2. 湖南大学环境生物与控制教育部重点实验室, 长沙 410082
2. Key Laboratory of Environmental Biology and Pollution Control, Ministry of Education, Hunan University, Changsha 410082
典型的设前置反硝化段的生物脱氮除磷工艺有厌氧/缺氧/好氧工艺(A2/O工艺)、University of Cape Town工艺(UTC工艺)及生物化学脱氮除磷工艺(BCFS工艺)(Smolders et al., 1995).反硝化段前置的优势是厌氧合成的内聚物聚β羟基脂肪酸(PHA)等可直接进入缺氧段驱动反硝化而取得较好的脱氮效果,但前置反硝化段有其固有的缺陷.根据生物脱氮理论,硝化段(好氧段)内氨氧化菌(AOBs)将氨盐氧化为亚硝酸盐后,亚硝酸盐氧化菌(NOBs)将亚硝酸盐氧化为硝酸盐;反硝化段(缺氧段)内反硝化菌将硝酸盐还原为亚硝酸盐,并进一步还原为氮气(N2)(Zhou et al., 2011).由于好氧段在缺氧段后,为实现反硝化,因而必须将混合液从好氧段回流至缺氧段.混合液回流会稀释进水有机质浓度;氧化态氮(NO-x)的去除也受制于混合液的回流速率,且完全脱氮不可能实现;混合液回流还会增加能量消耗和工艺复杂度.
缺氧段置于好氧段之后的后置缺氧反硝化方式,因省去了混合液回流而简化了工艺流程,且能实现较好的脱氮除磷效果而得到了广泛的研究.与前置反硝化相比,外碳源已在厌氧段或好氧段消耗,后置缺氧段反硝化菌以内碳源(糖原或PHA)为电子供体,以NO-x为电子受体驱动反硝化.Coats 等(2011)和Winkler等(2011)研究了后置缺氧序批式反应器(SBR)工艺,Bracklow等(2010)和Vocks等(2005)研究了连续流后置缺氧膜生物反应器(MBR)工艺,均取得了良好的脱氮除磷效果.这些研究表明,后置缺氧段虽未外加碳源,但微生物可利用胞内糖原或PHA驱动反硝化脱氮.此外,Xu等(2011)在后置缺氧反硝化的基础上将部分厌氧段混合液分配进缺氧段实现反硝化除磷,并在好氧段实现了同步硝化-反硝化.这种改进虽然实现了反硝化除磷,但又增加了工艺复杂程度.后置反硝化的厌氧/好氧/缺氧SBR工艺解决了混合液回流的问题,但该工艺是否有进一步改进的空间?
根据传统生物强化除磷(EBPR)理论,EBPR通过厌氧/好氧或厌氧/缺氧交替运行实现.这种条件为聚磷菌(PAOs)代谢生长提供选择性优势,使之能厌氧吸收挥发性脂肪酸(VFAs)合成为PHA,并好氧吸收磷酸盐(Coats et al., 2011).PAOs厌氧吸收VFAs的能量来源于聚磷降解和糖原分解,而糖原分解为PHA合成提供还原力(Smolders et al., 1994).在好氧或缺氧条件下,PAOs通过三羧酸循环(TCA)为自身生长、糖原储存、磷酸盐摄取和聚磷合成提供能量(Smolders et al., 1995).EBPR系统中也存在聚糖菌(GAOs),这种微生物除不能厌氧释磷和好氧摄磷外,其他代谢方式与PAOs相似,故能与PAOs形成竞争关系,影响除磷效果.因此,为达到聚磷菌释磷的目的,活性污泥需经厌氧搅拌以充分接触污水中VFAs.聚磷菌能通过聚磷分解供能吸收VFAs,但笔者研究厌氧/好氧/缺氧SBR工艺时发现,进水后未厌氧搅拌而静置1 h后直接曝气,静置期系统中仍可监测到磷酸盐的大量释放,且曝气开始后磷酸盐仍能被快速过量吸收.同时,后置缺氧段实现了反硝化脱氮,从而达到了脱氮除磷的目的.在未搅拌而直接静置阶段,虽未与污水充分接触系统,活性污泥为什么能像传统厌氧段那样大量释磷?该阶段聚磷菌释磷与传统厌氧释磷有什么异同之处?由于并未搅拌,静置段聚磷菌代谢方式会不会与传统厌氧段聚磷菌代谢方式有所不同?静置段的设置对好氧摄磷及缺氧反硝化脱氮影响有哪些?反硝化脱氮是不是也通过内聚物驱动,是通过糖原还是PHA或两者均有?这些问题都值得深入研究.同时,若静置/好氧/缺氧SBR可达到与厌氧/好氧/缺氧SBR相当甚至更好的脱氮除磷效果,以静置段代替厌氧段并省却搅拌,将简化工艺并节省能量,这也是在后置缺氧工艺上的进一步优化探索.众所周知,氮磷大量排放会引起水体富营养化,导致水质恶化,而传统生物脱氮除磷工艺运行成本高.因此,这种探索对于简化工艺、节约成本、防治水体富营养化具有重要的理论和实际意义,值得更深入地研究分析.
