文章快速检索    
  核技术  2017, Vol. 40 Issue (5): 050603   DOI: 10.11889/j.0253-3219.2017.hjs.40.050603
0

引用本文 [复制中英文]

杨磊, 姜维维, 郝亚雷. 小型压水堆严重事故下一回路承压管道蠕变预测分析模型开发[J]. 核技术, 2017, 40(5): 050603. DOI: 10.11889/j.0253-3219.2017.hjs.40.050603. [复制中文]
YANG Lei, JIANG Weiwei, HAO Yalei. Creep analysis model of small PWR plant RCS pipelines under severe accident condition[J]. Nuclear Techniques, 2017, 40(5): 050603. DOI: 10.11889/j.0253-3219.2017.hjs.40.050603.
[复制英文]

第一作者

杨磊, 男, 1987年出生, 2014年于海军工程大学获博士学位, 研究领域为舰船核反应堆安全分析

文章历史

收稿日期: 2016-12-21
修回日期: 2017-02-27
小型压水堆严重事故下一回路承压管道蠕变预测分析模型开发
杨磊1, 姜维维2, 郝亚雷1     
1. 中国人民解放军92609部队 北京 100077;
2. 中国兵器工业集团第53研究所 济南 250000
摘要: 一回路承压管道蠕变是压水堆核电厂严重事故重要现象之一。针对小型压水堆,本文基于SCDAP/RELAP5程序开发了严重事故分析模型,利用实验拟合方法得到了一回路主管道(SA321)、自然循环式蒸汽发生器传热管(00Cr25Ni35AlTi)两种材料蠕变预测分析模型,改进了SCDAP/RELAP5程序蠕变预测分析功能模块,并通过假想事故序列验证了SA321、00Cr25Ni35AlTi蠕变预测分析模型的合理性。为后续开展小型压水堆严重事故下一回路承压管道蠕变规律研究提供基础参考。
关键词: 压水堆    严重事故    蠕变预测    SCDAP/RELAP5程序    
Creep analysis model of small PWR plant RCS pipelines under severe accident condition
YANG Lei1 , JIANG Weiwei2 , HAO Yalei1     
1. 92609 Department of People's Liberation Army of China, Beijing 100077, China;
2. China North Industries Group Institute of 53, Jinan 250000, China
Received date: 2016-12-21; accepted date: 2017-02-27
First author: YANG Lei, male, born in1987, graduated from Naval University of Engineering with a doctoral degree in 2014, focusing on safety analysis of ship reactor
Abstract: Backgroud: The reactor coolant system (RCS) pipelines creep is an important phenomenon during severe accident analysis of pressurized water reactor (PWR) plants. Purpose: This study aims to develop a severe accident analysis model focus on the RCS pipeline creep analysis for small PWR plant. Method: The severe accident analysis model is developed by using the SCDAP/RELAP5 code, the creep prediction formulas of RCS main coolant pipeline (SA321) and natural circulation steam generator tubes (00Cr25Ni35AlTi) materials are fitted by the experiment data, and the corresponding functions are added to the creep prediction subroutines of the SCDAP/RELAP5 code, which are finally verified by a simulation of supposed severe accident by SCDAP/RELAP5 code. Results: The upgraded SCDAP/RELAP5 code is finally available for the RCS pipelines creep analysis of the small PWR under severe accident condition. Conclusion: This provides a basic reference for the next quantify creep character analysis of the small PWR during the severe accident processes.
Key Words: PWR    Severe accident    Creep prediction    SCDAP/RELAP5 code    

