非能动安全壳冷却系统(Passive containment cooling system, PCS)是大型先进压水堆核电厂专设安全系统之一。在事故情况下,一回路泄漏的高温高压水向安全壳内释放大量质能,安全壳温度和压力升高,PCS启动后,壳内蒸汽在钢制安全壳内壁面被冷凝,热量通过壳体导出,并通过依重力作用覆盖在壳体外壁面的冷却水水膜进行传热;冷却水膜被加热甚至蒸发后形成的水蒸汽随安全壳外表面、空气导流板和屏蔽构筑物形成的环腔内的空气进入大气,实现高温高压蒸汽能量向环境的输运,从而降低安全壳内的温度和压力,保证安全壳的纵深防御功能[1]。为验证PCS的安全性能,国内外大量的缩比例单项和整体性试验台架被建成以完成相关的机理研究和设计验证工作,Kang等[2-3]通过实验分析和程序模拟对安全壳的水膜蒸发传质进行了研究。Spencer等[4-5]研究了PCS整体性能试验各子系统比例分析方法以及事故不同阶段应关注的重要物理现象。基于比例分析技术,刘卓等[6-7]分别对PCS壳内液膜冷凝和壳外蒸发现象的失真度和不确定度进行了评定。叶成等[8-9]使用WGOTHIC程序对PCS的响应过程进行模拟计算,该程序可有效模拟安全壳原型和整体试验的传热传质现象。
整体性能试验是验证PCS可靠性和最小水膜覆盖率适宜性的重要方法,课题拟在非能动安全壳冷却系统综合性能试验台架(Containment safety vErification via integRal Test, CERT)上开展验证试验,该台架位于国核能源实验室开封基地。为保证在小水膜覆盖率情况下原型PCS中的关键物理现象能在试验台架上复现,需在试验开展前对台架相关物理现象进行失真度分析,确保试验的有效性。本文利用安全壳专用分析程序分别对PCS原型系统和CERT试验台架进行建模,分析LOCA (Loss of Coolant Accident)事故工况下影响PCS响应过程的主要传热现象,比较影响PCS降温降压能力的不同能量传递方式的重要程度,并对其在试验台架上出现的失真度进行评价。
1 理论方法 1.1 PCS系统介绍及模型建立PCS系统主要由钢制安全壳体、壳内空间、壳外环腔通道、壳外冷却水系统、破口喷放管道等组成。CERT试验台架是参照原型电站建造的1/8缩比例试验设施。该台架能够模拟不同事故工况下安全壳内的质能释放、壳外冷却水膜覆盖及环腔空气对流等综合作用机制。
采用安全壳专用分析程序分别对原型PCS系统和试验台架建模,主要参数包括控制体参数、流道参数、热构件参数、传热系数类型参数、材料类型参数、边界条件、初始条件和程序控制参数等。控制体的划分如图 1所示。该程序可模拟安全壳钢结构由内向外蒸汽冷凝、钢壳导热、液膜蒸发、环腔空气对流传热和不同壁面间辐射传热的过程。壳体和导流板沿周向分为8个部分,包含4个由壳外冷却水膜覆盖的湿区和4个干区,每个区沿高度方向又分为8层,与控制体沿高度方向的划分相对应,构建成整个壳体和壳外导流板;程序中的壳壁区模块将壳内外的传热传质联系起来,形成热量由内至外的传热体系。模型设定每个热阱的连接位置、表面积、初始温度、材质和厚度、传热类型和用于修正传热传质关系式的包络因子等。为了验证模型的可靠性,分别使用初步安全分析报告和台架早期试验数据与同工况下原型和台架的模型计算结果进行对比,结果表明计算模型具有一定的保守性,且偏差在可接受范围之内[10]。
|
图 1 PCS模型节点划分示意图 Figure 1 Nodalization diagram of PCS model |
基于现象识别和评级排序表(Phenomena Identification and Ranking Table, PIRT),采用复杂系统整体效应分析方法学中的多级双向比例分析(Hierarchical Two-Tiered Scaling, H2TS)方法[11],对LOCA事故过程中影响壳内压力缓解的各物理现象进行比例分析,确定相关的重要
对于壳外冷却水膜稳定建立后的准稳态阶段,壳内空间压力变化率较小,以壳内自由气体空间为控制体,建立壳内压力变化率方程:
| $ \begin{align} & \frac{{{V}_{{\rm ct}}}}{\gamma-1}\frac{\operatorname{d}{{P}_{{\rm ct}}}}{\operatorname{d}t}={{(\dot{m}{{h}_{{\rm stm}}})}_{{\rm brk}}}-{{{\dot{m}}}_{{\rm sh, in, stm}}}{{h}_{{\rm ct, stm}}}-\\ & \ \ \ \ \ \ \ \ \ \ \ \ \ \ \ \ \ {{h}_{{\rm sh, in}}}{{A}_{{\rm sh, in}}}({{T}_{{\rm ct}}}-{{T}_{{\rm sh, in, surf}}})-\\ & \ \ \ \ \ \ \ \ \ \ \ \ \ \ \ \ \ {{\varepsilon }_{{\rm ct-sh, in}}}\sigma A(T_{{\rm ct}}^{4}-T_{{\rm sh, in}}^{{\rm 4}})-\\ & \ \ \ \ \ \ \ \ \ \ \ \ \ \ \ \ \ \sum\limits_{n}{{{{\dot{m}}}_{{\rm