因此,本文以乙酸钠为单一碳源,考察静置/好氧/缺氧SBR长期运行中脱氮除磷性能,并设置厌氧/好氧/缺氧SBR以进行对比.由于本研究以静置段替代传统厌氧段,因而首先必须探究静置段聚磷菌代谢机理,以论述静置段与传统厌氧段的异同点及静置段在静置/好氧/缺氧SBR的地位作用.其次考察两系统释磷、好氧摄磷、同步硝化-反硝化及缺氧反硝化异同点.然后分析静置段替代厌氧段对系统摄磷、硝化及反硝化有哪些影响,以深入研究静置/好氧/缺氧SBR的脱氮除磷性能.最后,根据脱氮除磷效果,对静置/好氧/缺氧SBR可否替代厌氧/好氧/缺氧SBR作初步判断,以期为后置缺氧工艺的研发与应用提供新思路.
2 材料与方法(Materials and methods) 2.1 试验装置与运行方法试验在2个相同的SBR中进行,反应器有效体积为1.8 L.接种的活性污泥取自长沙市第一污水处理厂,起始活性污泥浓度约为4000 mg · L-1.R1运行方式如下:进水→静置(1 h)→曝气(2.5 h)→缺氧搅拌(3 h)→沉淀出水(0.5 h)→闲置(1 h);R2运行方式如下:进水→搅拌(1 h)→曝气(2.5 h)→缺氧搅拌(3 h)→沉淀出水(0.5 h)→闲置(1 h).好氧采用鼓风曝气,曝气量控制为1.5 L · min-1.水力停留时间(HRT)为12 h.控制污泥停留时间为20 d,整个过程中不控制pH.
2.2 污水水质两反应器进水采用合成废水,进水成分及浓度一致.乙酸钠(10.88 mmol · L-1,以C计,理论COD值为350 mg · L-1)为单一碳源,氨氮采用氯化铵(40 mg · L-1,以NH+4-N计),溶解性正磷酸盐(SOP)采用磷酸二氢钾(12 mg · L-1,以PO3-4-P计).此外,CaCl2及MgSO4浓度皆为5 mg · L-1,微量元素溶液为0.5 mL,其组分及浓度见文献(Wang et al., 2008).
2.3 分析方法PHA测定采用气相色谱法(Wang et al., 2008);NO-2-N测定采用N-(1-萘基)-乙二胺分光光度法,SOP测定采用钼锑抗分光光度法,NO-3-N测定采用紫外分光光度法,混合液挥发性悬浮固体浓度(MLVSS)测定采用重量法,NH+4-N测定采用纳氏试剂分光光度法,具体方法参照文献(国家环保总局《水和废水监测分析方法》编委会,2002);污泥中总磷(TP)采用NaOH熔融钼锑抗分光光度法测定(Wang et al., 2009),糖原(Glycogen)采用苯酚-硫酸法测定(Wang et al., 2009),废水总有机碳浓度(TOC)采用TOC测定仪(ShimadzuTOC-500,日本)测定.
