2. 广东产品质量监督检验研究院, 顺德 528300;
3. 中国科学院广州地球化学研究所有机地球化学国家重点实验室, 广州510640
2. Guangdong Products Quality Supervision and Inspection Institute, Shunde 528300;
3. State Key Laboratory of Organic Geochemistry, Guangzhou Institute of Geochemistry, Chinese Academy of Sciences, Guangzhou 510640
多溴联苯醚(PBDEs)性质稳定、脂溶性强及潜在生物危害,在环境介质中长期积聚,被列为持久性有机污染物(POPs).大量研究表明沉积物是环境中PBDEs的主要归趋(Cristale and Lacorte, 2013,Hu et al., 2013,Richman et al., 2013,He et al., 2013).PBDEs作为一类溴代阻燃剂,广泛应用于电子制造业、塑料加工业和家具制造业等产业中.珠江三角洲30年来经济高速发展,溴代阻燃剂使用量与环境排放量急剧增加;同时珠江三角洲作为河口区,沉积物发育迅速,因此研究珠江三角洲地区沉积物中PBDEs的现状、来源及转化趋势具有重要的环境意义.工业区的沉积物污染物的浓度可以反映当地工业的发展及变迁,以及污染物的源分析;低工业区的沉积物污染物的浓度可以反映当地工业的发展及变迁,以及污染物的长距离迁移影响;河口及近海沉积物是陆源污染物迁移、转化的归宿地与积蓄库,通过有机污染物在沉积柱状样的垂向变化,可反映出有机污染的历史(Latimer and Quinn, 1996).本研究通过分析珠江三角洲地区5个不同工业背景区域沉积柱中PBDEs的垂向分布特征,考察珠三角不同地区PBDEs的来源趋势和降解等环境行为.
2 材料与方法(Materials and methods) 2.1 样品采集及处理2009年7月至2010年11月间,利用钻孔采样器采样,现场每4 cm为1个样,分别置于密实袋内,样品运回实验室,于-20 ℃冰箱内保存.5个钻孔位置如图 1所示.
![]() |
| 图 1 珠江三角洲5个钻孔位置图 Fig. 1 The sampling locations for sediment cores across the Pearl River Delta |
将钻孔样品冷冻干燥,除去贝壳、沙石等杂物,研磨后过100目筛.准确称量10 g样品,加入PBDEs的回收率指示物(13C-BDE-209、13C-PCB-141),用200 mL正己烷/丙酮混合溶剂(体积比为1 ∶ 1)索氏抽提24 h,抽提液中加入活化的铜片5 g除硫.抽提液浓缩至1 mL左右,然后经复合硅胶柱净化,从下到上中性硅胶 ∶ 酸性硅胶=8 cm ∶ 16 cm.用70 mL正己烷/二氯甲烷混合溶剂(体积比为1 ∶ 1)淋洗,旋转蒸发,氮吹至干,异辛烷定容.进行仪器分析前加入PBDEs组分内标13C-PCB208.
2.2 PBDEs仪器分析和TOC检测使用气相色谱质谱联用仪(Agilent 6890-5973)分析样品中的PBDEs,色谱柱为J & W 122-1232.升温程序为:110 ℃下保留1 min,然后以8 ℃ · min-1的速率升至180 ℃并保留1 min,再以2 ℃ · min-1 的速率升至240 ℃保留5 min,以2 ℃ · min-1的速率升至280 ℃保留8 min,以10 ℃ · min-1的速率升至300 ℃,保留5 min;载气为高纯氮;离子源温度150 ℃,1 μL无分流进样.
有机碳测定方法采用常见的酸洗去除碳酸盐再上元素分析仪的方法.具体步骤如下:称取约1 g样品,用10%的盐酸10 mL浸泡3次,每次约8 h,弃去酸液,水洗至中性,放入烘箱中60 ℃下烘干至恒重.取20~50 mg样品用元素分析仪CHNS Vario EI III测定碳的百分含量,用测得碳的百分含量计算出沉积物有机碳(TOC)的含量.
2.3 质量控制与质量保证用方法空白、加标空白、基质加标、添加回收率指示物进行质量控制.9种PBDEs(BDE-28、47、66、85、99、100、138、153、154和183)的空白加标回收率为90.4%~105.4%,基质加标回收率为91.3%~109%.回收率指示物13C12-PCB141和13C12-BDE 209的回收率分别为101%±9%、94%±9%、95%±11%和89%±15%.
