2. 农业部西北植物营养与农业环境重点实验室,杨凌 712100
2. Key Laboratory of Plant Nutrition and the Agric-environment in Northwest China,Ministry of Agriculture,Yangling 712100
随着我国集约化禽畜养殖业的迅速崛起,大量增加的禽畜粪便处理或处置不当所产生的环境污染问题引起社会普遍关注(杨朝飞,2001).对农业废弃物进行堆肥化处理是国内外提倡的方式,施用有机肥不仅能够改善环境、促进循环农业发展,还可以提高土壤肥力和质量(吴景贵等,2006).畜禽粪便腐解过程中,所形成的中间产物十分复杂,且很难分离.通过波谱分析可以从物质结构的角度认识和评价堆肥腐熟,其中,红外光谱法可以辨别化合物的特征功能团.腐解物质中含有大量的腐殖质,根据其在酸碱溶液中的溶解性分为胡敏酸(HA)、富里酸(FA)和胡敏素(HM)3个部分.腐殖质组分中含有羧基、酚羟基、醇羟基、醚基、酮基、醛基、酯及酰胺等各种功能基,从而影响这些物质在土壤中的化学行为和生物毒性或生理活性等(梁重山,2006;Schniter and Khan, 1972;Mac Carthy and Rich, 1985).通过红外光谱研究有机物料堆腐过程中腐殖质的结构、官能团等变化,揭示腐解过程腐殖化规律以及与腐熟度的关系,对农业生产具有指导作用.但是,这方面的研究总体看来还比较少,有待进一步深入.在畜禽粪便腐解过程中,有机酸是一类重要的中间产物,广泛存在于未腐熟的堆肥中,影响土壤养分以及植物的生长发育.随着堆肥腐熟化的进行,有机酸逐渐减少,减少的快慢与通气状况和原料相关(朴哲等,2001).Chefetz 等(1996)认为含有乙酸的堆肥是不腐熟的,堆肥中碳氢化合物的分解条件是好氧,如果发生厌氧反应,易容易产生丁酸等酸性物质.王林权等(2002)在对鸡粪有机酸的研究中检测出了草酸等5种多元羧酸,其含量高,变幅大.本文采用化学方法以及FTIR法(傅立叶红外光谱)对4种不同处理的畜禽粪便在腐解转化过程中碳的变化进行了研究,并根据综合性指标GI,确定评价腐解物料腐熟度的有机碳方面的指标,旨在为畜禽粪便快速发酵腐熟提供基础资料.
2 材料与方法(Materials and methods) 2.1 试验材料及其特性堆肥原料牛粪和鸡粪来源于陕西杨陵周边的养牛场和养鸡场,菌糠来源于陕西杨凌金麒麟生物科技有限公司(以生产杏鲍菇为主),其基本特性见表 1.发酵启动剂内含可以激发自然界微生物快速繁殖的营养因子——速效碳源、氮源和微量元素(为待申报专利产品,暂不公开).
| 表1 堆肥原料特性 Table 1 Physical and chemical properties of tested composting material |
将牛粪、菌糠、鸡粪按照不同比例混合(见表 2),然后添加保氮-除臭材料(为多空隙天然矿物)的基础上,再分为是否添加发酵启动剂(添加比例占有机物料的0.2%),在自制发酵桶(直径50 cm、高50 cm,体积为98 L,在中部和底部置有通气管道,无加热系统)中进行通气发酵,通气量为0.6~0.8 m3 · kg-1 · d-1(以有机物计),每次通气4 h,每天通1次.所有处理重复两次.
| 表2 畜禽粪便堆腐方案 Table 2 Design of Manure Composting |
物料发酵开始,每4天采样1次,每个采样点采集堆肥的上中下3个层次混合(作为一个样),每个发酵时段采集2个点作为重复,用于有机物的提取和分离.
