2. 河南省高校重点学科环境变化与水土污染防治开放实验室, 开封 475004
2. Henan Open Laboratory for Key Subjects of Environmental Change and Water-Soil Pollution Control, Henan University, Kaifeng 475004
自20世纪70年代以来,国内外学者针对路旁土壤公路源重金属分布进行了大量研究,但其结论存在差异.有些研究表明,路旁土壤重金属含量在道路两侧呈指数递减(Münch et al., 1993; Fakayode et al., 2003;李鱼等,2004;Swaileh et al., 2004;郭广慧等,2007;Juknevičius et al., 2007;刘世梁等,2008;Zehetner,2008;Chen et al., 2010;Jaradat et al., 2010;Naser et al., 2012;);而另外一些研究表明,土壤重金属在道路两侧呈偏态分布(Sutherland et al., 2001; Plesničar et al., 2005;李波等,2005;王初等,2007;Saeedi et al., 2009;Chen et al., 2010;王慧等,2010;李仰征等,2011;谷蕾等,2012;季辉等,2013);还有一些研究表明,不同重金属在道路两侧土壤中的分布不同,有些重金属呈偏态分布,有些呈指数递减分布(Sutherland et al., 2001;马建华等,2007;仝致琦等,2012).纵观这些研究成果,大都是根据监测数据的空间分布趋势进行归纳概括,而针对其扩散机理进行数学建模、模拟和成因分析的研究却鲜见报道.有些学者(金均等,1997;谢绍东等,1999;李修刚等,2001;凌玲等,2001;王嘉松等,2005;陈辉煌等,2009;董红召等,2011;尹伟霞等,2011;张志磊等,2012)曾应用高斯模型、经验模型、数值模型和箱式模型开展公路源污染物的空中扩散模型及验证研究,但这4种模型主要适用于气态污染物的空中扩散,不适用于气溶胶污染物的空中扩散.因此,本文以高斯线源扩散模型为基础,尝试建立公路源重金属(气溶胶污染物)在路旁土壤中的空间分布模型,通过分析公路源重金属的空中迁移机理,探讨路旁土壤重金属空间分布形成的原因及规律,并以G310国道杏花营断面路旁重金属含量实测数据进行验证.旨在进一步丰富路旁土壤重金属扩散理论,为路旁土壤重金属空间分布研究提供理论基础,也可为路域环境污染治理和土壤利用管理提供科学依据.
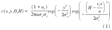
2 模型建立(Modeling) 2.1 模型推导交通源重金属从产生开始就赋存于气溶胶中,随空气发生迁移,然后在道路两侧一定范围内的土壤上沉降.不同大小的气溶胶颗粒在公路两侧的迁移和沉降距离是不一样的,如果不同重金属赋存于不同大小的气溶胶上,那么PM10、PM5、PM2.5的沿程曲线与重金属含量分布曲线应该是对应或接近一致的(图 1).重金属进入土壤后,相对较稳定,不易发生迁移,故大气扩散阶段成为影响路旁重金属分布格局的关键环节.
![]() |
| 图 1 交通源重金属空中迁移示意图 Fig. 1 Schematic diagram of transport of traffic-source heavy metals in the air |
以污染排放源为坐标原点,下风向为x轴,垂直风向为y轴.由高斯线源颗粒物扩散模式(郝吉明等,2010)可知,点源颗粒污染物扩散模型的落地浓度可用公式(1)计算,线源气态污染物扩散模型的落地浓度可用公式(2)计算.


将式(1)和式(2)结合后,即可得到路域大气颗粒物离路基距离x m处的地面浓度,即:

在特定研究路段的情况下,气象因素(风向、风速)是一定的,对某粒径颗粒污染物而言,公式(3)中各个参数均为定值,故公式(3)可进一步简化为:


路旁土壤重金属的来源主要有成土母质、道路交通和其他人为活动等3种.由于在小区域范围内(如路旁土壤采样断面多小于300 m),成土母质和人类活动基本相同,故离开道路某一距离处的土壤重金属含量可用下式表示:

根据《环境影响评价技术导则 大气环境》(HJ/T 2.2-93),在不同的大气稳定度下,α为一系列的非连续的几个值,A、B和C均为正数.为了便于研究,本文只讨论公式(6)中n=1的情况.采用Matlab 7.0.1编程,用实测数据逐步拟合法推导A、B、C和α.首先确定各个参数数量级,然后经过多次回归从最高位到低位逐渐拟合参数.