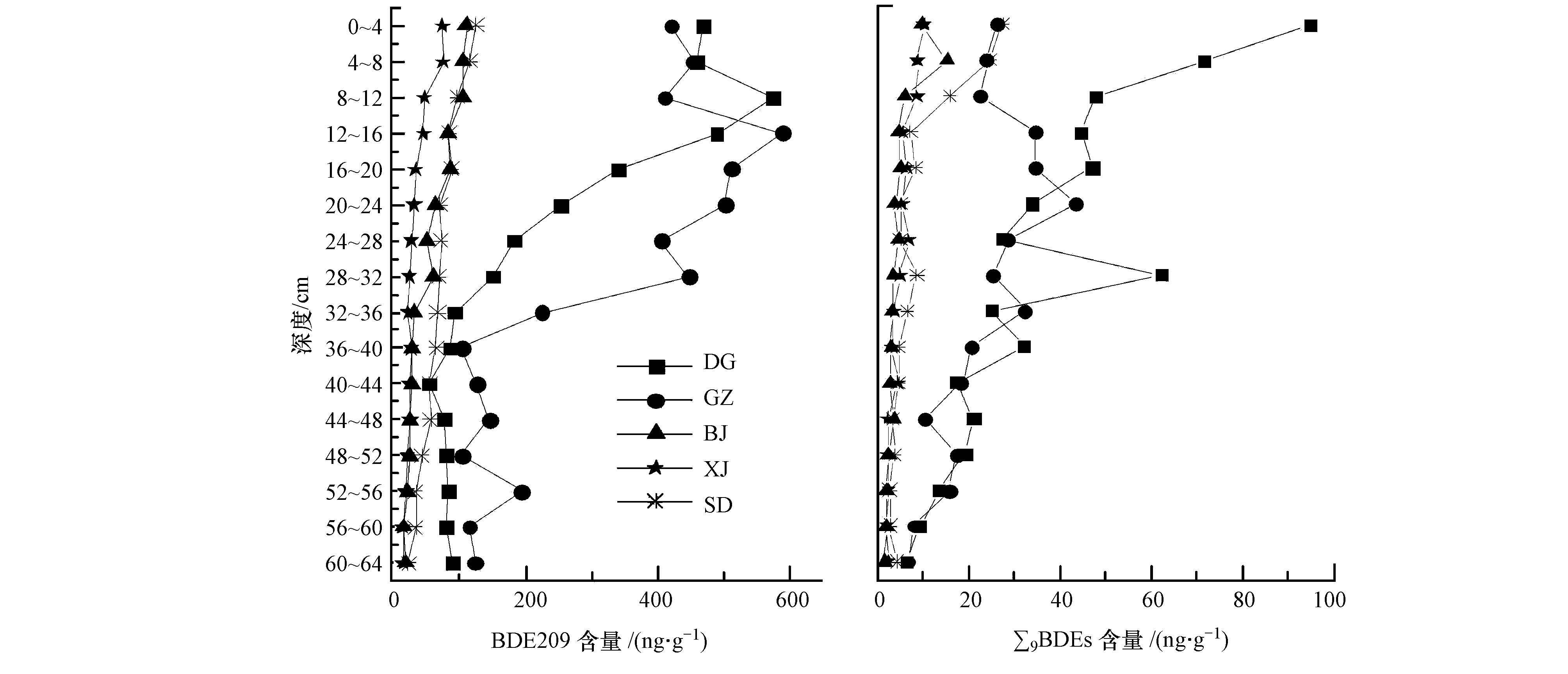
3 结果与讨论(Results and discussion) 3.1 沉积柱中PBDEs含量水平与垂直分布特征沉积柱中BDE-28、47、66、99、100、153、154、138、183和209的检出率达到100%,用∑9BDEs表示除BDE-209外,上述9种PBDEs的同系物之和.5个钻孔沉积柱中BDE209含量范围为14.4~588 ng · g-1(以干重计,下同),占PBDEs(∑9BDEs和BDE209)含量的70%~95%.与已报道的珠江三角洲和珠江口沉积物中BDE209含量处于一个水平,以BDE209为主要组分的单体构成模式一致(Chen et al., 2006,Mai et al., 2005,Xiang et al., 2007,Zhang et al., 2009).反映了我国十溴联苯醚为主的多溴联苯醚生产和使用状况(Chen et al., 2013,马召辉等,2013).