2.4 腐殖物质的提取腐殖物质的提取采用文启孝(1984)提供的方法.既称取不同腐解期的有机物料2 g于离心管内,加入50 mL去离子水,静止24 h,振荡4 h,用0.45 μm滤膜过滤,滤液即为水溶性有机碳(DOC).吸取水溶性有机碳清液25 mL,加入6 mol · L-1的稀硫酸,调节酸度至pH=1~1.5,静止24 h,使溶液发生沉淀,离心后取上清液,为小分子有机化合物(WLOM),测定其含碳量.称取不同腐解期的有机物料5 g于离心管内,加入0.1 mol · L-1 NaOH 100 mL,静止24 h,振荡1 h,过滤,滤液为碱溶性有机碳(AOC).吸取滤液50 mL,加入6 mol · L-1的稀硫酸,调节酸度至pH=1~1.5,静止24 h,使溶液发生沉淀,离心,上清液代表类富里酸(FA),测定其含碳量,沉淀为碱提胡敏酸(AHA).
2.5 种子发芽试验(李吉进等,2006)用水浸提风干样(水 ∶ 物料比=10 ∶ 1,mL ∶ g),振荡30 min,静置后用高速离心机3000 r · min-1离心5 min,取清液于塑料瓶中保存备用.在培养皿中铺上一层滤纸,然后加入5 mL待测液.每个培养皿中均匀播种30粒白菜种子.用报纸覆盖遮光以及阻止蒸发.培养期间不定时补充清液使滤纸保持湿润,培养时间为8 d.测定种子发芽率及根长.本试验以去离子水为对照,最后在相对发芽率和相对根长的基础上计算发芽指数GI.
GI= 堆肥浸提液的种子发芽率×种子根长 去离子水的种子发芽率×种子根长 ×100%
2.6 分析测定方法有机碳的测定:采用重铬酸钾-外加热法(鲍士旦,2008).红外光谱的测定:用溴化钾压片法测定.待测样品粉碎研磨过0.05 mm筛,然后将样品与KBr粉末以1 ∶ 100的比例,在玛瑙研钵中混合研磨后压片,进行红外测定(吴瑾光,1994).有机酸的测定:高效液相色谱法(王平和周荣,2006).
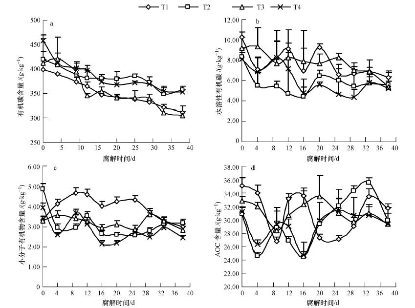
3 结果与分析(Results and analysis) 3.1 总有机碳的动态变化在整个堆肥过程中,随着腐解进行有机碳呈下降趋势(见图 1a),这与其他研究者的报道吻合(贺琪等,2005).T1和T3有机碳含量下降幅度较大,与T2、T4的下降幅度差异显著.与腐解开始相比,腐解结束时,T1有机碳含量降低了22.19%,T3降低了25.95%;T2和T4有机碳含量下降较为缓慢,腐解结束时,T2降低了14.84%,T4降低了23.12%.3种有机物料的配比为1 ∶ 1 ∶ 1处理的有机质矿化较快.腐解末期,T3比T1的有机碳含量低了21.12%,T4比T2的有机碳含量降低了70.07%,说明添加发酵启动剂可以促进有机质的矿化分解.
![]() |
| 图 1 腐解过程中有机碳的变化 Fig. 1 Changes of organic carbon during composting |
水溶性有机碳是微生物在分解有机物料中半纤维素、纤维素等组分的产物,但同时它又是微生物本身所依赖的碳源与能源(Bernai et al., 1998).堆肥中的水溶性物质是被微生物优先利用的碳源,主要包括小分子的糖类、有机酸、氨基酸、肽、酚类等,极易被微生物降解与利用(若尺秀幸,1987).随着堆肥过程的进行,水溶性有机碳以上下波动的规律逐渐减少(见图 1b),堆肥物料中有机碳快速分解,部分分解为水溶性有机碳,使得粪肥中水溶性有机碳含量增加,而随着微生物的增长,水溶性有机碳会被大量消耗而减少.至腐解结束,4个处理的水溶性有机碳含量为T1>T2>T3>T4,与腐解开始相比,T1、T2、T3、T4四个处理的水溶性有机质含量分别降低了38.82%、33.01%、41.85%、35.31%,除T2外,其他3个处理差异达到显著水平.产生这样的差异是由于T3、T4中添加了发酵剂,可以促进碳的快速分解,同时,过多的牛粪不利于有机碳的分解,造成T3的降解幅度大于T4.