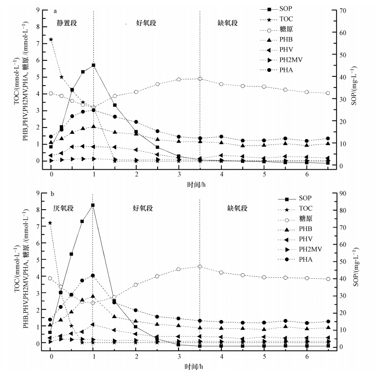
3 结果与分析(Results and discussion) 3.1 静置段微生物代谢分析由于静置段与传统厌氧段有所不同,而这种差异是否影响微生物代谢,进而影响生物强化除磷效果值得探讨.本文将从释磷、VFA摄取、糖原分解及PHA合成等方面进行分析.运行稳定阶段,R1和R2典型周期内SOP、TOC、糖原和PHA(聚β羟基丁酸(PHB)+聚β羟基戊酸(PHV)+聚二甲基三羟基戊酸(PH2MV))一个周期内的变化情况如图 1所示.
![]() |
| 图 1 R1(a)和R2(b)典型周期内SOP、糖原和PHA的变化 Fig. 1 Variations of SOP,glycogen,PHA during a typical cycle in R1 and R2 |
R2厌氧段迅速释磷,释磷量为74.34 mg · L-1,释磷速率为24.11 mg · g-1 · h-1(以每g VSS释放的P(mg)计).R1静置段释磷量相对较少,但仍有38.67 mg · L-1,释磷速率为12.86 mg · g-1 · h-1. Montil 等(2005)和Mamais等(1992)认为传统EBPR工艺厌氧段磷酸盐释放速率分别为5~30 mg · g-1 · h-1和7~20 mg · g-1 · h-1. 虽然R1释磷量仅为R2的1/2,但与传统厌氧段释磷速率相比,R1静置段释磷速率在其变化范围内且偏高.这表明进水后虽未搅拌活性污泥,但R1中聚磷菌仍可较快分解聚磷以迅速吸收水中VFA,故其静置释磷速率仍较高.可见,R1系统内虽无传统厌氧段,聚磷菌仍能优势生长.与R2厌氧段一致,R1静置段也会发生糖原分解及PHA合成.R1静置段和R2厌氧段释磷量(Prel)、VFA摄取量(VFAup)、PHA合成量(PHAsyn)及糖原降解量(Glydeg)之间的转化比例和PHA各组分百分比与文献报道的传统厌氧段的数据比较结果见表 1.
R1静置段PHA合成量、糖原分解量及释磷量在传统厌氧段的变化范围内,表明PAOs在静置段内的代谢方式与传统厌氧段内的代谢相似.由表 1可知,R1和R2的Glydeg/PHAsyn分别为0.65、0.60.Arun 等(1988)和Carvalho等(2007)认为该比例在0.28~0.36之间或更高时预示EBPR运行成功.当Prel/VFAup较小(0.15~0.45),而Glydeg/VFAup较高(0.67~0.78)时,PHV占PHA比重(PHV/PHA)明显偏高(20.0%~28.6%);相反,当Prel/VFAup较高(0.48~0.96),而Glydeg/VFAup较低(0.46~0.53)时,PHV占PHA比重(PHV/PHA)明显偏低(6%~12%).乙酸钠作为碳源被PAOs吸收后,直接转化为乙酰-CoA,后者将聚合成PHB.但PAOs能通过还原性三羧酸循环(TCA)+琥珀酸-丙酸途径生成丙酰-CoA,进而与乙酰-CoA合成PHV(Kortstee et al., 2000).本研究中R1和R2 的Prel/VFAup偏低,而Glydeg/VFAup和PHV占比偏高.某些聚磷菌可能更多地依赖糖原降解,而还原性TCA可平衡源于糖酵解产生的还原力(Oehmen et al., 2010).据此推断,聚磷菌更多地依赖糖原降解提供能量,产生较多还原力,因而为了平衡还原力,PAOs通过该途径合成较多的丙酰-CoA,进而合成较多的PHV.以上分析表明,静置段能起厌氧段作用而省却了搅拌,聚磷菌能优势生长并快速释磷,为好氧迅速摄磷奠定基础.当然,本研究所采用的反应器较小,在一定程度上利于物质传递.而对于较大反应器是否有同样效果,以及其相应的改良措施则需进一步研究.