金属在持续应力作用下会发生缓慢的塑性变形,这种现象被称为蠕变。金属温度越高,所承受应力越大,蠕变引起的塑性变形越明显,最终蠕变破损/断裂。对于奥氏体不锈钢等熔点较高的金属材料,只有温度达到其蠕变温度(约0.3×Tm,其中Tm为熔化温度,K)才能出现显著蠕变。通常碳素钢的蠕变温度在300-350 ℃,合金钢蠕变温度在400-450 ℃。反应堆严重事故期间,堆芯过热蒸汽在压差作用下沿一回路管道向外排放,蒸汽排放时会经对流换热与辐射换热加热沿途管道,极易突破金属材料的蠕变温度,甚至出现非预期的管道蠕变破裂。一方面可减小高压熔堆风险,减轻事故后果;一方面改变事故发展预期,增大核事故应急处置难度。本文将基于SCDAP/RELAP5程序,建立小型压水堆一回路承压管道蠕变分析模型,为后续开展典型严重事故下一回路承压管道蠕变规律研究提供基础。

1 基于SCDAP/RELAP5程序的小型压水堆严重事故分析模型

SCDAP/RELAP5程序是由美国NRC (Nuclear Regulatory Commission) 发起,由美国INEEL (Idaho National Engineering and Environmental Laboratory) 开发的机理性严重事故最佳估算分析程序,主要由RELAP5、SCDAP、COUPLE、MATPRO等模块构成[1]。程序主体是融合了SCDAP堆芯损坏模型和COUPLE下腔室模型的RELAP5程序,能模拟包含严重事故下堆芯的损伤进程及压力容器下封头内熔池行为等。根据小型压水堆分散式布置和双环路结构设计特点,对其一、二回路进行了控制体划分,如图 1所示,建立了基于SCDAP/RELAP5程序的严重事故分析模型。

图 1 控制体模型 Figure 1 Control volume scheme.

通过额定工况下一、二回路设计参数对比,实现了对本分析模型稳态运行仿真分析能力和精度的验证,如表 1所示。

表 1 SCDAP/RELAP5模型稳态运行计算精度校验 Table 1 Steady state computational accuracy verification of SCDAP/RELAP5 model.

根据核电厂严重事故研究成果[2-4],靠近压力容器的一回路主管道、稳压器波动管、蒸汽发生器传热管、压力容器下封头等在严重事故进程中均可能发生蠕变或蠕变破裂,但其蠕变起始时间、蠕变速率、蠕变破裂时间不同。因此,要整体分析一回路承压边界的蠕变失效,还需基于SCDAP/RELAP5程序功能模块,建立一回路承压管道热构件蠕变预测模型和压力容器下封头蠕变预测模型。

热构件蠕变模型基于RELAP5热构件模型,在指定热构件材料、结构内外环境条件后,即可开展结构材料的蠕变分析,通过在源码中修改相关材料蠕变分析关系式,可以模拟任何结构材料的蠕变进程,具有极强的通用性。因此,共考虑反应堆压力容器进/出口管道,稳压器波动管、蒸汽发生器传热管共三类7个位置的热构件蠕变分析模型。为满足保守性要求,在建立一回路主管道蠕变失效热构件时,将管内边界设置为对流换热边界,管外表面设置为绝热边界。蠕变破损出现后,会在蠕变位置形成破口,进而导致一回路放射性物质向安全壳或蒸汽发生器二次侧释放。对于蠕变破口尺寸大小,它与核动力系统设计、管道工作条件、特定事故进程有关,没有一个通用的标准或参考依据。INEEL通过一系列蠕变失效破损实验发现,失效后纵向裂纹会向四周发散,形成0.25-1倍的管道流通面积破口[5],例如,美国Surry核电厂在其事故分析中将稳压器波动管的蠕变失效破口定义为管道流通面积的1/3,其计算结果与实验结果最为接近,本模型也将采用Surry核电厂的试验研究结论。

2 小型压水堆一回路承压管道材料蠕变预测分析模型

小型压水堆一回路主管道材料与SCDAP/RELAP5程序可开展蠕变预测分析的材料(SA508碳钢、SA316不锈钢、Inconel-600合金)不完全一致,如表 2所示。本节将开展SA321、00Cr25Ni35AlTi两种材料蠕变预测分析模型研究。

表 2 小型压水堆一回路承压边界材料与SCDAP材料库的差异 Table 2 Material difference between the small PWR and SCDAP/RELAP5 code.