小分子有机物的变化整体呈现出下降的趋势(见图 1c),由于T2和T4含有较多的牛粪,在腐解过程中,小分子有机物的含量波动较大,T1和T3的则较为平缓.添加发酵剂的处理T3和T4,相对于T1和T2,其小分子有机物含量较低,这可能是发酵剂加速了有机物质的分解,促进小分子的富里酸向大分子的胡敏酸转化.
3.3 碱溶性有机碳动态变化腐解物质的碱提有机碳随着腐解的进行,其含量呈现出波动状(见图 1d).初期含量下降,可能是部分碱溶性有机碳转化为水溶性有机碳,使得水溶性有机物含量增加.随着时间的持续,水溶性有机物的分解转化,碱提有机碳略有升高.在腐解末期,碱提有机碳的含量均下降,腐解结束时(38 d),与腐解开始相比,4个处理碱提有机碳含量分别减少了9.62%、2.98%、10.28%和6.06%.类富里酸(FA)变化趋势同碱提有机碳类似,大体呈现下降趋势(见图 2a),至腐解结束(38 d),4个处理的FA含量比初始值分别减少了9.71%、8.58%、16.01%、18.31%.FA的下降幅度略大于碱提有机碳的下降幅度,这说明,在腐解过程的进行中,类富里酸向胡敏酸转化,类富里酸含量逐渐减少,胡敏酸逐渐增加,这与其他研究者的结果一致(王旭东等,2001;张亚宁和李国学,2005).添加发酵剂T3和T4的碱提有机碳和FA下降幅度明显高于未添加发酵剂的T1和T2,发酵剂可以加快有机物质的分解,促进类富里酸向胡敏酸的转化.
![]() |
| 图 2 腐解过程中有机酸的变化 Fig. 2 Changes of organic acid during composting |
在畜禽粪便腐解过程中,会产生一定的有机酸,而随着腐解的进行,有机酸的含量逐渐降低,很多学者研究认为,有机酸广泛的存在于腐熟不彻底的堆肥物料中,施用后会对植物、土壤造成不良影响.腐解过程中有机酸减少的快慢与其原料相关(朴哲等,2001).
图 2b呈现出了腐解过程中乙酸的变化趋势.在腐解开始时,T2和T4中所含乙酸明显高于T1和T3,这是由于T2和T4中含有较多的牛粪造成的,随着腐解的进行,由于T4中添加发酵启动剂,乙酸含量迅速降低.T3和T4在发酵启动剂的作用下,乙酸含量迅速减少,分别在腐解9 d和16 d时检测不出乙酸含量;T1和T2乙酸含量波动性较大,总体是下降的趋势.在腐解结束时(38 d),4个处理的乙酸含量均检测不出,说明腐解物料中乙酸微量或者消失.
4 个处理的草酸含量呈现出波动下降的趋势(图 2c),T1在腐解12 d时出现了第一个峰值并达到最大值(1.206 g · kg-1);T2和T3的最大峰值出现在腐解25 d,分别是0.417 g · kg-1和0.517 g · kg-1;腐解33 d时,T4出现了最高的峰值(0.280 g · kg-1).腐解结束时,4个处理的草酸含量为T1>T2>T3>T4;与腐解开始草酸含量相比,4个处理的草酸含量分别下降了9.52%、35.29%、85.18%和69.55%.在相同条件下,有机物料为1 ∶ 1 ∶ 1处理的草酸含量略高于有机物料配比为5 ∶ 3 ∶ 2的处理,这可能是因为鸡粪中粗纤维和木质素的含量较少,而水溶性有机物质和脂蜡的含量较为丰富,因而促使了有机酸的形成.同时发酵启动剂的加入,加快了腐解物料的分解转化,促进有机酸的再分解,使得T3的草酸含量明显低于T1.