sink, stm, }i}}{{h}_{{\rm ct, stm}}}}- \\ & \ \ \ \ \ \ \ \ \ \ \ \ \ \ \ \ \ \sum\limits_{n}{{{h}_{{\rm conv, sink, }i}}{{A}_{{\rm sink, }i}}({{T}_{{\rm ct}}}-{{T}_{{\rm sink, surf, }i}})}- \\ & \ \ \ \ \ \ \ \ \ \ \ \ \ \ \ \ \ \sum\limits_{n}{{{\varepsilon }_{{\rm ct-sink, surf, }i}}\sigma A(T_{\operatorname{ct}}^{4}-T_{{\rm sink, surf, }i}^{4})}\, \, \, \\ \end{align} $ | (1) |
壳外传热过程以冷却水膜作为研究对象建立控制方程:
| $ \begin{align} & \frac{\operatorname{d}{{(mh)}_{{\rm film}}}}{\operatorname{d}t}={{{\dot{m}}}_{{\rm film, in}}}{{h}_{{\rm cl, in}}}-{{{\dot{m}}}_{{\rm film, out}}}{{h}_{{\rm cl, out}}}+ \\ & \ \ \ \ \ \ \ \ \ \ \ \ \ \ \ \ {{h}_{{\rm sh-film}}}{{A}_{{\rm sh}}}{{\alpha }_{{\rm film}}}\left( {{T}_{{\rm sh, out}}}-{{T}_{{\rm film}}} \right)-\\ & \ \ \ \ \ \ \ \ \ \ \ \ \ \ \ \ {{{{\dot{m}}''}}_{{\rm cl, evap}}}{{A}_{{\rm sh}}}{{\alpha }_{{\rm film}}}{{h}_{{\rm fg}}}-\\ & \ \ \ \ \ \ \ \ \ \ \ \ \ \ \ \ {{h}_{{\rm conv, film-ri}}}{{A}_{{\rm sh}}}{{\alpha }_{{\rm film}}}({{T}_{{\rm film}}}-{{T}_{{\rm ri}}})-\\ & \ \ \ \ \ \ \ \ \ \ \ \ \ \ \ \ {{\varepsilon }_{{\rm film-ri}}}\sigma (T_{{\rm film}}^{{\rm 4}}-T_{{\rm ri}}^{{\rm 4}}) \\ \end{align} $ | (2) |
式中:下标ct表示壳内自由空间;sh表示壳体;sink表示热阱;film表示壳外冷却水膜。由于安全壳内外壁面和热阱传热量主要包括冷凝传热、蒸发传热、辐射传热和对流传热,根据其传热机理可将式(1)和(2)简化为:
| $ \begin{align} & \frac{{{V}_{{\rm ct}}}}{\gamma-1}\frac{\operatorname{d}{{P}_{{\rm ct}}}}{\operatorname{d}t}={{Q}_{{\rm brk}}}-({{Q}_{{\rm cond, sh, in}}}{\rm +}{{Q}_{{\rm conv, sh, in}}}{\rm +}{{Q}_{{\rm rad, sh, in}}})-\\ & \ \ \ \ \ \ \ \ \ \ \ \ \ \ \ {{\ }^{{}}}(\sum\limits_{n}{{{Q}_{{\rm cond, sink}, i}}}{\rm +}\sum\limits_{n}{{{Q}_{{\rm conv, sink}, i}}}{\rm +}\sum\limits_{n}{{{Q}_{{\rm rad, sink}, i}}}) \\ & \ \ \ \ \ \ \ \ \ \ \ \ \ \ \ {\rm =}{{Q}_{{\rm brk}}}-{{Q}_{{\rm sh, in}}}-\sum\limits_{n}{{{Q}_{{\rm sink}, i}}} \\ \end{align} $ | (3) |
| $ \begin{align} & \frac{\operatorname{d}{{(mh)}_{{\rm film}}}}{\operatorname{d}t}={{Q}_{{\rm film, in}}}-{{Q}_{{\rm film, out}}}+{{Q}_{{\rm film}}}-\\ & \ \ \ \ \ \ \ \ \ \ \ \ \ \ \ \ \ ({{Q}_{{\rm evap, sh, in}}}{\rm +}{{Q}_{{\rm conv, sh, in}}}{\rm +}{{Q}_{{\rm rad, sh, in}}}) \\ & \ \ \ \ \ \ \ \ \ \ \ \ \ \ {\rm =}\Delta {{Q}_{{\rm cl}}}+{{Q}_{{\rm film}}}-{{Q}_{{\rm sh, out}}} \\ \end{align} $ | (4) |