![]() |
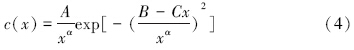
| 图 2 采样断面位置 Fig. 2 Location of the sampling transects |
国道310(G310)郑州-开封段长70 km,呈东西走向,是在1966年路基基础上,于1985年扩建而成.采样断面位于该路段杏花营镇以西5 km处(图 2).路面宽14 m,双向四车道,路面为沥青碎石材料,总厚度约10 cm.道路两侧有排水沟,沟宽约7.5 m,沟深0.5~0.7 m.路面比两侧农田高约2 m,两侧有约2.5 m宽的土质路肩.路肩外侧有单排高大的加拿大杨,株距2 m,胸径30~40 cm,高约12 m.路沟外侧种植5排较小的加拿大杨树,株、行距均2 m,胸径5~20 cm,高约10 m.经多次观测,该路段日均机动车流量为11520辆,其中,大中型客货车约占60%.
采样路段位于黄淮平原中西部,海拔高度在70 m左右,地势开阔、平坦.土地利用方式为农田,种植作物主要为小麦、花生和西瓜等.远离城镇,工业活动对土壤的影响轻微.气候类型属暖温带大陆性季风气候,冬季盛行东北风,夏季盛行南风,年均气温14 ℃左右,年均降雨量600 mm左右,地下水位较浅,周年变化在2~3 m之间.采样断面的土壤为黄潮土(淡色湿润雏形土),质地以砂壤土为主.经作者野外采样和实验室分析,采样路段土壤砂粒(粒径d>0.05 mm)、粉粒(0.05 mm>d>0.002 mm)和黏粒(d<0.002 mm)平均含量分别为530、310和160 g · kg-1,有机质平均含量为29.29 g · kg-1,pH值平均为7.9.
3.1.2 样点布设与样品采集在道路两侧距路基150 m内,每隔10 m布设1个采样点,距路基0 m采样点位于土质路肩内侧.土壤样品采集于2011年10月30日.在每个采样点上首先画出一条大约150 m长且与公路平行的线段,在线段上等距布设7个l m2的土壤采样单元;然后在每个采样单元内梅花布点采集5个子样(采样深度为15 cm);最后将采集到的35个子样充分混合,按“四分法”舍弃多余样品,保留1 kg左右,为该样点的样品,装入干净塑料袋中,带回实验室中,备用.本研究共采集32个土壤混合样品.
3.1.3 土壤重金属含量测定首先将土样在室温下风干,用塑料棒碾碎,全部通过1 mm尼龙筛;然后将土样充分混合,平摊在塑料布上,随机多点(约50点)取样品约20 g,用玛瑙研钵进一步研磨,全部通过0.15 mm尼龙筛,备用.样品消解采用“HCl-HNO3-HF-HClO4”消解体系,土壤重金属含量采用ICP-MS法测定,仪器是美国赛默飞世尔公司生产的X-Series II型电感耦合等离子体质谱仪.在实验过程中,用国家标准土样(ESS-2)进行回收试验,回收率在97.6%~102.4%之间.
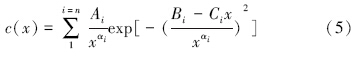
3.2 路旁土壤重金属含量空间分布预测及其验证假定每种土壤重金属平均含量最小值的80%为c0,使用Matlab 7.0.1软件进行逐步拟合求出6种土壤重金属的最佳参数c0、A、B、C和α(表 1).使用表 1中的模型参数做土壤重金属空间分布模拟预测,与其实测值进行对比,结果见图 3.