3.5 腐解产物的红外光谱分析 3.5.1 谱带的归属从不同处理的腐解过程的红外光谱可见,所有处理的光谱皆表现相似的红外特征.各处理的红外光谱吸收峰归属(Kuwatsuka et al., 1992;Inbar et al., 1991;Durig et al., 1988;Koji and Solomon, 1984)表明,3430~3380 cm-1为形成氢键的羟基的伸缩振动,这部分羟基一部分为有机物中的碳水化合物,另一部分为样品中含有的水分中的羟基.2935~2900 cm-1处的吸收峰是—CH2基团的C—H反对称伸缩振动;2990~2880 cm-1处的肩峰是由碳甲基及次甲基基团中的C—H对称伸缩振动而引起的;2858 cm-1处的吸收峰为甲基和亚甲基的C—H对称伸缩振动,这些基团主要来自有机物中的碳水化合物和脂肪族化合物.以1640 cm-1为中心的宽吸收带为水分子形成氢键的变形振动和有机羧酸盐反对称伸缩振动的吸收,靠近低波数的吸收峰是木质素中与芳香环相连的C O伸缩振动及酰胺化合物的特征吸收谱带I.1550~1515 cm-1处的吸收峰为酰胺中的N—H变形振动,即酰胺化合物的特征谱带II.1460~1450 cm-1处的吸收峰为碳水化合物和脂肪族化合物中的—CH2基团的剪式变形振动及脂肪族化合物和木质素中的—CH3基团C—H不对称变形振动以及氨基酸等化合物中的N—H变形振动.1430~1420 cm-1处的吸收峰为木质素和脂肪族化合物中的双键或羰基相连的—CH2的变形振动及无机的NH+4、NO-3和有机羧酸盐COO—的吸收.1390~1380 cm-1处的吸收峰是含有NH+4成分的复合物形成的.1100~970 cm-1为碳水化合物中的C—O的伸缩振动以及无机化合物的硅酸盐矿物和硫酸盐等形成的吸收峰;890~900 cm-1处的吸收峰是由纤维素及糖类如β-糖类、半乳糖、甘露糖、阿拉伯糖及多糖中的环振动产生.830 cm-1处为碳酸根形成的吸收峰;655~585 cm-1处的宽吸收带是羟基的里外变角振动;475~470 cm-1处的吸收峰则由Si—O的变形振动的吸收引起.
3.5.2 腐解产物的红外光谱图 3所示是每个处理不同时期腐解物质的红外光谱.从中可以看出,畜禽粪便在腐解过程中,其本身含有的官能团种类没有显著差别.T1和T2红外光谱3430~3380 cm-1的吸收峰呈现出波动的变化,在腐解33 d达到最高峰值;T3和T4呈现出下降的趋势,分别于33 d和25 d达到最低值,随后略有上升.说明发酵剂加速了碳水化合物的分解,纤维素、半纤维素等物质在逐渐减少.在1427 cm-1处出现了一个吸收峰,其变化与3430~3380 cm-1的吸收峰的变化有相同的趋势,这说明随着腐解的进行,蛋白质类物质分解,生成纤维素以及无机的硝酸盐.在1020 cm-1处出现了一个尖峰,这是碳水化合物中的C—O的伸缩振动以及无机化合物的硅酸盐矿物和硫酸盐等形成的吸收峰,这与1420~1430 cm-1处形成的峰有关,该峰是由于纤维素和糖类分解形成的CO2和水形成碳酸,并与分解过程中游离出的金属离子形成碳酸盐.由于腐解过程中形成了CO2-3,从而出现了870 cm-1的峰,但其含量较少,这与之前两个峰也有关系.510 cm-1和460 cm-1出现的峰值,可能是SiO2和硅酸盐的形成而引起的.
![]() |
| 图 3 腐解过程腐解物质的红外光谱(图中曲线自下而上分别为腐解天数0、9、16、25、33、38 d) Fig. 3 FTIR of substances during composting(The lines from bottom to top are decomposition of 0,9,16,25,33 and 38 days,respectively.) |
发芽试验是从生物的角度去评判有机物料是否腐解成熟,植物生长试验是评价堆肥腐熟度最终和最具有说服力的方法(Miler-Sylvan,1996),测量植物毒性最简便的方法就是测量种子的发芽力.黄国锋等(2002)、李承强等(1999)的研究建议使用种子发芽指数作为评判堆体腐熟的指标.
