一个较明显的峰值,可能是受局地的污染源影响.PM10和PM2.5峰值的出现时间与烟花爆竹的燃放规律完全一致,说明烟花爆竹的燃放对颗粒物有十分明显的影响,下面将对除夕夜间和初一凌晨的PM10和PM2.5浓度进行量化分析.
![]() |
| 图 4 2014年1月29日至2月1日及1、2月份PM10和PM2.5平均小时浓度 Fig. 4 Hourly PM10 and PM2.5 concentration from January 29 to February 1,2014 and the average PM10 and PM2.5 concentration of January and February |
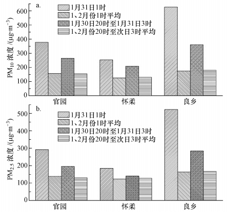
1月30日下午,3个站点的PM10和PM2.5浓度还维持在较低水平,入夜之后开始出现较明显的上升,在21时左右达到第一个峰值,随后浓度有所下降,然后在1月31日凌晨1时达到第二个峰值,此时的浓度值一般达到最高值(图 4).官园、怀柔和良乡监测站在1月31日凌晨1时的PM10浓度值分别为377.8、253.2和627.0 μg · m-3,分别为1、2月份平均值的2.4、2.0和3.6倍,其中,良乡的PM10浓度最高,除了与烟花爆竹燃放强度有关外,还可能受到上风向传输的影响.选取燃放高峰期的1月30日20时至1月31日3时,官园、怀柔和良乡在此期间的PM10平均浓度分别为264.5、209.1和360.7 μg · m-3,是1、2月份平均值的1.7、1.6和2.0倍(图 5a).
![]() |
| 图 5 燃放高峰时段PM10(a)和PM2.5(b)浓度与1、2月份平均浓度对比 Fig. 5 PM10(a) and PM2.5(b)concentration in the firework period and the average concentration of January and February |
官园、怀柔和良乡监测站在1月31日凌晨1时的PM2.5浓度值分别为292.0、184.7和522.4 μg · m-3,分别为1、2月份平均值的2.1、1.5和3.2倍.1月30日20时至1月31日3时官园、怀柔和良乡的PM2.5平均浓度分别为195.6、140.5和284.2 μg · m-3,分别是1、2月份平均值的1.5、1.1和1.7倍(图 5b).
可以看出,烟花爆竹的燃放对PM10和PM2.5等颗粒物浓度有明显的影响,在有利的扩散条件下仍能造成短时间内的高浓度现象,燃放高峰的凌晨1时PM10和PM2.5的浓度仍达到1、2月份均值的2倍以上,分别达到627.0 μg · m-3和522.4 μg · m-3的高值.通过对比还可以发现,本次烟花爆竹燃放过程中PM10相比于1、2月份均值的增幅要略大于PM2.5的增幅,与张小玲等(2008)的研究有所不同,原因可能是两次研究的气象条件不同,或者烟花爆竹的成分发生过变化.
3.1.4 对PM2.5化学组分的影响烟花爆竹含有多种化学成分,因此,燃放过程会对PM2.5化学组分造成明显的影响.图 6为1月30日13时至1月31日12时PM2.5化学组分的浓度变化.可以看出,1月30日下午各组分浓度还维持在较低水平,入夜后,受到日变化规律和烟花爆竹燃放的共同影响,各组分浓度出现较明显的上升;伴随着1月31日凌晨1时的燃放高峰,K+、SO42-、Cl-、Mg2+和Na+也出现一个明显的峰值,这5种离子的峰值浓度和在PM2.5中占的比例高达92.1%,K+浓度更是出现了293.8 μg · m-3的高值.同期监测的PM2.5常规组分NO3-、NH4+、有机碳和元素碳等并没有出现同样的明显上升趋势,这也充分证明烟花爆竹燃放是导致春节期间PM2.5升高的重要污染来源.值得注意的是,Wang等(2007)对2006年北京市元宵节期间空气质量的研究表明,NO3-的平均浓度是平日的7倍,与本研究的NO3-变化特征不同,可能与大气中NO3-的浓度水平、污染物扩散条件、烟花爆竹的成分及NO3-生成的化学机制不同有关.后半夜受有利的扩散条件影响各组分浓度也出现下降,至1月31日上午虽然各组分的浓度相比夜间的峰值有较明显的降低,但仍高于1月30日下午的浓度值,与各气态污染物浓度表现出相同的变化规律.