![]() |
| 图 3 路旁土壤重金属含量空间分布模型预测与实测值比较 Fig. 3 Comparison of predicted and measured values of soil metal contents in different distances away from the road |
| 表1 土壤重金属空间分布模型参数 Table 1 Parameters in the model of soil heavy metals distribution |
断面北侧土壤Cr和Ni含量预测相对误差在±20%之内的样点数占样点总数的68.75%,±20%~±50%之间的样点数占25.00%,±50%之外的样点数占6.25%;Cu和Zn含量预测相对误差在±20%之内的样点数占总数的87.50%,±20%~±50%之间的样点数占6.25%,±50%之外的样点数占6.25%;Cd含量预测相对误差在±15%之内的样点有15个,占样点总数的93.75%;Pb含量预测相对误差在±20%之内的样点数占采样点总数的93.75%.
断面南侧土壤Cd和Zn含量预测相对误差在±20%之内的样点数占样点总数的87.50%,±20%~±50%之间的样点数占6.25%,±50%之外的样点数占6.25%;Cr和Cu含量预测相对误差在±20%之内的样点数占81.25%,±20%~±50%之间的样点数占12.50%,±50%之外的样点数占6.25%;Ni含量预测相对误差在±20%之内的样点数占样点总数的93.75%;Pb含量预测相对误差在±20%之内的样点数占样点总数的93.75%.总之,使用该模型可以较好地预测路旁土壤重金属含量的空间分布.
从图 3可以看出,该模型比较准确地拟合了土壤重金属的空间分布,与实测数据吻合度较高,进一步验证了前面理论推导的科学性,但局部细节存在一定误差.
4 讨论(Discussion) 4.1 峰值特征的影响因素路旁土壤重金属峰值特征包括峰值位置和峰高.公式(4)中的A、B、C和α共同决定着公路源重金属与距路基距离的峰位置及高度.系数A由污染源强qi、颗粒物反射率ai、地面平均风速u、风向与道路夹角φ及扩散系数γ合成,故主要受车流量、车辆类型、路基材料、道路防护条件、地面植物覆盖类型、地面粗糙度、地形地貌等因素综合影响.系数B主要受路基高度、车辆类型、气温、风速等因素影响.系数C由颗粒物下沉速度和地面风速合成,故受颗粒物粒径及风速影响.系数α由大气稳定度决定,故主要受气象因素影响.从高斯扩散模型可知,峰值位置主要受地面覆盖类型、道路防护状况、污染源高度、风速等因素影响,故参数A、B、C和α中任意值的改变,都会影响重金属含量在道路两侧的峰值位置.由图 3可知,该断面土壤重金属的空间分布曲线可以分为指数递减、偏态两种类型,其中,Cr和Cu为指数递减分布,Cd、Ni、Pb和Zn为偏态分布,说明Cr和Cu可能主要赋存于较大的颗粒物上,而其他4种重金属可能主要赋存于较小的颗粒物上.土壤Cd、Ni、Pb和Zn含量峰值位置出现在离路基30~50 m之间,表明这些重金属所赋存的颗粒差别不大.不管是指数还是偏态分布类型曲线,均可用公式(6)进行拟合,故从本质上讲,两种分布具有内在联系,只是参数不同而已,所谓的指数分布实质上是峰值十分接近路基条件下的特例.峰值高度主要受污染源强和道路防护状况影响,故系数A和α影响峰高.
4.2 单峰与多峰的关系公式(6)中有n个子函数进行加合,每个子函数对应一种气象条件,每个子函数都有一个峰值.由于土壤重金属含量空间分布为常年积累的结果,故分布曲线应为不同参数的n 个子函数曲线叠加,是个多峰曲线函数.土壤重金属含量空间分布最大峰值对应于常年平均主导风向、风速下的气象条件,次峰对应于其他气象条件.主导风向、风速在多年平均中所占比重越大,对应的主峰与其他峰之间的差异就越大,当达到某一阈值时,呈现为单峰曲线,否则为多峰曲线.从图 3可知,该断面公路源重金属含量空间分布曲线为明显的单峰曲线,说明该区域主导风向、风速在常年平均值中所占比重很大,对公路源重金属扩散的影响权重非常大.