本试验选用十字花科植物,因其颗粒细小,高的萌芽率及对环境胁迫高度的敏感性而被广泛应用.随着堆肥时间的延长,4个处理的堆肥样品GI值均呈现出增加趋势(见图4),表明随着堆肥的进行,有机酸、氨气等抑制种子发芽的物质被慢慢消除,堆肥产物对植物的毒害作用逐渐降低.Zucconi等(1981)认为,当GI>0.5时,堆肥达到基本腐熟,当GI>0.8时,堆肥已经完全腐熟.腐解29 d时,T3已经达到完全腐熟标准(GI=82.76%);腐解33 d时,T1、T4达到腐熟指标,完全腐熟;在腐解结束时(38 d),四个处理的GI指数由初始值0分别上升到96%、108%、224%、192%,T3>T4>T2>T1,全部达到完全腐熟标准(>0.8).
3.7 腐熟度评价指标以综合性指标GI作为筛选其他腐熟度指标的依据.本试验研究结果表明,GI与TOC、DOC和FA均呈显著负相关,相关系数分别为-0.9273、-0.9091、-0.9781,与TOC和FA达到极显著水平.说明总有机碳(TOC)、水溶性有机碳(DOC)、类富里酸(FA)可以作为腐熟的评价指标.以GI>0.80为基础腐熟指标,当TOC<357.27 g · kg-1,DOC<7.00 g · kg-1,FA<6.45 g · kg-1时,可以认为有机物料达到完全腐熟;腐解物质的红外光谱可以作为评判腐熟度的参考指标,腐解后期,当腐解物质在1020 cm-1、1427 cm-1出现较为尖锐的峰值,说明物料中较为复杂的物质已经降解为简单的化合物,物料基本腐熟;由于腐解物料的组成不同,有机酸的含量变化具有不确定性,不能作为评价腐熟度的指标,但在腐解末期,物料中乙酸应该消失,草酸含量应比初始值有大幅度的降低.
4 结论(Conclusions)1)不同处理DOC的含量均呈现出下降的趋势,腐解开始DOC含量的增加是因为其他一些物质分解转化为水溶性有机物质;在微生物的作用下,水溶性有机物质逐渐分解,其含量下降.腐解结束时,水溶性有机物质含量为T1>T2>T3>T4,小分子有机物质含量为T2>T1>T3>T4.添加发酵启动就可以加速有机物质的分解和转化,较少比例的牛粪有助于腐解物料的发酵腐解.
2)碱溶性有机物质和类富里酸含量呈现出波动的变化,整体是下降趋势,类富里酸下降幅度明显大于AOC,这是类富里酸向胡敏酸转化而造成的.腐解结束时,AOC含量为T1>T2>T3>T4,FA含量为T4>T3>T1>T2.
3)不同种类的有机酸变化不同,总体呈现下降趋势.T3和T4乙酸含量迅速下降,分别在腐解9 d和16 d时消失,在腐解结束时,4个处理的乙酸均未检测出来,草酸的含量为T1>T2>T3>T4均低于初始值,其中T3的下降幅度最大.
4)不同处理、不同时间腐解物质所形成的官能团种类差异不明显.在腐解过程中产生了纤维素、半纤维素、硅酸盐、硝酸盐、羧酸盐、碳酸盐、糖类的物质;腐解末期,碳酸盐和硝酸盐含量增加,使在1020 cm-1、1427 cm-1出现较为尖锐的峰值.
5)4个处理的种子发芽指数均呈现上升趋势,在腐解结束(38d)时,GI均达到完全腐熟指标(>0.8),其中T3的GI值最高.
6)以GI>0.80为基础腐熟指标,当TOC<357.27 g · kg-1,DOC<7.00 g · kg-1,FA<6.45 g · kg-1,腐解后期物料在1020 cm-1、1427 cm-1出现较为尖锐的峰值,草酸大幅度下降时,可以认为有机物料达到完全腐熟.