5个钻孔沉积柱中BDE209含量从底部到表层均呈上升趋势(图 2),与太湖类似,与近年来PBDEs阻燃剂的持续增长的生产与使用相吻合(马召辉等,2013).珠江广州段和东江东莞段沉积柱在32~16 cm深度,沉积物中BDE209的含量呈指数递增(图 2).以4 cm · a-1的沉积速率估算(林瑞芬等,1998),此沉积阶段大约在2000年前后,正是东莞和广州地区经济迅速发展的阶段,电子、塑料等使用溴代阻燃剂的产业迅猛发展,导致该地区较高的BDE209污染.珠江广州段和东江东莞段沉积柱16cm以上的沉积物中BDE209有明显的下降趋势(图 2),与东江沉积柱趋势一致(Zhang et al., 2009).一方面由于一些新型的阻燃剂(如六溴环十二烷、十溴二苯乙烷和四溴双酚-A)的出现,使得溴代阻燃剂在生产使用上有了较多的选择性,也对BDE209的使用产生很大影响;另一方面随着溴代阻燃剂对环境影响研究的深入,相关的产品限值越来越严格,企业正在逐步放弃使用此类阻燃剂.西江河口、顺德和北江沉积柱中的BDE209呈现稳定上升趋势.但与顺德容桂电器工业区河涌沉积柱BDE209向上递降的趋势相反(邱孟德等,2012).表明在顺德水道沉积柱中BDE209不仅来自于本地工业区的排放,同样受到上游径流和来自高污染区大气迁移的影响.与顺德相比西江河口和北江流域城镇化水平较低,工业特别是电子工业不发达,其BDE209的来源受本地排放的影响更低,主要来自径流输运和大气沉降(Chen et al., 2013,Mai et al., 2005).
![]() |
| 图 2 钻孔中的BDE209和∑9BDEs的垂直变化趋势 Fig. 2 Temporal trends of BDE209 and ∑9BDEs concentrations in sediment cores |
5个钻孔沉积柱∑9BDEs含量范围为1.54~94.8 ng · g-1,平均值为15.4 ng · g-1.其中位于珠江广州段和东江东莞段的沉积柱∑9BDE值含量范围为6.4~94.8 ng · g-1,平均值29.7 ng · g-1.显著高于西江、北江沉积柱平均值4.7 ng · g-1(含量范围1.54~15.3 ng · g-1),顺德沉积柱介于两者之间,平均值为8.4 ng · g-1(含量范围2.6~27.4 ng · g-1).整体水平高于珠江河口钻孔0.01~5.8 ng · g-1(Chen et al., 2007)、北美五大湖钻孔0.5~6.33 ng · g-1(Song et al., 2004,Song et al., 2005a,2005b)、日本东京湾钻孔0.051~3.6 ng · g-1(Minh et al., 2007)和密歇根内陆湖钻孔0.39~3.9 ng · g-1(Bradley et al., 2011).
珠江广州段沉积柱上层(0~24cm)沉积物中∑9BDEs含量自下至上呈下降的趋势,而下层(24~64cm)沉积物中∑9BDEs含量的变化趋势则相反,总体呈一个V字型(图 2).28~32 cm深度处沉积物中∑9BDEs的含量为表层的2倍.这说明,由于penta-BDEs和octa-BDEs主要单体对生物体的潜在毒性,自2006年这两类工业品均已禁用停产,使得其在水体环境中的含量显著下降.∑9BDEs包含了penta-BDEs和octa-BDEs工业品的主要单体,在珠江广州段沉积柱中已呈现下降的趋势.
西江、北江和顺德钻孔沉积柱中∑9BDEs自下层至表层基本呈缓慢上升的趋势,与BDE209的变化趋势一致,表明多溴联苯醚仍在沉积物中积聚.可能是由于BDE 209等高溴代BDEs在环境中发生缓慢降解产生的∑9BDEs,进而随地表径流迁移转化而来(Bezares-Cruz et al., 2004,He et al., 2006). 另一方面作为添加剂的∑9BDEs从电子、塑料等产品中逐渐释放入环境,进而蓄积于沉积物中.如,Peng等估算珠江三角洲污水处理厂排放入环境的PBDEs有2280 kg · a-1(Peng et al., 2009).东江东莞段沉积柱中∑9BDEs的含量在24 cm深度以上呈急剧上升的趋势,可能是由于采样区域存在低溴代联苯醚的输入源.
