2. 武汉科岛地理信息工程有限责任公司, 武汉 430081
3. 中国科学院测量与地球物理研究所大地测量与地球动力学国家重点实验室, 武汉 430077
2. Wuhan Kedao Geographical Information Engineering Co.Ltd, Wuhan 430081, China
3. State Key Laboratory of Geodesy and Earth's Dynamics, Institute of Geodesy and Geophysics, Chinese Academy of Sciences, Wuhan 430077, China
欧亚板块在全球板块构造中占有十分重要的地位,是几个次大陆和陆块的汇聚中心.在地学研究中,西太平洋俯冲带和喜马拉雅碰撞带是作为全球构造体系中的两个构造活动典型区域来认识的.分别代表着陆-陆间和洋-陆间的板块边界,沿着这两个边界有着十分强烈的构造运动和地震活动(冯锐等,2007).欧亚板块的许多构造特征与西太平洋俯冲带和印度-欧亚板块碰撞带的作用有关.欧亚板块东缘可以认为是一个自由边界,允许地壳沿走滑断层向东运动(滕吉文等,2002).新生代欧亚板块的东部边缘地区都发生了拉张作用,许多拉张盆地被认为是太平洋俯冲带和印度-欧亚板块碰撞带的作用形成的拉张盆地.
大陆板块运动、构造活动与地幔对流和重力均衡调整密切相关.岩石圈板块位于塑性软流圈之上,在重力均衡和地幔对流的作用下,在地球表面发生大规模垂向运动和水平转动(Runcorn,1967).板块之间的相互作用导致了火山、地震和构造运动.通过均衡重力大地水准面的研究能够认识地球内部结构及其动力学过程.均衡重力异常是由观测重力值经空间改正、中间层改正和地形改正、均衡改正之后得到的一种重力异常.反映了地壳以及上地幔物质分布的平衡状态, 常常用来研究地壳内部的密度分布、地质构造及运动和动力学状态.均衡重力异常作为研究海底地形、地壳结构、构造及地震活动的重要手段,已被科学家广泛应用(Braitenberg et al,2003;方剑等,2006).均衡大地水准面反映的地球深部的物质密度不均匀和动力学特征.而地幔物质密度、热状态的不均匀导致地幔流动,地幔对流及其多尺度性受到极大的关注(Runcorn,1967;黄培华和傅容珊,1983;熊熊等,2003).本文通过采用岩石圈挠曲模型计算的均衡大地水准面异常来研究欧亚板块的地幔多尺度对流并探讨深部动力学特征.
1 均衡大地水准面计算大地水准面起伏、地形h和地球内部物质质量Δm均可展开为球谐级数表达形式.在弹性挠曲模型中考虑到岩石圈的弹性刚度和有效弹性厚度,地形—均衡补偿大地水准面的表达式为
|
(1) |
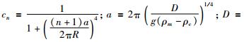
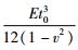
式中,

从大地水准面异常中扣除地形—均衡补偿影响可以得到均衡大地水准面异常(图 1),显示了整个欧亚板块均衡大地水准面主要分为西部低异常区和东部高异常区两大部分.
|
图 1 欧亚板块均衡大地水准面异常图(单位:m) Figure 1 Isotatic geoid anomaly of Eurasia plate |
大地水准面异常中包含了整个地球内部各种波长的质量分布不均匀信息.短波重力大地水准异常主要反映的是地形和地壳内质量不均匀的影响;中等波长重力大地水准面异常主要是浅部长波地形、莫霍面起伏、上地幔物质不均匀的影响;而长波大地水准面异常主要是深部下地幔物质不均匀以及核幔边界起伏的影响(张赤军,2003;方剑等,2006).布格改正对于消除局部地形影响是十分有效的,对于中长波地形影响却不能消除.布格重力异常在研究地壳结构、构造和莫霍面形态方面的研究取得了较好的结果.但对于更深层的物质不均匀研究,布格重力异常受到制约,重力方法很少涉足.而均衡重力异常不仅消除了短波地形的影响,同时也消除了中长波地形影响,反映的是地壳内短波、上地幔中波和下地幔长波物质不均匀的效应.对均衡重力异常采用滤波方法就可以有效分离不同埋深场源的重力效应,对于上地幔物质不均匀研究有着极大的作用.特别是均衡大地水准面异常,较之重力异常更能突出深部物质的效应.因此,利用不同波段的均衡大地水准面异常可以有效的研究岩石圈上地幔结构和动力学状态.