| 表1 传统厌氧段与静置段的化学计量数及PHA组分百分比的比较(以乙酸钠为碳源) Table.1 Comparisons of stoichiometries and percentages of PHB,PHV and PH2MV in PHA between the static period and conventional anaerobic period(acetate as carbon source) |
PAOs在两系统好氧段均能迅速吸收废水中的磷酸盐.R1、R2中SOP分别从好氧段初的46.67、82.34 mg · L-1下降到好氧段末的2.32、0.93 mg · L-1,其磷酸盐的平均吸收速率分别为5.90、9.53 mg · g-1 · h-1,R2高于R1.R2厌氧段聚磷菌释磷更充分,因而摄磷速度更快,好氧段末SOP即在1 mg · L-1以下;而R1静置段释磷较R2少,摄磷速度亦相对较慢.从好氧代谢看,R1与R2相同,随着磷的摄取R1好氧段发生PHA降解与糖原补充,但R2的Glysyn/PHAoxi较R1小(表 2),其原因可能是在R2厌氧段释磷更多的情况下,R2中聚磷菌氧化PHA所获能量较多地用于SOP摄取及聚磷合成,而用于糖原补充则相对较少,故Glysyn/PHAoxi较小.虽然R1好氧段末SOP较高,为2.32 mg · L-1,但随着反硝化进行,SOP逐渐吸收,从而使SOP在缺氧结束时降至0.91 mg · L-1.因此,推断R1中存在反硝化聚磷菌(DPAOs),能以NO为电子受体摄取SOP(Xu et al., 2011),反硝化摄磷速率为0.18 mg · g-1 · h-1.脱氮的同时使SOP浓度进一步降低,达到与R2相当的除磷效果.R1和R2长期运行过程中的除磷效果见图 2.由图 2可知,R1和R2长期运行过程中,除磷效果稳定良好,平均出水浓度分别为0.91和0.93 mg · L-1,平均去除率分别为92.4%和92.1%.与设厌氧段的R2相比,设静置段的R1具有相当的除磷效果.这表明与厌氧/好氧/缺氧SBR相比,静置/好氧/缺氧SBR能在长期运行过程中取得与之相当的良好除磷效果.
![]() |
| 图 2 R1和R2长期运行的除磷效果 Fig. 2 Phosphorus removal efficiencies in R2 and R1 during long-term operation |
| 表2 好氧段和后置缺氧段微生物代谢 Table.2 Aerobic and post-denitrification metabolic transformation |
图 3为R1和R2典型周期内NH+4-N、NO-2-N和NO-3-N的变化情况.由图 3可知,好氧段内两系统中的氨氮几乎被完全氧化,至好氧段末R1和R2中氨氮浓度分别为0.27、0.19 mg · L-1,去除率分别为99.3%和99.5%.氨氮被氧化成硝氮或亚硝氮,但由图 3可知,好氧段氨氮减少量与NO-x生成量差距较大,因此,可考虑好氧段是否发生同步硝化-反硝化.好氧段氨氮主要有3个去向:氧化成NO-x,同步硝化-反硝化为N2及细胞同化为生物氮.生物氮可以细胞分子式 C5H7NO2计算(N占比12%)(Bruce et al., 2001).因反应器中总生物量处于平衡状态,则每个周期排放的污泥量应相当于该周期新增的生物量.每周期混合液排放量为30 mL,再由MLVSS和生物氮占比可计算每周期同化生物氮量.同步反硝化脱氮量(SDN)由被氧化的氨氮扣除生成的NO-x和同化的生物氮而得.经计算,R1和R2同步反硝化脱氮量分别为4.84、2.62 mg · L-1,分别占进水总氮的18.0%、9.8%(表 3).