3.2 PBDEs单体组成特征图 3显示了5个钻孔沉积柱中∑9BDEs的组成模式,与已报道的表层沉积物PBDEs组成相近(Chen et al., 2006,Chen et al., 2013; Mai et al., 2005; Xiang et al., 2007; Zhang et al., 2009).各钻孔沉积物∑9BDEs中BDE99含量均为最高,含量范围为20.8%~24.8%,其次是BDE47,含量范围在11.8%~19.0%之间,BDE66在5个钻孔中含量比较相近在11.8%~13.4%之间,最低的是BDE154,均低于5%.对于西江河口钻孔而言,同表层沉积物一样,低溴取代组分(BDE28、47和66)占总PBDEs的42%.东江沉积柱的同族体组成特征BDE(28+47+66)占32%,而BDE(153+138)和183分别为23%和38%.
![]() |
| 图 3 珠江三角洲钻孔中∑9BDEs的同系物组成 Fig. 3 Congener profiles of ∑9BDEs in the sediments cores in the Pearl River Delta |
与其它沉积柱相比,珠江广州段和东江东莞段沉积柱BDE183有更高的含量(超出1个数量级)及更高的相对含量(p<0.01),和密歇根内陆湖沉积物的研究结果非常类似(Bradley et al., 2011).两个河段大量表层沉积物的研究结果也呈现出类似的结论(Chen et al., 2013).一方面可能源于本地较高的使用和排放历史;另一方面可能是沉积过程中高含量的高溴代BDEs的降解(Bradley et al., 2011,Chen et al., 2013).
北江中BDE28和BDE66等低溴代同族体的相对含量较高,与西江钻孔中PBDEs组成的分布模式较为相似,西江和北江主要流经工业发展相对落后的地区,接收来自珠江三角洲及其他地区通过大气长距离迁移而来的污染.此外高溴代PBDEs在长距离的迁移过程中会产生脱溴作用形成低溴代PBDEs(Wania and Dugani, 2003).5个钻孔从上而下BDE28和BDE47的相对含量呈现相近的趋势,从上而下逐渐增加,而BDE183相对含量逐渐减少(图 4).低溴代的BDE28和BDE47呈正相关(p<0.05),而与高溴代的BDE183呈负相关(p<0.05).表明在钻孔中可能存在降解行为(Bradley et al., 2011,Chen et al., 2013).
![]() |
| 图 4 珠江三角洲东江东莞段和北江钻孔中PBDEs的同系物组成 Fig. 4 Congener profiles of PBDEs in the sediments cores in the Pearl River Delta |
研究表明,珠江三角洲5个沉积柱中,BDE209含量最高,占到总PBDEs的70%以上.沉积柱自下而上,BDE209呈现增长趋势.但东江东莞段和珠江广州段沉积物中BDE209 的含量近年来有下降趋势.BDE99、BDE47和BDE66是样品中低溴代PBDEs主要的单体.东江东莞段和珠江广州段的钻孔BDE209和∑9BDEs含量较其它沉积柱高,主要接受东莞、广州等工业发达地区河流输出的PBDEs,而西江和北江钻孔中PBDEs含量相对较低,主要接受经过大气长距离迁移后经河流输出的PBDEs.5个沉积柱中低溴代BDE呈随深度增加而相对含量增加的现象,并与高溴代BDE183呈反比,暗示PBDEs在沉积埋藏过程中可能存在脱溴的降解过程.
| [1] | Bezares-Cruz J, Jafvert C T, Hua I. 2004. Solar photodecomposition of decabromodiphenyl ether: products and quantum yield[J]. Environmental Science & Technology, 38(15): 4149-4156 |
| [2] | Bradley P W, Wan Y, Jones P D, et al. 2011. PBDEs and methoxylated analogues in sediment cores from two Michigan, USA, inland lakes[J]. Environmental Toxicology and Chemistry, 30(6): 1236-1242 |
| [3] | Chen S J, Gao X J, Mai B X, et al. 2006. Polybrominated diphenyl ethers in surface sediments of the Yangtze River Delta: Levels, distribution and potential hydrodynamic influence[J]. Environmental Pollution, 144(3): 951-957 |
| [4] | Chen S J, Luo X J, Lin Z, et al. 2007. Time trends of polybrominated diphenyl ethers in sediment cores from the Pearl River Estuary, South China[J]. Environmental Science & Technology, 41(16): 5595-5600 |
| [5] | Chen S J, Feng A H, He M J, et al. 2013. Current levels and composition profiles of PBDEs and alternative flame retardants in surface sediments from the Pearl River Delta, southern China: Comparison with historical data[J]. Science of The Total Environment, 444: 205-211 |
| [6] | Cristale J, Lacorte S. 2013. Development and validation of a multiresidue method for the analysis of polybrominated diphenyl ethers, new brominated and organophosphorus flame retardants in sediment, sludge and dust[J]. Journal of Chromatography A, 1305: 267-275 |
| [7] | He J Z, Robrock K R, Alvarez-Cohen L. 2006. Microbial reductive debromination of polybrominated diphenyl ethers (PBDEs)[J]. Environmental Science & Technology, 40(14): 4429-4434 |