均衡重力异常主要反映了地壳岩石圈范围内的浅部物质不均匀分布特征;而均衡大地水准面异常主要反映了核幔边界起伏、上下地幔以及岩石圈下部的深部物质不均匀分布特征.上述特性就决定了均衡重力异常和大地水准面异常的研究对象有所不同.均衡大地水准面异常滤波可以定性区分地球内部不同深度场源,由此能够针对不同目标开展研究.许多研究结果表明2~6阶大地水准面异常是由下地幔和核幔边界产生的(Bowin, 1983;Woodhouse and Dziewonski, 1984;方剑和许厚泽, 2002),对于上地幔的大地水准面异常取7~50阶(方剑和许厚泽, 2002).
3 地幔对流应力场比较均衡大地水准面异常与大地水准面异常可以看出, 对应于地壳和上地幔之间流体静力学平衡状态的地形均衡效应起着一种缓和地幔动力不平衡的作用.因为经过地形均衡改正后的大地水准面体现了更大的重力位势的不平衡.均衡大地水准面异常更大的起伏幅度, 确切地说明地幔密度异常在整个地球结构异常中占据主导作用.那么, 对这种全球性密度结构异常作为动力源, 自然与地幔动力不平衡联系起来,并通过地幔对流方式对地球表层岩石圈的构造进行改造.
Runcorn建立了联系全球大地水准面异常与全地幔热对流的基本模型, 给出了地幔对流作用在岩石圈底部的应力方程(Runcorn,1967),引入了地幔流位场T的概念.地幔流位场的水平梯度就相当于地幔流应力,其高、低值中心分别对应于地幔物质能量的汇聚、发散中心.地幔对流的位场球谐系数表达式为
|
(2) |
式中,G为引力常数;M为地球质量;R为地球半径;r为计算点的半径;Cnm、Snm分别是地球重力场扰动位球谐系数.计算地幔对流应力场的方法类似于地球重力场扰动位球谐系数计算大地水准面和垂线偏差方法.分别计算出北向和东向垂线偏差分量,再乘正常重力g, 即可得到北向和东向的地幔对流应力值.利用(2) 式,本文计算给出了研究区的大、中尺度地幔流应力场(图 2: n = 2~6;图 3: n = 7~50),并分析地幔流应力场在研究区的构造动力中的作用.
|
图 2 欧亚板块大尺度地幔对流应力场(单位:MP)长度表示应力大小、箭头表示对流方向. Figure 2 Large scale mantle convection stress field of Eurasia plate |
|
图 3 欧亚板块中尺度地幔对流应力场(单位:MP)长度表示应力大小、箭头表示对流方向. Figure 3 Medium scale mantle convection stress field of Eurasia plate |
欧亚板块大尺度地幔对流应力场(图 2)显示,应力场以印度板块为扩张中心、菲律宾板块南端为收敛中心.欧亚板块西部地区地幔应力方向以向东和向北为主,带动印度板块向北东方向挤压欧亚板块;中部地区为东向应力;而东南海域应力场的方向为南向和西南向.总体趋势与现今地壳运动形态(王琪等,2001)及构造活动状态(许忠淮等,2000)相近.欧亚板块中尺度地幔对流应力场(图 3)略微复杂,在伊朗-土耳其-青藏高原、日本海、西伯利亚一带表现为挤压状态;天山-贝加尔一带、四川盆地、华南块体显示为拉张状态.这些特征与欧亚板块地壳运动结果相吻合.地幔地震波速度异常与地幔温度有着较好的一致性,通常低速区的地幔温度较高,高速区域地幔温度低.对比欧亚板块中尺度地幔对流应力场(图 3)和上地幔地震波速度异常(图 4)可见,地幔对流发散区域与上地幔速度低值区相对应,而地幔对流汇聚区域与上地幔速度高值区相对应.意味着热能驱动地幔物质向温度低的区域运动,西太平洋俯冲带和喜马拉雅碰撞带的形成机制正是地幔对流产生的结果.