好氧段发生同步反硝化的原因可能是活性污泥絮凝体从表面到内核,氧的分布并不均匀.外层为好氧区,进行硝化反应;内层为缺氧区,进行反硝化反应.Satoh等(2003)发现硝化和反硝化能在絮凝体的不同区域同时进行.此外,也有可能存在好氧反硝化菌(Kim et al., 2005).虽然进水氨氮浓度相同,但R1同步反硝化脱氮量比R2多,可能是由于R1中氨氧化菌(AOBs)相对亚硝酸盐氧化菌(NOBs)更多,从而亚硝酸积累量更多.由图 3可知,好氧段内R1中亚硝酸盐积累量可达6.31 mg · L-1,而R2中亚硝酸盐积累量最多仅为2.40 mg · L-1,因而更多的亚硝酸盐可能直接通过短程反硝化还原为氮气,而不必进一步氧化为硝酸盐再逐步还原为氮气;而R2积累的亚硝酸较少,可能因其进一步氧化为硝氮,故反硝化时需先还原为亚硝氮再还原为氮气.因此,R1同步硝化-反硝化更快.
![]() |
| 图 3 R1(a)和R2(b)典型周期内NH+4-N、NO-2-N和NO-3-N的变化 Fig. 3 Variations of NH+4-N,NO-2-N and NO-3-N during a typical cycle in R1(a) and R2(b) |
R2外碳源在厌氧段已完全消耗,而R1外碳源在静置段结束时虽有剩余,但曝气后则立即吸收,即R1和R2缺氧段已无外碳源.由图 1和图 3可知,R1和R2缺氧段内NO-x逐渐下降,且此时PHA保持平稳并未下降,而糖原则逐渐下降,因此,可推断R1和R2在缺氧段发生了以NO-x为电子受体,以胞内糖原为电子供体的后置反硝化反应,这与Coats 等(2011)和Winkler等(2011)的报道一致.微生物内源性衰解驱动反硝化速率为0.2~0.6 mg · g-1 · h-1(Kujawa et al., 1999),本文中R1和R2后置反硝化速率分别为0.98和0.84 mg · g-1 · h-1.Coats等(2011)和Winkler等(2011)测得后置反硝化速率分别为0.67~0.88 mg · g-1 · h-1和0.31~0.95 mg · g-1 · h-1(20 ℃校正,校正公式见文献(Vocks et al., 2005)).可见,R1和R2后置反硝化速率高于微生物内源性衰解反硝化速率,而与文献报道的后置反硝化速率相当.每还原一定量的硝氮需相应一定量的糖原,2.86 mg(COD)/mg(NO-3-N)表示每还原1 mg NO-3理论上需2.86 mg COD(Winkler et al., 2011).据此计算,每还原1 mg NO-2-N则需1.14 mg COD.为更好地探讨糖原驱动后置反硝化脱氮,统计了硝氮与糖原之间的定量关系数据,具体见表 2.从表 2可知,R1和R2缺氧还原硝氮理论所需糖原分别占缺氧实际消耗糖原的30.4%和31.2%,这与Coats 等(2011)的研究结果相当,而较Winkler等(2011)的研究结果高.缺氧段不到1/2的糖原用于硝氮还原,剩余糖原可能通过糖酵解为微生物供能以维持生长.R1缺氧消耗糖原较R2多,其硝氮还原量亦较多(表 2).R1反硝化速率高于R2,可能就是由于R1缺氧段分解的糖原量(0.90 mmol · g-1)较R2(0.75 mmol · g-1)分解的多(表 2).至于为何R1缺氧糖原分解量较R2多,其原因可能是R2 好氧段氧化PHA所获能量更多地用于SOP摄取及储存,用于糖原补充则相对较少,从而导致缺氧段糖原分解较少.由表 2还可知,R1中Glysyn/PHAoxi较R2小.R1和R2缺氧段反硝化速率(DNR)如表 4所示.