| [8] | Hu X B, Xu Z C, Peng X C, et al. 2013. Pollution characteristics and potential health risk of polychlorinated dibenzo-p-dioxins and dibenzofurans (PCDD/Fs) in soil/sediment from Baiyin City, North West, China[J]. Environmental Geochemistry and Health, 35(5): 593-604 |
| [9] | Latimer J S, Quinn J G. 1996. Historical trends and current inputs of hydrophobic organic compounds in an urban estuary: The sedimentary record[J]. Environmental Science & Technology, 30(2): 623-633 |
| [10] | 林瑞芬, 闵育顺, 卫克勤. 1998. 珠江口沉积柱样210Pb法年龄测定结果及其环境地球化学意义[J]. 地球化学, 27(5): 401-441 |
| [11] | 马召辉, 金军, 亓学奎, 等. 2013. 太湖沉积物中多溴联苯醚和类二英多氯联苯的水平垂直分布[J]. 环境科学, 34(3): 1136-1141 |
| [12] | Mai B X, Chen S J, Luo X, et al. 2005. Distribution of polybrominated diphenyl ethers in sediments of the Pearl River Delta and adjacent South China Sea[J]. Environmental Science & Technology, 39(10): 3521-3527 |
| [13] | Minh N H, Isobe T, Ueno D, et al. 2007. Spatial distribution and vertical profile of polybrominated diphenyl ethers and hexabromocyclododecanes in sediment core from Tokyo Bay, Japan[J]. Environmental Pollution, 148(2): 409-417 |
| [14] | Peng X, Tang C, Yu Y, et al. 2009. Concentrations, transport, fate, and releases of polybrominated diphenyl ethers in sewage treatment plants in the Pearl River Delta, South China[J]. Environment International, 35(2): 303-309 |
| [15] | 邱孟德, 邓代永, 余乐洹, 等. 2012. 典型电器工业区河涌沉积物中的多溴联苯醚空间和垂直分布[J]. 环境科学, 33(2): 580-586 |
| [16] | Richman L A, Kolic T, Macpherson K, et al. 2013. Polybrominated diphenyl ethers in sediment and caged mussels (Elliptio complanata) deployed in the Niagara River[J]. Chemosphere, 92(7): 778-786 |
| [17] | Song W L, Ford J C, Li A, et al. 2004. Polybrominated diphenyl ethers in the sediments of the Great Lakes. 1. Lake Superior[J]. Environmental Science & Technology, 38(12): 3286-3293 |
| [18] | Song W L, Li A, Ford J C, et al. 2005a. Polybrominated diphenyl ethers in the sediments of the Great Lakes. 2. Lakes Michigan and Huron[J]. Environmental Science & Technology, 39(10): 3474-3479 |
| [19] | Song W L, Ford J C, Li A, et al. 2005b. Polybrominated diphenyl ethers in the sediments of the Great Lakes. 3. Lakes Ontario and Erie[J]. Environmental Science & Technology, 39(15): 5600-5605 |
| [20] | Wania F, Dugani C B. 2003. Assessing the long-range transport potential of polybrominated diphenyl ethers: a comparison of four multimedia models[J]. Environmental Toxicology and Chemistry, 22(6): 1252-1261 |
| [21] | He W, Qin N, Kong X Z, et al. 2013. Polybrominated diphenyl ethers (PBDEs) in the surface sediments and suspended particulate matter (SPM) from Lake Chaohu, a large shallow Chinese lake[J]. Science of The Total Environment, 463-464: 1163-1173 |
| [22] | Xiang C H, Luo X J, Chen S J, et al. 2007. Polybrominated diphenyl ethers in biota and sediments of the Pearl River Estuary, South China[J]. Environmental Toxicology and Chemistry, 26(4): 616-623 |
| [23] | Zhang X L, Luo X J, Chen S J, et al. 2009. Spatial distribution and vertical profile of polybrominated diphenyl ethers, tetrabromobisphenol A, and decabromodiphenylethane in river sediment from an industrialized region of South China[J]. Environmental Pollution, 157(6): 1917-1923 |
2014, Vol. 34





