自产业革命以来,人类在社会文明和经济发展方面取得了巨大成就.与此同时,人类对自然的影响和改造也达到空前的广度、深度和强度,全球气候变化即是其中最重要的事件之一,也是近二十年来科学研究的热点问题.IPCC第四次评估报告指出,人类活动对地球系统的总辐射强迫约为+1.6[-1.0,+0.8] W · m-2,至少是太阳辐射自身变化的5倍,而且有持续增高的趋势(Forster et al., 2007).
气溶胶是大气中的重要组分,也是全球气候变化非常重要的驱动因素.气溶胶的辐射效应分为直接辐射效应和间接辐射效应:直接辐射效应是指由于气溶胶对长波/短波辐射的散射和吸收所导致的地球系统能量平衡偏移;间接辐射效应是指气溶胶通过影响云特性(如云的微观物理特性、反照率、生命周期、云量等)导致的地球系统能量平衡改变(Kiehl et al., 1993; Kiehl et al., 2000; 石广玉,2007; Haywood et al., 2000).一般认为,硫酸盐属于非吸收性气溶胶,其“净”辐射效应为负.根据 IPCC第四次评估报告,气溶胶直接辐射强迫约为(-0.50± 0.40)W · m-2,间接辐射强迫约为 -0.7[-1.1,+0.4] W · m-2.其中,硫酸盐气溶胶的直接辐射强迫约为(-0.40±0.20)W · m-2,在强度上与CH4((+0.48±0.05)W · m-2)或对流层O3(+0.35 [-0.1,+0.3] W · m-2)基本相当,约为CO2((+1.66±0.17)W · m-2)的1/4,约为BC((+0.2±0.15)W · m-2)的2倍,但方向相反(Forster et al., 2007).与此结论类似,Myhre等(2012)最新的研究表明,气溶胶直接辐射强迫的全球平均为(-0.36±0.15)W · m-2,其中,硫酸盐气溶胶直接辐射强迫全球平均为(-0.35±0.13)W · m-2.
上述研究结果均表明,硫酸盐气溶胶在地球系统能量收支平衡中具有相当重要的意义.与此同时,对于气溶胶辐射效应的科学认知,目前还远不如温室气体.其中,对气溶胶直接辐射强迫的科学认知为“medium-low”水平,对气溶胶间接辐射强迫的科学认知为“low”水平,这给全球气候变化的现状评估和未来预测都带来极大的不确定性(Forster et al., 2007).值得注意的是,虽然有研究表明硫酸盐气溶胶的辐射效应在特定情况下可能为正,但对其细致的研究尚不多见(McComiskey et al., 2008; Haywood et al.,1997).因此,对硫酸盐气溶胶及其辐射效应,无论是作用过程与作用机制,还是作用强度与综合影响,都需要进行更深入、更广泛的科学研究.
中国是全球SO2最大的人为排放源,约占全球总排放的30%(Streets et al., 2003; Saikawa et al., 2009; Ohara et al., 2007),2007年排放量达28.3 Tg(Su et al., 2011),其气候效应不容忽视.同时,中国地理跨度大,地表反射率、太阳天顶角等自然要素区域差异大,有必要深入研究这些关键参数对中国硫酸盐气溶胶直接辐射效应的影响.因此,本研究基于MODIS地表反射率数据和中国SO2排放清单数据,应用CanMETOP模型和SBDART模型,模拟地表反射率、纬度和直接辐射效应之间的关系,并对中国硫酸盐气溶胶直接辐射效应性质进行分析,重点关注硫酸盐气溶胶直接辐射效应可能为正这一非常识性问题.
2 数据与模型(Data and model) 2.1 研究数据本研究采用的基础数据包括:①中国2007年SO2排放清单:在省级2007年排放清单的基础上(Su et al., 2011),根据人口密度、能源消耗及其他社会经济指标插值得到公里网格清单(24 km×24 km);②中国地表反射率数据:采用MODIS的MCD43C3地表反射率数据产品,并重采样到与SO2排放清单一致的24 km×24 km网格(http://ladsweb.nascom.nasa.gov/data/search.html);③OH自由基浓度数据:是SO2向硫酸盐转化的重要参数,根据GEOS-Chem模型计算得到(http://www-as.harvard.edu/chemistry/trop/geos /geos_hi_res.html)(Zhang et al., 2011).
2.2 研究模型CanMETOP(Canadian Model for Environmental Transport of Organochlorine Pesticides)模型:该模型是地-气耦合的区域尺度化学迁移模型(Ma et al., 2003),在本研究中用于模拟SO2向硫酸盐的转化及硫酸盐气溶胶的迁移扩散.水平分辨率为24 km×24 km,垂直分12层,高度分别为0、1.5、3.9、10、100、350、700、1200、2000、3000、5000和7000 m.本研究在该模型中加入SO2向硫酸盐转化的一系列气相反应和液相反应(Tarrason et al., 1998),以及硫酸盐气溶胶的干湿沉降过程(Engardt et al., 2001).