|
图 4 欧亚板块上地幔S波速度(Simmons et al., 2010) Figure 4 Upper mantle S wave speed of Eurasia plate (Simmons et al., 2010) |
在均衡补偿机制中莫霍面弯曲起到了主要补偿作用,使整个区域的均衡重力异常幅度明显下降.大陆和海洋的大部分地区基本处于均衡稳定状态,物质的流变性能够让地幔的补偿过程在较短的时间内完成.对于全球的大地构造变形,均衡调整时间通常需要数千年.地形起伏与均衡补偿界面存在着明显的镜像关系(方剑等,2006;冯锐等,2007),意味着欧亚大陆地壳结构形态已经基本稳定.古老构造会在莫霍面以下的更深处被高温的流变介质改造、熔蚀和消灭(Woodhouse and Dziewonski, 1984;Yegorova and Starostenko, 2002).欧亚大陆是由许多古陆块逐渐拼合而成,块体之间相对松软的接触带起着解耦的作用,使大块体容易被均衡调整补偿.全球地震层析成像的结果(Simmons et al., 2010)显示碰撞带、俯冲带等区域下方的地震波速度明显异常,表明这些区域的地壳处于失衡状态.均衡重力异常在块体边界和高原处十分显著,如在青藏、伊朗、土耳其等高原的四周、天山-贝加尔构造带、西太平洋俯冲带处、印度次大陆和阿拉伯板块的周边都有高幅值的均衡重力异常存在,显示出非均衡状态.而板块的边界处深部强大的应力可达到几MPa的量级,使得均衡调整难以完成导致均衡重力异常幅度偏大,引起地壳上部的缓慢变形或强烈地震(Zhang et al., 2003).青藏、伊朗、土耳其三大高原都处于正均衡重力异常状态下,地壳内的过剩的物质需要地壳沉降来达到平衡,但大地测量实测结果显示三大高原都处于隆升过程中.产生这一现象的原因正是强大的应力作用的结果.地幔中尺度对流显示在这些区域都是汇聚区,意味着地幔物质向这些区域汇聚高原上升导致.
4 结论 4.1特提斯地质及其构造演化是一种复杂的物质运动过程.因为均衡异常是地球内部密度不均匀的反映,现今的地壳运动过程体现在均衡重力异常上.不论是重力分异还是热驱动都会引起地球内部物质流动或构造活动.正是由于均衡异常能够为研究现代构造提供重要的约束信息,人们可以利用均衡异常研究地球内部的结构和地壳的运动及地震活动和地球内部的应力分布(Zhang et al., 2003).从物理机制上看,地幔对流汇聚处的板块相互碰撞(图 3, 4),当某一板块以低倾角逆冲所产生的负载、弯力矩使该侧向下挠曲,另一侧的板块则向上的挠曲.同时两个板块的相互作用又会引起的热对流使得山脉向上隆起.由于西伯利亚板块的阻挡作用,使喜马拉雅、天山山脉、兴都库什的垂直应力在向相反方向增大,引起高原和山脉隆升.
4.2欧亚板块构造应力场的状态明显受到周边板块的动力学作用的影响.组成欧亚大陆岩石圈的介质呈现出分块特征,具有很强的非牛顿流变特性和非均匀性.现代构造主压应力方向分布特征以及位能特征与本文计算的水平应力场方向有着较好的一致性.印度板块的碰撞是影响欧亚板块现代构造应力场基本格局的主要因素,印度板块高速向北与欧亚大陆发生碰撞(王琪等,2001), 青藏高原南部地区受巨大的挤压应力作用使其快速隆起,并在其上部形成横向的拉张(许忠淮等,2000).青藏、伊朗等高原的巨大高程及巨厚地壳蕴藏着极大的重力位能.而这种重力位能作为体力将造成大陆岩石圈的运动及变形, 形变量与密度变化及地壳厚度等因素密切相关.造成欧亚大陆现今地壳运动及形变的主要动力来源为印度—欧亚板块碰撞及中国西部地区特别是青藏高原的巨大重力位能.印度—欧亚板块碰撞较之重力位能变化的作用更为突出.本文计算结果结合构造分布及形变分析表明:青藏高原及其边缘地带, 在南侧受印度板块挤压, 北部受到塔里木—天山块体的阻挡, 使地壳物质向东及东南移动形成了该地区以剪切应力作用为主的构造环境, 产生了一系列断裂带,如阿尔金断裂带、东昆仑断裂带、鲜水河断裂带等巨型走滑断裂带.印度板块的碰撞作用还影响到我国东部地区, 表现为受印度板块推挤、青藏高原重力位能和太平洋板块俯冲的联合作用, 形成华北地区以张剪应力作用为主要特征的构造环境(叶正仁和王建,2004).我国东北地区主要受太平洋板块的俯冲作用, 以弱压剪应力作用为主.造成欧亚大陆及邻区现今地壳运动及形变的主要动力来源为印度板块与欧亚板块碰撞及青藏高原的巨大重力位能.