绝大多数金属材料的蠕变过程基本类似,其恒温下典型的蠕变曲线如图 2所示[6]。可分减速蠕变阶段(如图 2ab段)、恒定最小蠕变速率阶段(如图 2中曲线bc段)、加速蠕变阶段(如图 2cd段),直至最终产生蠕变断裂。图 2d点对应的tr就是蠕变断裂时间,εr是总的蠕变应变量。

图 2 典型金属材料蠕变曲线 Figure 2 Creep curve of typical metal materials.

为了预测不同材料在复杂环境中的蠕变过程,需对图 2中的蠕变曲线进行分析预测。目前,金属材料蠕变特性参数的获取主要是基于蠕变-疲劳试验[7-8],基于参考文献[9]提供的实验数据,利用Larson-Miller Parameter (LMP) 法拟合得到SA321蠕变预测关系式如下,拟合关系式与试验值对比如图 3(a)所示。

${t_{{\rm{rp}}}} = {10^{\left[ {\frac{{{t_{{\rm{LMP}}}}}}{T} - 20} \right]}}$ (1)
${t_{{\rm{LMP}}}} = {27_{}}763.746 - {5_{}}293.833 \times \log \left( {6.895 \times \sigma } \right)$ (2)

式中:T为结构材料平均温度,K;σ为材料受到的拉应力,MPa;trp为蠕变破裂时间,h。可以看出,SA321蠕变预测关系式的与试验值基本吻合,对于10000 h短期蠕变破裂分析,拟合经验关系式在同样温度下的蠕变破裂应力小于试验值,满足计算保守性要求。

同理,基于文献[10]提供的实验数据,利用LMP法可得00Cr25Ni35AlTi材料蠕变预测关系式如下,拟合关系式与试验值对比如图 3(b)所示。

${t_{{\rm{rp}}}} = {10^{\left[ {\frac{{{t_{{\rm{LMP}}}}}}{T} - 15.5} \right]}}$ (3)
${t_{{\rm{LMP}}}} = {29_{}}086.266 - {9_{}}000.850 \times \log \left( {6.895 \times \sigma } \right)$ (4)
图 3 小型压水堆特定材料拟合蠕变预测关系式与试验值的比较 (a) SA321,(b) 00Cr25Ni35AlTi Figure 3 Comparation between experiment curve and fitted relation curve of the small PWR. (a) SA321, (b) 00Cr25Ni35AlTi

可以看出,在三个试验温度下,拟合得到的蠕变预测关系式与试验数据基本吻合,且有一定的保守裕度,温度越低,保守裕度越大,满足计算保守性要求。

为便于对比验证,本文也基于文献[10]提供的实验数据,拟合得到了SA304不锈钢的蠕变预测关系式。

3 SCDAP/RELAP5蠕变模型改进分析

SCDAP/RELAP5程序中的蠕变预测模型包括Larson-Miller和Manson-Haferd,计算时模型的调用取决于结构的材料和应力,如表 3所示。

表 3 SCDAP/RELAP5程序不同材料所采用的蠕变失效模型 Table 3 Creep rupture model of different material.

程序计算时,结构的蠕变状态由式 (5) 计算。如果Dc=0,表示结构未出现任何蠕变损伤;如果Dc=1,表示结构出现了蠕变破坏。

${D_{\rm{c}}}\left( {t + \Delta t} \right) = {D_{\rm{c}}}\left( t \right) + \frac{{\Delta t}}{{{t_{\rm{r}}}\left( t \right)}}$ (5)

式中:Dc(t) 为t时刻的蠕变状态;Δtt时刻时间步长,s;tr(t) 为当前温度应力下结构出现蠕变失效所需要的时间,s。SCDAP/RELAP5程序有rrupt、irupt、trupt、caltav、ruptur共5个子程序参与了蠕变分析,它们之间的调用关系及执行流程见图 4