![]() |
| 图 6 2014年1月30日13时至1月31日12时PM2.5化学组分小时浓度 Fig. 6 Hourly concentration of chemical compositions of PM2.5 from 13:00 on January 30 to 12:00 on January 31,2014 |
假设在同一时期内PM2.5的化学组分是稳定不变的,则可根据各离子的浓度比例推算PM2.5组分中受烟花爆竹影响的大致比例.Wang等(2007)曾根据烟花爆竹燃放期间和非烟花爆竹燃放期间PM2.5组分中不同离子之间的比例来量化估算烟花爆竹燃放对各组分的影响,本研究采用类似的方法进行估算.将1月30日13时至1月31日12时(除夕下午至初一上午)和2月14日13时至2月15日12时(元宵节下午至正月十六上午)这两个时段去除后,2014年1、2月份 K+和NO3-浓度的比值约为0.60,由于NO3-受烟花爆竹燃放的影响较小,因此,根据此系数和1月30日13时至1月31日12时之间的NO3-浓度可推算出正常情况下的K+浓度约为7.7 μg · m-3,而实际的K+平均浓度达到34.2 μg · m-3,推算出其中受烟花爆竹燃放产生的K+约占到77.5%.同理根据各离子与NO3-的比值变化可推算出SO42-、Cl-、Mg2+和Na+浓度中由烟花爆竹燃放产生的分别约占到63.0%、88.6%、98.9%和61.1%.
3.1.5 对PM2.5对能见度的影响图 7为1月30日13时至1月31日12时的能见度与1、2月份能见度平均值的对比.可以看出,烟花爆竹的燃放对能见度有较明显的影响.1月30日北京本来是晴转多云的天气,但受到烟花爆竹燃放的影响,监测中心和良乡两地入夜后的能见度明显低于日常的均值;在燃放高峰的1月31日1时,监测中心和良乡的能见度分别降至2422 m和3591 m,分别为日常能见度均值的22.9%和32.8%.1月30日后半夜至1月31日上午,监测中心和良乡的能见度一直低于日常均值.由于1月31日的天气为多云转阴有雾,因此,无法判断这一时间段内能见度的降低是由天气原因造成的还是受烟花爆竹燃放的持续影响.
![]() |
| 图 7 2014年1月30日13时至1月31日12时监测中心和良乡小时能见度及1、2月份平均能见度 Fig. 7 Hourly visibility of Beijing Municipal Environmental Monitoring Center and Liangxiang from 13:00 on January 30 to 12:00 on January 31,2014 and average visibility of January and February |
每年的腊月二十五开始,已经出现部分企业放假和人员离京现象,正月初八、初九开始,大批人员返京,工地和工厂开工,机动车的出行数量也开始增加,因此,腊月二十五至正月初九的半个月时间最能反映北京春节期间的污染源排放特征,在此称为“春节半月”.对2010—2014年“春节半月”官园、怀柔和良乡PM10浓度与每年冬季(1、2月及前一年的12月)的平均值及年均值进行对比,结果见图 8.可以看出,近5年间除2012年外,“春节半月”期间的PM10浓度均明显低于同年的冬季均值和年均值.2012年导致“春节半月”期间PM10平均浓度较高的原因是在腊月二十五、二十六(2012年1月18、19日)2天,北京市遭遇了一次严重的PM10污染过程,这两天官园、怀柔和良乡的平均PM10日均浓度分别达到395、277和520 μg · m-3的高值.若去掉这一次重污染过程再进行计算,2012年“春节半月”期间官园、怀柔和良乡的平均PM10浓度分别为76、62和113 μg · m-3,同样明显低于同年的冬季均值和年均值.2010—2014年,官园、怀柔和良乡监测站“春节半月”期间PM10平均浓度相比于同年冬季均值的平均降幅分别为16.8%、9.5%和19.2%.2014年官园、怀柔和良乡在“春节半月”期间的PM2.5浓度分别为73.5、77.0和88.0 μg · m-3,相比于冬季均值分别下降了33.3%、20.6%和39.2%.可以看出,尽管受到春节烟花爆竹燃放的影响,但春节半月期间的空气质量仍然优于冬季平均水平,表明污染源减排对空气质量的正影响非常明显.
![]() |
| 图 8 官园、怀柔、良乡监测站“春节半月”、冬季平均和年平均PM10浓度 Fig. 8 PM10 concentration of the half month of spring,winter average concentration and annual average concentration of Guanyuan,Huairou and Liangxiang |
1)烟花爆竹的燃放对不同大气污染物的影响存在较明显的差别,其中,对PM10和PM2.5的影响最为显著,对SO2的浓度也有较明显的影响,而对CO和NOx的影响则相对较小,在有利的扩散条件下难以造成明显的浓度变化.
2)烟花爆竹的集中燃放会在短时间内造成严重的大气污染,官园、怀柔和良乡监测站在1月31日凌晨1时的PM10浓度值分别为377.8、253.2和627.0 μg · m-3,分别为1、2月份平均值的2.4、2.0和3.6倍;官园、怀柔和良乡监测站在1月31日凌晨1时的PM2.5浓度值分别为292.0、184.7和522.4 μg · m-3,分别为1、2月份平均值的2.1、1.5和3.2倍.