OPAC(Optical Properties of Aerosols and Clouds)模型:本研究中该模型用于计算硫酸盐气溶胶的关键光学参数(Hess et al., 1998).在CanMETOP模型结果的基础上,通过输入云参数、垂直分布、相对湿度、波段等数据,得到硫酸盐气溶胶的消光系数、散射系数、吸收系数、单次散射反照率、不对称因子、相函数、Angstrom系数和能见距等光学性质参数.
SBDART(Santa Barbara DISORT Atmospheric Radiative Transfer)模型:该模型是较为流行的辐射传输模式,其采用离散坐标法计算辐射传输方程,在0.25~4 μm波段进行太阳辐射的传输模拟,时间步长为2 h(Ricchiazzi et al., 1998).本研究中该模型用于模拟计算硫酸盐气溶胶的大气顶直接辐射效应(以下简称“辐射效应”).
3 结果与讨论(Results and discussion) 3.1 地表反射率-纬度-辐射效应关系地表反射率和太阳天顶角是影响硫酸盐气溶胶直接辐射效应的关键因素,也是具有显著空间差异的地理要素,其中,太阳天顶角主要受纬度控制.图 1是采用SBDART模型模拟得到的地表反射率-纬度-辐射效应关系,其中,北纬23°和北纬59°分别对应中国的南、北纬度界线.
从图 1可以看出,随着地表反射率的增大,24 h平均辐射效应值也增加,甚至由负变正,该变化规律在不同纬度相似.其原因主要是由于硫酸盐气溶胶在0.25~4 μm波段并不是完全反射的,而是存在着一定的吸收作用,多次反射使得辐射在大气中传输的路径加长,从而增加了大气气溶胶的吸收作用.地表反射率的增大将显著增加地表和气溶胶层之间的多次反射辐射量,进一步增加地表对太阳辐射的吸收(Haywood et al., 1997).
![]() |
| 图 1 三种纬度下24 h平均辐射效应随地表反射率变化 Fig. 1 Dependence of 24 hours average DRE on surface albedo at three different latitudes |
对于相同地表反射率,纬度越高,辐射效应值越低.这主要是因为硫酸盐气溶胶粒子各方向的散射辐射量分布不同,其中,前向散射的辐射量大于后向.纬度增高时,太阳天顶角随之增大,一部分前向散射由原来的相对于大气层顶向下方向变为向上,一部分后向散射由原来的相对于大气层顶向上方向变成向下,从而导致大气层顶向上辐射量增加(Haywood et al., 1997).
3.2 地表反射率-光学厚度-辐射效应关系气溶胶光学厚度(τ)是决定其直接辐射效应强度的关键因素,受气溶胶柱浓度的直接影响.图 2是采用SBDART模型模拟得到的地表反射率-光学厚度-辐射效应关系,其模拟了不同光学厚度τ0.55 μm(0.1、0.2、0.3)条件下24 h平均辐射效应值和地表反射率的关系.
![]() |
| 图 2 不同光学厚度条件下24 h平均辐射效应值随地表反射率变化 Fig. 2 Dependence of 24 hours average DRE on surface albedo at three different optical depth |
由图 2可知,纬度不变时,光学厚度的增加会增加辐射效应的强度,但不会改变辐射效应值的正负.即随着地表反射率增加,辐射效应正负值的分界点不会因为光学厚度的改变而改变.
3.3 影响硫酸盐气溶胶直接辐射效应性质的临界地表反射率结合图 1、图 2可知,存在某个临界地表反射率值α0,使得某区域硫酸盐气溶胶辐射效应值为零.在其他条件不变的情况下,该值和纬度有关、且不受光学厚度大小的影响.也就是说,α0决定了辐射效应的性质,即地表反射率高于此值,辐射效应为正,硫酸盐气溶胶表现出增温作用;反之,地表反射率低于此值,辐射效应为负,硫酸盐气溶胶表现为降温作用.
中国地域辽阔,陆地纬度范围跨度近40°,不同地区地表反射率也有较大差异.为考察硫酸盐气溶胶在我国不同区域直接辐射效应的性质(增温或是降温),本研究采用SBDART模型,以0.1°间隔模拟得到不同纬度的临界地表反射率α0,并根据MODIS的MCD43C3产品计算得到各纬度实际的地表反射率,结果如图 3所示.