图 4 SCDAP/RELAP5程序蠕变分析相关子程序调用关系 Figure 4 Creep calculation subroutine relations in SCDAP/RELAP5 code.

rrupt子程序从输入卡中读取COUPLE网格、热构件的材料、换热边界、内外压差数据。irupt子程序对rrupt读取的数据进行检查,打印错误信息,初始化相关全局变量。caltav子程序功能是计算COUPLE网格、热构件节点平均温度。trupt子程序调用caltav后,同时计算COUPLE网格、热构件材料蠕变分析所需的输入变量,最后调用ruptur子程序计算、更新结构材料的蠕变状态。ruptur子程序根据trupt子程序调用输入参数,确定正在计算的材料类型、材料应力、材料温度,调用相关蠕变破裂温度、应力函数,计算材料的蠕变状态变化。

因此,SCDAP/RELAP5程序的改进将围绕ruptur子程序进行,重点增加SA321不锈钢、00Cr25Ni35AlTi材料蠕变分析能力。改进后的SCDAP/RELAP5程序可开展SA508、Inconel-600、SA304、SA316、SA321、00Cr25Ni35AlTi共6种材料的蠕变预测分析能力。

4 小型压水堆一回路承压管道蠕变预测模型验证计算

同一严重事故进程,不同一回路承压管道材料的蠕变进程不同,本节将利用基于SCDAP/RELAP5改进程序开发的小型压水堆严重事故分析模型,定量评价SA304、SA316、SA321的耐蠕变性能,验证所建蠕变预测模型的合理性。

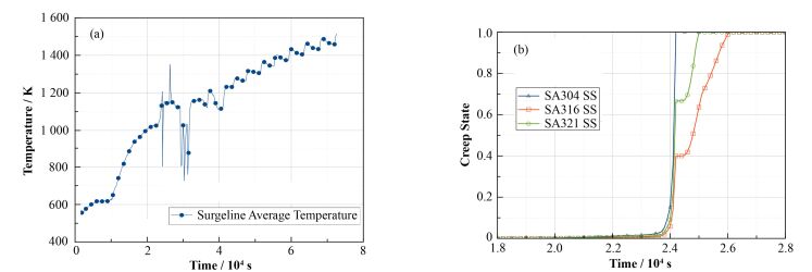
选择管道蠕变现象较为明显的全厂断电事故诱发的高压严重事故进程进行对比,暂不考虑管道蠕变破裂带来的一回路泄压效应,暂不考虑波动管内过热蒸汽与管壁材料间的辐射换热。表 4为几种材料的稳压器波动管蠕变进程对比,图 5(a)为波动管管壁平均温度变化,图 5(b)为三种不锈钢蠕变进程对比。

表 4 高压严重事故后几种材料的波动管蠕变进程对比 Table 4 Creep process comparison between different stainless steels during the severe accident induced by high-pressure severe accident.
图 5 严重事故下波动管蠕变进程 (a) 波动管管壁平均温度,(b) 三种材料波动管蠕变进程 Figure 5 Creep process of surgeline during severe accident induced by SBO. (a) Volume average temperature of surgeline, (b) Creep processes of surgelines with three different materials

表 4图 5可以看出:

1) 不同材料的波动管出现明显蠕变 (≥0.1) 的时间基本接近,耐蠕变性能SA316 > SA321 > SA304,因此以SA316蠕变预测关系式分析SA321的蠕变进程得到的结论是不满足保守性要求的;

2) 从材料学角度来看,SA321与SA304同属Ni-Cr-Mo型奥氏体不锈钢,力学性能非常相似,但由于SA321加入了金属钛,其耐晶间腐蚀性、高温强度、高温应力破断性能、高温抗蠕变性能均优于SA304,这也与分析模型计算结果保持一致,从侧面证实了所建立蠕变预测模型的合理性;