不同的传热机理在能量载出过程中发挥的重要程度不同。根据程序计算结果可知,事故后PCS运行过程中,壳内冷凝和壳外蒸发传热功率的量级为100-200,对流传热功率的量级为1,辐射传热功率的量级为10-7,显然壳内冷凝和壳外蒸发传热在PCS能量载出过程中占主导作用,是事故后壳内压力得以缓解的主要途径。
由事故进程变化采用破口喷放功率
| $ \begin{align} & {{\Pi }_{{\rm sh, in, }R}}{\rm =}\frac{{{\Pi }_{{\rm sh, in, model}}}}{{{\Pi }_{{\rm sh, in, prototype}}}}{\rm =}1 \\ & {{\Pi }_{{\rm sink, }R}}{\rm =}\frac{{{\Pi }_{{\rm sink, model}}}}{{{\Pi }_{{\rm sink, prototype}}}}{\rm =}1 \\ & {{\Pi }_{{\rm sh, out, }R}}{\rm =}\frac{{{\Pi }_{{\rm sh, out, model}}}}{{{\Pi }_{{\rm sh, in, prototype}}}}{\rm =}1 \\ \end{align} $ | (5) |
另外,根据PIRT表中评级较高的物理现象,壳内破口喷放源和壳外环腔混合气体自然循环也应满足相似。由于破口喷放流动状态很难用公式描述,试验中通常保证台架的破口位置、尺寸和隔间的设置尽量与原型满足几何相似即可。壳外环腔内流动相似会导致得到的环腔宽度和混合气体流速与传热相似得到的结果矛盾,而在壳外冷却水膜稳定建立后,PCS整体试验台架所关注的核心物理过程是壳内能量的载出,所以与传热相关的现象和台架几何参数是试验中应优先保证满足的。
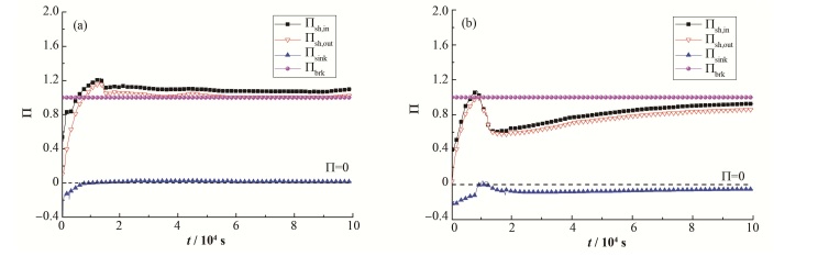
2 结果分析为了分析LOCA事故工况下PCS响应过程的主要传热现象,验证PCS设计水膜覆盖率的适宜性,同时探讨PCS系统导热能力的安全裕度,本文选取冷段双端剪切破口喷放为质能输入边界,以基准工况和假设事故时非能动安全壳冷却水箱(Passive Containment Cooling Water Storage Tank, PCCWST)本身和水分配装置出现故障的恶劣工况作为研究对象,分析事故过程中安全壳内不同传热机制的传热能力和台架传热相关现象的失真度。
2.1 安全壳内传热相关基准工况下原型PCS壳外冷却水流量和水膜覆盖率为初步安全分析报告中规定的设计值,即流量为127.85 m3·h-1,初始水膜覆盖率为90%。根据比例分析结果,水膜建立后台架和原型需满足功率面积比,台架冷却水流量经比例换算后为2 m3·h-1,初始时刻台架水膜覆盖率和其他主要热工参数与原型水膜建立时刻保持一致。通过程序计算得到如图 2的传热相关
|
图 2
基准工况下不同形式传热 |
另外,对比图 2(a)和(b)可知,台架壁面冷凝和蒸发传热
恶劣工况是基于出现壳外冷却水管的喷淋流量减小和水分配器出现故障的情况发生,假设PCCWST中7.4 m处出水管堵管(冷却水流量减小为61.76 m3·h-1,台架流量为0.96 m3·h-1)且叠加水分配器故障(水膜覆盖率为50%),对此类事故进行程序计算得到如图 3中
|
图 3
恶劣工况下不同形式传热 |
对于判断台架是否能准确反映原型电站在事故工况下水膜建立后的传热现象,可通过计算不同形式传热现象的相似准则数(
|
图 4
不同工况下传热相关 |
以大型先进压水堆钢制安全壳为研究对象,采用安全壳专用分析程序分别对原型PCS系统和CERT试验台架进行建模,通过程序计算分析了PCS在LOCA事故基准工况和恶劣工况下的传热相关无量纲
1) PCS原型系统和台架壳外冷却水膜建立后,壁面冷凝和蒸发传热相关
2) 对于台架模拟试验,壳外环腔通道内的水膜蒸发传热是安全壳内能量载出的主要途径,所以壳体壁面冷凝和蒸发现象是应优先准确模拟的。
3) 通过传热特性失真评价认为CERT试验台架可以有效模拟原型PCS系统在小水膜覆盖率情况下的传热现象。
| [1] |
林诚格, 郁祖盛. 非能动安全先进核电厂AP1000[M]. 北京: 原子能出版社, 2008, 196-199. LIN Chengge, YU Zusheng. An advanced passive plant AP1000[M]. Beijing: Atomic Energy Press, 2008, 196-199. |
| [2] |
Kang Y M, Park G C. An experimental study on evaporative heat transfer coefficient and applications for passive cooling of AP600 steel containment[J]. Nuclear Engineering and Design, 2001, 204(3): 347-359. |
| [3] |