![]() |
| 图 3 中国临界地表反射率值α0与纬度的关系 Fig. 3 The relationship between critical surface albedo α0(zero DRE)at different latitude in China |
图 3中,实线为临界地表反射率值α0随纬度的变化曲线,3条虚线分别对应不同纬度的地表反射率上限、年均值和下限(根据MODIS的2007年地表反射率数据统计).可以发现,北纬20°~30°之间,α0变化不大;北纬30°~60°,α0随纬度增加而显著增加.如北纬20°的临界地表反射率值α0为0.47,北纬55°的临界地表反射率值α0则为0.55.
一般而言,中国地表反射率高值分布在西北部的沙漠和高山积雪地区,低值则主要分布在中东部平原及沿海地带.图 3显示,在对应我国陆地的绝大多数纬度上,地表反射率小于临界值α0,仅在北纬30°及北纬34°~36°这两个区间存在地表反射率大于临界值α0的情况.也就是说,在上述两个区间内硫酸盐气溶胶可能存在正的直接辐射效应(增温效果),在其余纬度硫酸盐气溶胶均表现为负的直接辐射效应(降温效果).从地表反射率年均值来看,所有纬度的地表反射率值均小于临界值α0,说明我国硫酸盐直接辐射效应年均值以负值为主,正值仅存在于局部地区和特定季节.
3.4 正辐射效应的空间分布根据上述研究结果,结合CanMETOP模型结果,计算了中国北纬30°及北纬34°~36°这两个区间逐月的硫酸盐气溶胶直接辐射效应,并作了统计分析,将硫酸盐气溶胶直接辐射效应出现正值的区域作了标注,结果如图 4所示.
图 4表明,硫酸盐气溶胶的正辐射效应区域(图中黑色区域)主要分布在新疆、青海、西藏、内蒙古4个省份,黑龙江省北端也有少量分布,尤以塔什库尔干、海西、呼伦贝尔和林芝这4个区域分布较为集中.这些区域硫酸盐气溶胶的正辐射效应,主要受 积雪地表的高反射率影响.对于大部分正值区域,全年只有1~2个月份辐射效应为正,图 4中帕米尔高原和青藏高原部分地区,全年有3个以上月份辐射效应为正,最高达6个月.
![]() |
| 图 4 硫酸盐气溶胶正辐射效应区域(黑色区域为正辐射效应区域) Fig. 4 The regions with positive radiative effect of sulfate aerosols(marked with black tone) |
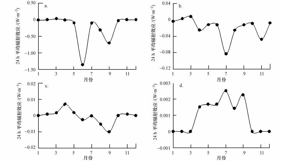
为进一步阐述典型区域硫酸盐气溶胶的正辐射效应的产生机制,提取了正辐射效应较为集中的塔什库尔干、海西、呼伦贝尔和林芝4个区域的硫酸 盐气溶胶直接辐射效应的年内变化(图 5).从图 5可以看出,对于硫酸盐气溶胶的直接辐射效应,呼伦贝尔地区(图 5a)冬半年接近或大于0值,3月份出现明显正值;海西地区(图 5b)在2、3月份出现正值;林芝地区(图 5c)全年有2—5月、11月共5个月为正;塔什库尔干地区(图 5d)全年有8个月为正,具体为2月、4—10月.可以发现,上述区域出现硫酸盐气溶胶正辐射效应的时间,都直接受降雪/积雪导致的高地表反射率控制.与中国其他地区相比较而言,这些地区由于SO2排放量较小,硫酸盐气溶胶柱浓度低,无论正负,其直接辐射效应均极低(全国年均值为-1.37 W · m-2).然而,由于这些地区脆弱的生态环境和较高的气候敏感性,硫酸盐气溶胶的正辐射效应仍值得高度关注,且具有非常重要的科学意义.
![]() |
| 图 5 呼伦贝尔(a)、海西(b)、林芝(c)、塔什库尔干(d)地区硫酸盐直接辐射效应年内变化(2007年) Fig. 5 Annual variation of direct radiative effect in Hulun Buir(a),Haixi(b),Nyingchi(c) and Taxkorga(d)in 2007 |
1)硫酸盐气溶胶的直接辐射效应随地表反射率的增加而增加.光学厚度的增加会导致辐射效应强度的增加,但并不改变辐射效应的正负.
2)存在临界地表反射率值α0,该值仅和纬度有关、不受其他因素的影响.α0决定辐射效应的性质,即地表反射率高于此值,辐射效应为正,硫酸盐气溶胶表现出增温作用;反之,地表反射率低于此值,辐射效应为负,硫酸盐气溶胶表现为降温作用.