3) 从事故缓解的角度来看,小型压水堆严重事故下,一回路承压管道的加速蠕变阶段(即从出现明显蠕变到蠕变破裂)的时间较短,如不能在蠕变开始前对堆芯和一回路管道降温,极可能出现管道蠕变破裂。

5 结语

为建立小型压水堆一回路承压边界蠕变分析模型,本文开展了以下工作:1) 基于SCDAP/RELAP5程序开发了小型压水堆一、二回路严重事故分析模型,具备了开展严重事故仿真分析的能力;2) 基于实验拟合方法研究建立小型压水堆一回路SA321、00Cr25Ni35AlTi两种承压管道材料蠕变预测分析模型;3) 基于SCDAP/RELAP5程序代码结构改进了蠕变分析功能模块,使其具备开展6种材料的蠕变预测分析能力;4) 通过设计假想事故序列,开展了小型压水堆一回路承压管道蠕变预测模型验证计算,侧面验证了所建SA321、00Cr25Ni35AlTi蠕变预测分析模型的合理性。基于本文工作,后续将进一步开展典型严重事故序列下一回路承压边界蠕变现象分析。

参考文献
[1] The SCDAP/RELAP5 Development Team. SCDAP/RELAP5/MOD3.2 code manual Vol.Ⅱ:damage progression model theory[R]. Idaho:INEEL, 1997.
[2] Marc Kenton. A review of recent NRC-sponsored station blackout analyses[R]. Idaho, 2007.
[3] Argonnel National Laboratory. Behavior of PWR reactor coolant system components, other than steam generator tubes, under severe accident conditions-Phase Ⅰ final report[R]. NUREG/CR-6792, Cass Avenue Argonne, 2003.
[4] 陈宝文, 毛欢, 孔翔程, 等. 全厂断电引发的严重事故下蒸汽发生器传热管蠕变失效风险研究[J]. 原子能科学技术, 2014, 48(6): 1026–1030.
CHEN Baowen, MAO Huan, KONG Xiangcheng, et al. Risk analysis for steam generator tube creep rupture under severe accident induced by station blackout[J]. Atomic Energy Science and Technology, 2014, 48(6): 1026–1030. DOI: 10.7538/yzk.2014.48.06.1026
[5] The SCDAP/RELAP5 Development Team. SCDAP/RELAP5/MOD3.2 code manual Vol.V:developmental assessment[R]. Idaho:INEEL, 1997.
[6] Seruga D, Fajdiga M, Nagode M. Creep damage calculation for thermo mechanical fatigue[J]. Journal of Mechanical Engineering, 2011, 57(5): 371–378. DOI: 10.5545/sv-jme
[7] 陈云翔, 杨柯, 单以银. 超超临界火电机组用铁素体耐热钢持久性能的预测方法[J]. 广东电力, 2015, 25(4): 5–8.
CHEN Yunxiang, YANG Ke, SHAN Yiyin. Forecast method for creep-rupture property of ferritic heat resistant steel used for ultra super-critical thermal power generating unit[J]. Guangdong Electric Power, 2015, 25(4): 5–8.
[8] Aggen G, Akstens F W, Allen C M, et al. ASM handbook Vol.11:failure analysis and prevention[M]. USA: The Materials Information Company, 2015: 1530-1553.
[9] Sandmeyer Steel Company. 321 & 347 (UNS S32100) & (UNS S34700)[EB/OL]. 2016. www.sandmeyersteel.com.
[10] Sandmeyer Steel Company. 304 Chromium-nickel[EB/OL]. 2016. www.sandmeyersteel.com.
[11] 谭晓惠, 马建中, 刘宇杰, 等. 316不锈钢蠕变-疲劳试验及规范研究[J]. 核技术, 2013, 36(4): 040642.
TAN Xiaohui, MA Jianzhong, LIU Yujie, et al. Experimental investigation and ASME code study of creep-fatigue interaction correlation for 316 stainless steel[J]. Nuclear Techniques, 2013, 36(4): 040642. DOI: 10.11889/j.0253-3219.2013.hjs.36.040642