韦胜杰, 殷煜皓, 胡珀, 等. 竖壁降液膜流动纵向及水平发展规律研究[J]. 原子能科学技术, 2013, 47(2): 213-217. WEI Shengjie, YIN Yuhao, HU Po, et al. Horizontal and longitudinal characteristics of water film falling on vertical plate[J]. Atomic Energy Science and Technology, 2013, 47(2): 213-217. DOI:10.7538/yzk.2013.47.02.0213 |
| [4] |
Spencer D R, Brown W L, Woodcock J. Scaling for AP600 containment pressure during design basis accident[R]. WCAP-14845, Rev 3. USA: Westinghouse Electric Corporation, 1998.
|
| [5] |
Brown W L. Scaling of the AP600 containment large scale test facility[C]. 7th International Conference on Nuclear Engineering, Tokyo, Japan: Japan Society of Mechanical Engineers, 1999.
|
| [6] |
刘卓, 常华健. 台架缩比对冷凝液膜换热的失真评价[J]. 原子能科学技术, 2014, 48(11): 1969-1975. LIU Zhuo, CHANG Huajian. Assessment of scaling distortion in condensation film heat transfer[J]. Atomic Energy Science and Technology, 2014, 48(11): 1969-1975. DOI:10.7538/yzk.2014.48.11.1969 |
| [7] |
孙流莉, 阳祥, 赵瑞昌, 等. 安全壳冷却试验蒸发特征数不确定度评定方法及其应用[J]. 动力工程学报, 2015, 35(8): 687-692. SUN Liuli, YANG Xiang, ZHAO Ruichang, et al. Uncertainty evaluation of evaporation dimensionless parameters obtained in performance test of a PCCS and the application[J]. Journal of Chinese Society of Power Engineering, 2015, 35(8): 687-692. |
| [8] |
叶成, 郑明光, 王勇, 等. AP1000非能动安全壳冷却水WGOTHIC分析[J]. 原子能科学技术, 2013, 47(12): 2225-2230. YE Cheng, ZHENG Mingguang, WANG Yong, et al. WGOTHIC analysis on AP1000 passive containment cooling water[J]. Atomic Energy Science and Technology, 2013, 47(12): 2225-2230. DOI:10.7538/yzk.2013.47.12.2225 |
| [9] |
王国栋. 应用GOTHIC8.0程序分析AP1000核电厂PCS传热传质过程[J]. 原子能科学技术, 2015, 49(1): 83-88. WANG Guodong. Analysis of heat and mass transfer process for AP1000 NPP PCS using GOTHIC8.0 code[J]. Atomic Energy Science and Technology, 2015, 49(1): 83-88. DOI:10.7538/yzk.2015.49.01.0083 |
| [10] |
石兴伟, 雷蕾, 兰兵, 等. PCS表面液膜覆盖率对安全壳完整性影响分析[J]. 核技术, 2017, 40(1): 010602. SHI Xingwei, LEI Lei, LAN Bing, et al. The influence analysis of PCS surface liquid film coverage on the containment integrity[J]. Nuclear Techniques, 2017, 40(1): 010602. DOI:10.11889/j.0253-3219.2017.hjs.40.010602 |
| [11] |
Zuber N, Wilson G E, Ishii M, et al. An integrated structure and scaling methodology for severe accident technical issue resolution:development of methodology[J]. Nuclear Engineering and Design, 1998, 186: 1-21. DOI:10.1016/S0029-5493(98)00215-5 |