3)中国新疆、青海、西藏、内蒙古、黑龙江省部分地区,或由于冬季积雪、或由于终年积雪,导致年内部分月份的硫酸盐气溶胶直接辐射效应为正,尤以呼伦贝尔、海西、林芝和塔什库尔干地区最为明显.尽管这些地区硫酸盐气溶胶的直接辐射效应远低于全国年均水平,但由于这些地区脆弱的生态环境和较高的气候敏感性,硫酸盐气溶胶的正辐射效应仍值得高度关注,且具有非常重要的科学意义.
| [1] | Engardt M, Leong C P. 2001. Regional modelling of anthropogenic sulphur in Southeast Asia[J]. Atmospheric Environment, 35(34): 5935-5947 |
| [2] | Forster P, Ramaswamy V, Artaxo P, et al. 2007. Changes in atmospheric constituents and in radiative forcing[J]. Climate Change, 20: 162-204 |
| [3] | Haywood J, Boucher O. 2000. Estimates of the direct and indirect radiative forcing due to tropospheric aerosols: A review[J]. Reviews of Geophysics, 38(4): 513-543 |
| [4] | Haywood J M, Shine K P. 1997. Multi-spectral calculations of the direct radiative forcing of tropospheric sulphate and soot aerosols using a column model[J]. Quarterly Journal of the Royal Meteorological Society, 123(543): 1907-1930 |
| [5] | Hess M, Koepke P, Schult I. 1998. Optical properties of aerosols and clouds: The software package OPAC[J]. Bulletin of the American Meteorological Society, 79(5): 831-844 |
| [6] | Kiehl J T, Briegleb B P. 1993. The relative roles of sulfate aerosols and greenhouse gases in climate forcing[J]. Science, 260(5106): 311-314 |
| [7] | Kiehl J T, Schneider T L, Rasch P J, et al. 2000. Radiative forcing due to sulfate aerosols from simulations with the National Center for Atmospheric Research Community Climate Model, Version 3[J]. Journal of Geophysical Research: Atmospheres, 105(D1): 1441-1457 |
| [8] | Ma J M, Daggupaty S, Harner T, et al. 2003. Impacts of lindane usage in the Canadian prairies on the Great Lakes ecosystem. 1. Coupled atmospheric transport model and modeled concentrations in air and soil[J]. Environmental Science & Technology, 37(17): 3774-3781 |
| [9] | McComiskey A, Schwartz S E, Schmid B, et al. 2008. Direct aerosol forcing: Calculation from observables and sensitivities to inputs[J]. Journal of Geophysical Research, 113, D09202, doi:10.1029/2007JD009170. |
| [10] | Myhre G, Samset B H, Schulz M, et al. 2012. Radiative forcing of the direct aerosol effect from AeroCom Phase II simulations[J]. Atmospheric Chemistry and Physics Discussions, 12(8): 22355-22413 |
| [11] | Ohara T, Akimoto H, Kurokawa J, et al. 2007. An Asian emission inventory of anthropogenic emission sources for the period 1980—2020[J]. Atmospheric Chemistry and Physics, 7(16): 4419-4444 |
| [12] | Ricchiazzi P, Yang S R, Gautier C, et al. 1998. SBDART: A research and teaching software tool for plane-parallel radiative transfer in the Earth's atmosphere[J]. Bulletin of the American Meteorological Society, 79(10): 2101-2114 |
| [13] | Saikawa E, Naik V, Horowitz L W, et al. 2009. Present and potential future contributions of sulfate, black and organic Carbon aerosols from China to global air quality, premature mortality and radiative forcing[J]. Atmospheric Environment, 43(17): 2814-2822 |
| [14] | 石广玉. 2007. 大气辐射学[M]. 北京: 科学出版社. 261-270 |
| [15] | Streets D G, Bond T C, Carmichael G R, et al. 2003. An inventory of gaseous and primary aerosol emissions in Asia in the year 2000[J]. Journal of Geophysical Research: Atmospheres, 108(D21), 8809, doi:10.1029/2002JD003093 |
| [16] | Su S S, Li B G, Cui S Y, et al. 2011. Sulfur dioxide emissions from combustion in China: From 1990 to 2007[J]. Environmental Science & Technology, 45(19): 8403-8410 |
| [17] | Tarrason L, Iversen T. 1998. Modelling intercontinental transport of atmospheric sulphur in the northern hemisphere[J]. Tellus Series B-CHEMICAL and Physical Meteorology, 50(4): 331-352 |
| [18] | Zhang Y X, Shen H Z, Tao S, et al. 2011. Modeling the atmospheric transport and outflow of polycyclic aromatic hydrocarbons emitted from China[J]. Atmospheric Environment, 45(17): 2820-2827 |
2014, Vol. 34