| [1] | 鲍士旦.2008.土壤农化分析(第3版)[M].北京:中国农业出版社 |
| [2] | Bernai M P,Paredes C,Sanchez-Monederoa M A,et al.1998.Maturity and stabi-lity parameters of composts prepared with a wide range of organic wastes[J].Bioresource Technology,63(1):91-99 |
| [3] | Chefetz B,GHatche P,Hadar L Y,et al.1996.Chemical and biological characterization of organic matter during composting of municipal solid waste[J].Journal of Environmental Quality,25(4):776-785 |
| [4] | Durig D T,Esterle J S,Dickson T H,et al.1988.An investigation of the chemical variability of woody peat by FTIR Spectroscopy[J].Applied Spectroscopy,42(7):1239-1244 |
| [5] | 贺琪,李国学,张亚宁,等.2005.高温堆肥过程中的氮素损失及其变化规律[J].农业环境科学学报,24(1):169-173 |
| [6] | 黄国锋,吴启堂,孟庆强,等.2002.猪粪堆肥化处理的物质变化及腐熟度评价[J].华南农业大学学报(自然科学版),23 (3):33-35 |
| [7] | Inbar Y,Chen Y,Hadar Y.1991.Carbon-13 CPMAS NMR and FTIR spectroscopic analysis of organic matter transformations during compo-sting of solid wastes from wineries[J].Soil and Science,152(4):272-281 |
| [8] | Koji Nakanshi,Solomon P H.1984.红外光谱分析100例[M].北京:科学出版社.8-45 |
| [9] | Kuwatsuka S,Watanabe A,Arai S.1992.Comparison of two methods of preparation of humic and fulvic acids,IHSS method and NAGOYA method[J].Soil Science and Plant Nutrition,38(1):23-30 |
| [10] | 李承强,魏源送,樊耀波,等.1999.堆肥腐熟度的研究进展[J].环境科学进展,7(6):1-12 |
| [11] | 李吉进,邹国元,徐秋明,等.2006.鸡粪堆肥腐熟度参数及波谱的形状研究[J].植物营养与肥料学报,12(2):219-226 |
| [12] | 梁重山,党志,刘丛强.2006.胡敏酸的结构特征及其吸附行为[J].分析化学,34(3):288-292 |
| [13] | Mac Carthy P,Rice J A.1985.Spectroscopic methods for determining function ability in humic subs-tances.//Aiken G R.Humic Substances in Soil,Sediment and Water .New York:John Wiley and Sons Press.527-543 |
| [14] | Miller-Sylvan F C,Hills W. 1996.The real evolution during composting of sewage sludge .// de BertoldiM,Sequi P,Lemmes B.The Science of Composting,Part I.London(UK): Chapmqn and Hall.106-115 |
| [15] | 朴哲,崔宗均,苏宝林.2001.高温堆肥的物质转化与腐熟进度关系[J].中国农业大学学报,6(3):74-78 |
| [16] | 若尺秀幸,高桥和彦,山下春吉,等.1987.基于堆肥腐熟度鉴定的花粉管生长测试与发芽实验的关系[J].日本土壤肥料学杂志,58(4):460-464 |
| [17] | Schniter M,Khan S U.1972.Humic Substances in the Environment[M].New York:Marcel Dekker Inc.1-7 |
| [18] | 王林权,周春菊,王俊儒,等.2002.鸡粪中的有机酸及其对土壤速效养分的影响[J].土壤学报,39(2):268-275 |
| [19] | 王平,周荣.2006.高效液相色谱法测定植物根系分泌物中的有机酸[J].色谱,24(3):239-242 |
| [20] | 王旭东,关文玲,陈多仁.2001.纯有机物料腐解形成腐殖物质性质的动态变化[J].西北农林科技大学(自然科学版),29(5):87-91 |
| [21] | 文启孝.1984.土壤有机质研究法[M].北京:农业出版社.92-93 |
| [22] | 吴景贵,吕岩,王明辉,等.2004.有机肥腐解过程的红外光谱研究[J].植物营养与肥料学报,10(3):259-266 |
| [23] | 吴瑾光.1994.近代傅里叶变换红外光谱技术及应用(上卷)[M].北京:科技文献出版社.573-625 |
| [24] | 杨朝飞.2001.加强禽畜粪便污染防治迫在眉睫[J].环境保护,(2):32-35 |
| [25] | 张亚宁,李国学.2005.化肥作为补充N源对堆肥碳素转化和污染物去除的影响[J].农业环境科学学报,24(1):154-157 |
| [26] | Zocconi F,Pera A,Forte M,et al.1981.Evaluating toxicity of immature compost[J].Biocycle,22:54-57 |
2014, Vol. 34