5 结论(Conclusions)1)路旁土壤重金属含量空间分布主要受公路交通的影响.公路源重金属产生后主要赋存于大气颗粒物上,随颗粒物沉降于路旁土壤中.在高斯扩散模型简化的基础上,得到了公路源重金属含量在路旁土壤空间的分布模型.该模型可以模拟路旁土壤重金属含量在道路两侧的指数分布和偏态分布,两者之间具有内在联系,指数分布实质上是偏态分布的峰值十分接近路基的一种特例.在模拟过程中,模拟情景数n的取值越大,模拟越准确.
2)用G310国道杏花营断面土壤实测重金属含量对模型预测进行验证,结果表明,在n =1的情况下,该模型能够比较准确地拟合路旁土壤重金属含量的空间分布形式.
3)路旁土壤重金属含量空间分布模型中各个参数的物理意义还不清楚,模型参数求导过程过于复杂,不利于求解(n>1的情景).今后需要开展更多案例研究,对模型参数及求导过程进一步优化.
| [1] | 陈辉煌,高岩,范炳全,等. 2009. 基于实证分析的城市道路机动车不同类型等效排污模型研究[J].公路交通科技, 26(6): 147-152 |
| [2] | Chen X, Xia X H, Zhao Y, et al. 2010.Heavy metal concentrations in roadside soils and correlation with urban traffic in Beijing, China[J].Journal of Hazardous Materials, 181 (1/3): 640-646 |
| [3] | 董红召, 徐勇斌, 陈宁. 2011. 城市交通中机动车尾气排放与扩散特性的研究[J].内燃机工程, 32(2): 12-16 |
| [4] | Fakayode S O, Olu-Owolabi B I. 2003.Heavy metal contamination of roadside topsoil in Osogbo Nigeria: its relationship to traffic density and proximity to highways[J].Environmental Geology, 44(2): 150-157 |
| [5] | 郭广慧, 陈同斌, 宋波, 等. 2007. 中国公路交通的重金属排放及其对土地污染的初步估算[J].地理研究, 26(5): 922-930 |
| [6] | 谷蕾,宋博,仝致琦,等. 2012. 连霍高速不同运营路段路旁土壤重金属分布及潜在生态风险[J].地理科学进展, 31(5): 632-638 |
| [7] | 郝吉明, 马广大, 王书肖. 2010. 大气污染控制工程(第3版)[M].北京:高等教育出版社. 88-92 |
| [8] | Jaradat Q M, Massadeh A M, Momani K A, et al. 2010. The spatial distribution of Pb, Cd, Zn, and Cu in agricultural roadside soils [J]. Soil and Sediment Contamination, 19(1): 58-71 |
| [9] | 季辉,赵健,冯金飞,等.2013.高速公路沿线农田土壤重金属总量和有效态含量的空间分布特征及其影响因素分析[J].土壤通报, 44(2): 477-483 |
| [10] | 金均, 周安国, 赵铮红. 1997.公路汽车尾气扩散模式研究[J].上海环境科学, 16(10): 18-21 |
| [11] | Juknevičius S, Matyiūté-Jodkoniené D, Sabiené N. 2007. Contamination of soil and grass by heavy metals along the main roads in Lithuania[J]. Ekologija, 53(3): 70-74 |
| [12] | 李波,林玉锁, 张孝飞, 等. 2005. 宁连高速公路两侧土壤和农产品中重金属污染的研究[J].农业环境科学学报, 24(2): 266-269 |
| [13] | 李修刚, 杨晓光, 王炜. 2001. 城市开阔道路的交通排气污染实验与模拟[J].中国公路学报, 14(增刊): 63-67 |
| [14] | 李仰征, 马建华. 2011. 高速公路旁土壤重金属污染及不同林带防护效应比较[J].水土保持学报, 25(2): 105-109 |
| [15] | 李鱼, 董德明,吕晓君, 等. 2004. 汽车尾气中铅对公路两侧土壤的污染特征[J].生态环境, 13(4): 549-552 |
| [16] | 凌玲, 李湘南, 侯祺棕. 2001. 汽车尾气扩散的计算机模拟与预测[J].武汉理工大学学报, 23(3): 84-86 |
| [17] | 刘世梁, 崔保山, 温敏霞, 等. 2008. 路域土壤重金属含量空间变异的影响因子[J].环境科学学报, 28(2): 253-260 |