4.3地幔物质具有一定的黏滞性,上述作用所产生的合力及能量可能有部分被地幔吸收,其余部分在重力异常的信息中能够得到反映,并能显示出这类构造物理的作用.因此由重力异常计算地幔对流应力场在理论上是可行的,对该区构造运动及板块碰撞、高原隆升、地震活动的解释也是合理的.但是地球内部存在多种不同的物质界面,物质的密度也有所差异,仅用一简单的均衡模型可能与客观实际有差别.上述的研究结果是在理想的情况取得的,而由于重力异常受到地球内部密度分布、内部界面的起伏、热状态、黏滞度、地幔物质流动方式等众多因素影响.只有将重力学与地质学和地球动力学等学科的进一步相结合研究才能有助于这些问题的解决.因此如何针对不同的地质构造背景采用不同的均衡模型和动力模式,以及高原内部各层圈之间的关系和作用等问题有待于更深入的研究.
致谢 感谢审稿专家提出的修改意见和编辑部的大力支持!| [] | Bowin C. 1983. Depth of principal mass anomalies contributing to the earth's geoidal undulations and gravity anomalies[J]. Marine Geodesy, 7(1-4): 61–100. DOI:10.1080/15210608309379476 |
| [] | Braitenberg C, Wang Y, Fang J, et al. 2003. Spatial variations of flexure parameters over the Tibet-Quinghai plateau[J]. Earth and Planetary Science Letters, 205(3-4): 211–224. DOI:10.1016/S0012-821X(02)01042-7 |
| [] | FANG Jian, MA Zong-jin, XU Hou-ze. 2006. Frequency analyze of topography-isostasy compensative gravity and geoid anomaly[J]. Progress in Geophysics (in Chinese), 21(1): 25–30. DOI:10.3969/j.issn.1004-2903.2006.01.005 |
| [] | FANG Jian, XU Hou-Ze. 2002. A study of the depth of geoid anomaly sources in china and its adjacent regions[J]. Chinese J. Geophys. (in Chinese), 45(1): 42–48. DOI:10.3321/j.issn:0001-5733.2002.01.006 |
| [] | FENG Rui, MA Zong-Jin, FANG Jian, et al. 2007. A developing plate boundary: Tianshan-baykal active tectonic belt[J]. Earth Science Frontiers (in Chinese), 14(4): 1–17. DOI:10.1016/S1872-5791(07)60027-X |
| [] | HUANG Pei-Hua, FU Rong-Shan. 1983. Mantle convection pattern under lithosphere of China[J]. Chinese J. Geophys. (in Chinese), 26(1): 39–47. |
| [] | Runcorn S K. 1967. Flow in the mantle inferred from the low degree harmonics of the geopotential[J]. Geophys. J. Int., 14(1-4): 375–384. |
| [] | Simmons N A, Forte A M, Boschi L, et al. 2010. GyPSuM: A joint tomographic model of mantle density and seismic wave speeds[J]. J. Geophys. Res., 115(B12): B12310. DOI:10.1029/2010JB007631 |
| [] | TENG Ji-Wen, ZENG Rong-Sheng, YAN Ya-Fen, et al. 2003. Depth distribution of Moho and tectonic framework in eastern Asian continent and its adjacent ocean areas[J]. Science in China Series D: Earth Sciences, 46(5): 428–466. DOI:10.1360/03yd9038 |
| [] | WANG Qi, ZHANG Pei-Zhen, NIU Zhi-Jun, et al. 2002. Present-day crustal movement and tectonic deformation in China continent[J]. Science China Earth Sciences, 45(10): 865–874. DOI:10.1360/02yd9085 |