3)烟花爆竹的燃放会对PM2.5化学组分造成明显的影响,受影响最大的是K+、SO42-、Cl-、Mg2+和Na+等,1月31日1时这5种离子在PM2.5浓度中占的比例高达92.1%,K+浓度更是出现了293.8 μg · m-3的高值.推算得出,1月30日13时至1月31日12时之间K+、SO42-、Cl-、Mg2+和Na+浓度中由烟花爆竹燃放产生的分别约占到69.0%、63.0%、88.6%、98.9%和61.1%.烟花爆竹的燃放对能见度也有较明显的影响,1月31日1时监测中心和良乡的能见度分别降至1、2月份能见度均值的22.9%和32.8%.
4)除2012年外,2010—2014年“春节半月”期间官园、怀柔和良乡PM10浓度均明显低于冬季均值,平均降幅分别为16.8%、9.5%和19.2%.2014年“春节半月”这3个监测站的PM2.5浓度相比于冬季均值也分别下降了33.3%、20.6%和39.2%.尽管受到春节烟花爆竹燃放的影响,但春节半月期间的空气质量仍然优于冬季平均水平,表明污染源减排对空气质量的正影响非常明显.
| [1] | Colbeck I,Chung M C.1996.Ambient aerosol concentrations at a site in SE England during bonfire night 1995[J].Journal of Aerosol Science,27: S449-S450 |
| [2] | Dutcher D D,Perry K D,Cahill T A,et al.1999.Effects of indoor pyrotechnic displays on the air quality in the Houston Astrodome[J].Journal of the Air & Waste Management Association,49(2): 156-160 |
| [3] | Dyke P,Coleman P,James R.1997.Dioxins in ambient air,bonfire night 1994[J].Chemosphere,34(5/7): 1191-1201 |
| [4] | Fleischer O,Wichmann H,Lorenz W.1999.Release of polychlorinated dibenzo-p-dioxins and dibenzofurans by setting off fireworks[J].Chemosphere,39(6): 925-932 |
| [5] | 洪也,马雁军,韩文霞,等.2011.沈阳市冬季大气颗粒物元素浓度及富集因子的粒径分布[J].环境科学学报,31(11): 2336-2346 |
| [6] | 金军,王英,李令军,等.2007.北京春节期间大气颗粒物污染及影响[J].环境污染与防治,29(3): 229-232 |
| [7] | Kulshrestha U C,Nageswara Rao T,Azhaguvel S,et al.2004.Emissions and accumulation of metals in the atmosphere due to crackers and sparkles during Diwali festival in India[J].Atmospheric Environment,38(27): 4421-4425 |
| [8] | 李令军,李金香,辛连忠,等.2006.北京市春节期间大气污染分析[J].中国环境科学,26(5): 537-541 |
| [9] | 凌宏,王迎红,胡波,等.2009.2007年夏季北京大气CO检测分析[J].环境化学,28(4): 567-570 |
| [10] | Moreno T,Querol X,Alastuey A,et al.2007.Recreational atmospheric pollution episodes: Inhalable metalliferous particles from firework displays[J].Atmospheric Environment,41(5): 913-922 |
| [11] | Perry K D.1999.Effects of outdoor pyrotechnic displays on the regional air quality of Western Washington State[J].Journal of the Air & Waste Management Association,49(2): 146-155 |
| [12] | Ravindra K,Mor S,Kaushik C P.2003.Short-term variation in air quality associated with firework events: A case study[J].Journal of Environmental Monitoring,5(2): 260-264 |
| [13] | Vassilia K,Eleni P,Dimitrios T.2004.Firework-related childhood injuries in Greece: a national problem[J].Burns,30(2): 151-153 |
| [14] | Wang Y,Zhuang G S,Xu C,et al.2007.The air pollution caused by the burning of fireworks during the lantern festival in Beijing[J].Atmospheric Environment,41(2): 417-431 |
| [15] | Wehner B,Wiedensohler A,Heintzenberg J.2000.Submicrometer aerosol size distributions and mass concentration of the millennium fireworks 2000 in Leipzig,Germany[J].Journal of Aerosol Science,31(12): 1489-1493 |
| [16] | 徐敬,丁国安,颜鹏,等.2006.燃放烟花爆竹对北京城区气溶胶细粒子的影响[J].安全与环境学报,6(5): 79-82 |
| [17] | 张小玲,徐敬,李腊平.2008.不同气象条件下烟花爆竹燃放对空气质量的影响研究[J].气象与环境学报,24(4): 6-12 |
2015, Vol. 35