| 表3 R1和R2好氧段同步硝化-反硝化 Table.3 Simultaneous nitrification and denitrification in aerobic phases of R1 and R2 |
| 表4 R1和R2缺氧段反硝化速率 Table.4 Denitrification rates in anoxic stages of R1 and R2 |
综合对比R1和R2好氧段和缺氧段脱氮性能发现,设置静置段的R1比设置厌氧段的R2有更高的同步硝化-反硝化脱氮量和反硝化速率,故在氨氮氧化量几乎相同情况下,R1硝氮出水浓度较R2低(表 4).因而具有更好的脱氮效果.R1和R2长期运行过程中脱氮效果见图 4.由图 4可知,长期运行过程中R1和R2脱氮效果稳定,平均出水TN分别为6.62和9.21 mg · L-1,平均脱氮率分别为83.5%和77.0%.可见,R1脱氮效果好于R2.
![]() |
| 图 4 R1和R2长期运行的脱氮效果 Fig. 4 TN removal efficiencies in R2 and R1 during long-term operation |
在两反应器进水乙酸钠、氨氮(NH+4-N)及磷酸盐(PO3-4-P)浓度均分别为350 mg · L-1(以COD计)、40 mg · L-1及12 mg · L-1,水力停留时间(HRT)为12 h时,对比研究了静置/好氧/缺氧SBR(R1)与厌氧/好氧/缺氧SBR(R2)的生物脱氮除磷性能. 结果发现,静置段可起厌氧段作用,这为生物强化除磷奠定了基础;静置/好氧/缺氧SBR的 SOP和TN去除率分别为92.4%和83.5%,厌氧/好氧/缺氧SBR的SOP和TN去除率分别为92.1%和77.0%;以静置段代替厌氧段的静置/好氧/缺氧SBR可达相当的除磷效果,而由于R1同步硝化-反硝化脱氮量及后置反硝化脱氮量均较R2多,故其脱氮效果更好.该设置在避免污泥回流的基础上省却厌氧搅拌而简化工艺,降低了处理成本.
| [1] | Arun V, Mino T, Matsuo T.1988.Biological mechanism of acetate uptake mediated by carbohydrate consumption in excess phosphorus removal systems[J].Water Research, 22: 565-570 |
| [2] | Bracklow U, Drews A, Gnirss R, et al.2010.Inuence of sludge loadings and types of substrates on nutrients removal in MBRs[J].Desalination, 250: 734-739 |
| [3] | Bruce E R, Perry L M.2001.Environmental Biotechnology: Principles and Applications[M].New York: MeGraw Hill Publishing Co. |
| [4] | Carvalho G, Lemos P C, Oehmen A, et al.2007.Denitrifying phosphorus removal: Linking the process performance with the microbial community structure[J].Water Research, 41: 4383-4396 |
| [5] | Coats E R, Mockos A, Loge F J.2011.Post-anoxic denitrification driven by PHA and glycogen within enhanced biological phosphorus removal[J].Bioresource Technology, 102: 1019-1027 |
| [6] | Filipe C D M, Daigger G T, Grady C P L.2001.Stoichiometry and kinetics of acetate uptake under anaerobic conditions by an enriched culture of phosphorus-accumulating organisms at different pHs[J].Biotechnology Bioengineering, 76: 32-43 |
| [7] | 国家环保总局《水和废水监测分析方法》编委会.2002.水和废水监测分析方法[M].北京: 中国环境科学出版社 |
| [8] | Kim J K, Park K J, Cho K S.2005.Aerobic nitrification-denitrification by heterotrophic Bacillus strains[J].Bioresource Technology, 96: 1897-1906 |
| [9] | Kortstee G J J, Appeldoorn K J, Bonting C F C, et al.2000.Recent developments in the biochemistry and ecology of enhanced biological phosphorus removal[J].Biochemistry (Moscow), 65: 332-340 |
| [10] | Kujawa K, Klapwijk B.1999.A method to estimate denitrification potential for predenitrification systems using NUR batch test[J].Water Research, 33: 2291-2300 |
| [11] | Liu W T, Nakamura K, Matsuo T, et al.1997.Internal energy-based competition between polyphosphate-and glycogen-accumulating bacteria in biological phosphorus removal reactors-effect of P/C feeding ratio[J].Water Research, 31: 1430-1438 |
| [12] | Lu H, Oehmen A, Virdis B, et al. 2006.Obtaining highly enriched cultures of candidatus accumulibacter phosphatis through alternating carbon sources[J].Water Research, 40: 3838-3848 |