| [18] | 马建华, 李剑, 宋博. 2007. 郑汴路不同运营路段路旁土壤重金属分布及污染分析[J].环境科学学报, 27(10): 1734-1743 |
| [19] | Münch D.1993.Concentration profiles of arsenic,cadmium,chromium,copper,lead,mercury,nickel,zinc,vanadium and polynuclear aromatic hydrocarbons (PAH) in forest soil beside an urban road[J].Science of the Total Environment, 138(1/3): 47-55 |
| [20] | Naser H M, Sultana S, Gomes R, et al. 2012. Heavy metal pollution of soil and vegetable grown near roadside at Gazipur [J]. Bangladesh Journal of Agricultural Research, 37(1): 9-17 |
| [21] | Plesničar A, ZupančičN. 2005. Heavy metal contamination of roadside soil along Ljubljana-Obrezje Highway[J]. RMZ-Materials and Geoenvironment, 52(2): 403-418 |
| [22] | Saeedi M, Hosseinzadeh M,Jamshidi A, et al. 2009. Assessment of heavy metals contamination and leaching characteristics in highway side soils, Iran [J]. Environmental Monitoring and Assessment, 151(1/4): 231-241 |
| [23] | Sutherland R A,Tolosa C A. 2001. Variation in total and extractable elements with distance from roads in an urban watershed, Honolulu, Hawaii [J]. Water, Air, and Soil Pollution, 127(1/4): 315-338 |
| [24] | Swaileh K M, Hussein R M, Abu-Elhaj S. 2004. Assessment of heavy metal contamination in roadside surface soil and vegetation from the West Bank [J].Archives of Environment and Contamination Toxicology, 47(1):23-30 |
| [25] | 仝致琦,谷蕾,段海静,等. 2012. 基于Kriging插值的路旁土壤重金属含量空间分布——以310国道郑州——开封段为例[J].环境科学学报, 32(12): 3030-3038 |
| [26] | 王初,陈振楼, 王京,等. 2007.崇明岛公路两侧蔬菜地土壤和蔬菜重金属污染研究[J].生态与农村环境学报, 23(2): 89-93 |
| [27] | 王嘉松, 陈达良, 黄震,等. 2005.实际大气条件下汽车尾气扩散的模拟与观测[J].上海交通大学学报, 39(11): 1891-1894 |
| [28] | 王慧,郭晋平,张芸香,等.2010.公路绿化带对路旁土壤重金属污染格局的影响及防护效应——以山西省主要公路为例[J].生态学报, 30(22):6218-6226 |
| [29] | 谢绍东, 张远航, 唐晓炎. 1999. 机动车排气污染物扩散模式[J].环境科学, 20(1): 104-109 |
| [30] | 尹卫霞, 史锐, 张红. 2011. 基于VB和SQL的城市交通大气污染扩散模拟系统研究[J].上海环境科学, 30(2): 55-59 |
| [31] | Zehetner F, Rosenfellner U, Mentler A, et al. 2008. Distribution of road salt residues, heavy metals and polycyclic aromatic hydrocarbons across a highway-forest interface [J]. Water, Air, and Soil Pollution, 198(1/4): 125-132 |
| [32] | 张志磊, 王昶, 王芳, 等. 2012. 包头市机动车排放污染物扩散的研究[J].科技信息, (15): 79-81 |
2014, Vol. 34