| [] | Woodhouse J H, Dziewonski A M. 1984. Mapping the upper mantle: Three-dimensional modeling of earth structure by inversion of seismic waveforms[J]. J. Geophys. Res., 89(B7): 5953–5986. DOI:10.1029/JB089iB07p05953 |
| [] | XIONG Xiong, XU Hou-Ze, TENG Ji-Wen, et al. 2003. Mantle convection generated stress field beneath Tibetan plateau and its adjacent areas and its geodynamic implication[J]. Geomatics and Information Science of Wuhan University (in Chinese), 28(6): 692–696. |
| [] | XU Zhong-Huai, WANG Su-Yun, GAO A-Jia. 2000. Present-day tectonic movement in the nor-theastern margin of the Qinghai-Xizang (Tibetan) plateau as revealed by earthquake activity[J]. Acta Seismologica Sinica (in Chinese), 22(5): 472–481. |
| [] | YE Zheng-Ren, WANG Jian. 2004. Dynamics of present-day crustal movement in the China mainland[J]. Chinese J. Geophys. (in Chinese), 47(3): 456–461. DOI:10.3321/j.issn:0001-5733.2004.03.014 |
| [] | Yegorova T P, Starostenko V I. 2002. Lithosphere structure of Europe and Northern Atlantic from regional three-dimensional gravity modelling[J]. Geophys. J. Int., 151(1): 11–31. DOI:10.1046/j.1365-246X.2002.01728.x |
| [] | ZHANG Chi-Jun. 2003. The gravity responce in crust on different wavelenth topography[J]. Progress in Geophysics (in Chinese), 18(2): 342–347. DOI:10.3969/j.issn.1004-2903.2003.02.027 |
| [] | ZHANG Chi-Jun, FANG Jian, MA Zong-Jin. 2003. Preliminary study on isostatic anomaly and recent tectonic stress field[J]. Acta Seismologica Sinica, 16(1): 33–41. |
| [] | 方剑, 马宗晋, 许厚泽. 2006. 地形—均衡补偿重力、大地水准面异常频谱分析[J].地球物理学进展, 21(1): 25–30. DOI:10.3969/j.issn.1004-2903.2006.01.005 |
| [] | 方剑, 许厚泽. 2002. 中国及邻区大地水准面异常的场源深度探讨[J].地球物理学报, 45(1): 42–48. DOI:10.3321/j.issn:0001-5733.2002.01.006 |
| [] | 冯锐, 马宗晋, 方剑, 等. 2007. 发展中的板块边界:天山-贝加尔活动构造带[J].地学前缘, 14(4): 1–17. |
| [] | 黄培华, 傅容珊. 1983. 中国岩石层底面地幔对流状态的探讨[J].地球物理学报, 26(1): 39–47. |
| [] | 滕吉文, 曾融生, 闫雅芬, 等. 2002. 东亚大陆及周边海域Moho界面深度分布和基本构造格局[J].中国科学(D辑), 32(2): 89–100. |
| [] | 王琪, 张培震, 牛之俊, 等. 2001. 中国大陆现今地壳运动和构造变形[J].中国科学(D辑), 31(7): 529–536. |
| [] | 熊熊, 许厚泽, 滕吉文, 等. 2003. 青藏高原及邻区地幔对流应力场及地球动力学含义[J].武汉大学学报信息科学版, 28(6): 692–696. |
| [] | 许忠淮, 汪素云, 高阿甲. 2000. 地震活动反映的青藏高原东北地区现代构造运动特征[J].地震学报, 22(5): 472–481. |
| [] | 叶正仁, 王建. 2004. 中国大陆现今地壳运动的动力学机制[J].地球物理学报, 47(3): 456–461. DOI:10.3321/j.issn:0001-5733.2004.03.014 |
| [] | 张赤军. 2003. 地壳对不同波长地形在重力场中的响应[J].地球物理学进展, 18(2): 342–347. DOI:10.3969/j.issn.1004-2903.2003.02.027 |
2017, Vol. 32