| [13] | Mamais D, Jenkins D.1992.The effects of MCRT and temperature on enhanced biological phosphorus removal[J].Water Science and Technology, 26: 955-965 |
| [14] | Monti1 A, Hall E R, van Loosdrecht M C M.2005.Kinetics of phosphorus release and uptake in a membrane-assisted biological phosphorus removal process[J].Journal of Environmental Engineering, 133: 889-908 |
| [15] | Oehmen A, Carvalho G, Lopez-Vazquez C M, et al.2010.Incorporating microbial ecology into the metabolic modeling of polyphosphate accumulating organisms and glycogen accumulating organisms[J].Water Research, 44: 4992-5004 |
| [16] | Pereira H, Lemas P C, Reis M A M, et al. 1996.Model for carbon metabolism in biological phosphorus removal processes based on in vivo C-NMR labelling experiments[J].Water Research, 30: 2128-2138 |
| [17] | Satoh H, Nakamura Y, Ono H, et al. 2003.Effect of oxygen concentration on nitrification and denitrification in single activated sludge ocs[J].Biotechnology Bioengineering, 83: 604-607 |
| [18] | Smolders G J F, Vandermeij J, van Loosdrecht M C M, et al.1994.Model of the anaerobic metabolism of the biological phosphorus removal process-stoichiometry and pH inuence[J].Biotechnology Bioengineering, 43: 461-470 |
| [19] | Smolders G J F, van der Meij J, van Loosdrecht M C M, et al.1995.A structured metabolic model for anaerobic and aerobic stoichiometry and kinetics of the biological phosphorus removal process[J].Biotechnology Bioengineering, 47: 277-287 |
| [20] | Vocks M, Adama C, Lesjean B, et al. 2005.Enhanced post-denitrification without addition of an external carbon source in membrane bioreactors[J].Water Research, 39: 3360-3368 |
| [21] | Wang D B, Li X M, Yang Q, et al.2008.Biological phosphorus removal in sequencing batch reactor with single-stage oxic process[J].Bioresource Technology, 99: 5466-5473 |
| [22] | Wang D B, Li X M, Yang Q, et al.2009.The probable metabolic relation between phosphate uptake and energy storages formations under single-stage oxic condition[J].Bioresource Technology, 100: 4005-4011 |
| [23] | Winkler M, Coats E R, Brinkman C K.2011.Advancing post-anoxic denitrification for biological nutrient removal[J].Water Research, 45: 6119-6130 |
| [24] | Xu X Y, Liu G, Zhu L, et al. 2011.Enhanced denitrifying phosphorous removal in a novel anaerobic/aerobic/anoxic(AOA) process with the diversion of internal carbon source[J].Bioresource Technology, 102: 10340-10345 |
| [25] | Yagci N, Artan N, Cokg ör E U, et al.2003.Metabolic model for acetate uptake by a mixed culture of phosphate-and glycogen-accumulating organisms under anaerobic conditions[J].Biotechnology Bioengineering, 84: 359-373 |
| [26] | Zhou Y, Oehmen A, Lim M, et al.2011.The role of nitrite and free nitrous acid (FNA) in wastewater treatment plants[J].Water Research, 45: 4672-4682 |
2014, Vol. 34





