2. 大庆油田有限责任公司勘探开发研究院, 大庆 163712
2. Exploration and Development Research Institute of Daqing Oilfield Co. Ltd., Daqing 163712, China
地震勘探是寻找油气资源的主要手段之一,随着油气勘探难度日趋提高,勘探目标日趋复杂.地震勘探向着低、深、难、隐的方向发展,主要表现为地下介质的地层倾角大、储层埋藏深、介质纵横向速度变化剧烈等.常规地震勘探以反射波为主,假定地下反射界面空间展布大于一个菲涅尔带,也就是说该方法对介质的横向分辨率是有很大限度的.
共反射面元 (Commom Reflection Surface,CRS) 叠加方法不依赖于宏观速度模型 (Hubral, 1983;Bergler et al., 2002),是一种特殊的零偏移距 (或共偏移距) 成像方法.反射面元叠加依据旁轴近似理论,在计算过程中,对于反射地震数据,除得到高精度的叠加数据外,还可以获得比较重要的波场属性参数,分别是出射到地表的零炮检距射线的出射角、出射到地表的Normal (N) 波和Normal Incidence Point (NIP) 波的波前曲率半径 (Jäger et al., 2001; 王华忠等, 2004).
具体来说,共反射面元 (CRS) 叠加方法利用菲涅尔原理,利用射线旁轴近似理论,将不同的共反射点道集校正到同一道集内,然后进行叠加 (谭未一等, 2007; 吴小羊等, 2008).CRS叠加的理论基础是射线理论,Schleicher等基于傍轴射线理论,借助射线传播矩阵,导出了三维非均匀层状介质内两点之间的射线以及该射线邻域之间的走时计算关系式 (张晶玉和刘洋, 2011).
复杂地表地区地震数据采集难度大,原始地震记录信噪比低,从而导致分辨率低,在这种地质条件下,高质量的叠加技术尤为重要.当地层倾斜时,由于共反射点分散,常规的CMP叠加无法求出准确的叠加速度,用平界面动校正量进行校正,得到的校正量也不准确.在目的层埋深较深,地震波能量弱的情况下,CRS叠加可以提高横向分辨率,得到更精确的结果 (Hubral et al., 1999; Hertweck et al., 2007).特别是在山地地区、深层目标区和低信噪比资料的地区,CRS叠加提高地震资料的叠加和处理质量 (李美等, 2014).
1 基本原理由惠更斯原理可知,在已知波前面上的每一个点都可以视为独立的、新的子波源;每个子波源都向各方发出新的波 (子波),子波以所在处的波速传播;最近的下一时刻的这些子波的包络面或包络线便是该时刻的波前面.所以二次扰动相互干涉叠加的可以形成观测点的扰动 (干涉叠加分为相长和相消干涉),观测点上观测到的扰动是相长干涉的结果 (Schleicher et al., 1993; Baykulov and Gajewski, 2009).形成相长干涉二次扰动的源点所组成的面积即为菲涅尔带.如图 1所示.
|
图 1 菲涅尔带 (AA′) 示意图 Figure 1 Schematic diagram of Fresnel zone (AA′) |
实际资料应用AA′,该反射面可视为由点绕射源组成的连续体.对地表的重合激发和接收点 (S点),来自地下O点的能量在t0=2z0/v时刻到达接收点.如果入射波前再向深部传播λ/4.来自地下A点或A′点的能量在t1=2(z0+λ/4)/v时刻到达接收点.在以OA′为半径的圆盘内所有反射点的能量,在t0~t1之间某一时刻到达接收点.在t0~t1时间间隔 (T/2) 内,到达接收点的总能量相长干涉.所以AA′称为第一菲涅尔 (Hubral et al., 1993).落在带内的两反射点在地表难以分辨.
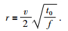
菲涅尔带的计算公式为
|
(1) |
由公式可知,地层埋藏越深,菲涅尔带越大,其横向分辨率也随之变差.但是菲涅尔半径较大时,可大幅提高地震数据的覆盖次数,进而可在整个菲涅尔带内,实现同相叠加,进而提高地震资料的信噪比和成像精度 (Pruessmann et al., 2004;2008).
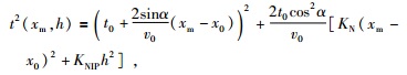
在实现共反射面元叠加时,需要计算同一面元内的地震波走时,其计算公式可表示为
|
(2) |
式 (2) 为旁轴射线走时的双曲型表达式.式中KNIP和KN分别表示Hubral (1983)引入的N波和NIP波的曲率半径,α表示零偏移距射线出射角,t0为零炮检距走时,v0为零偏移距处的速度,x0为零偏移距对应的坐标,xm为炮检之间的中点坐标,h为半偏移距.
依据 (2) 式,可将以x0为中心,在共反射面元 (菲涅尔带) 内,不同的CDP道集的每道时间t(xm, h) 校正到坐标x0上的时间t0,以实现菲涅尔带内不同道的同相叠加,增强地震资料的信噪比,为后续偏移处理提供基础数据.
2 应用实例共反射面元叠加处理技术是增强地震反射信号的有效方法,可应用于低信噪比地区和深层目标勘探地区 (Minato et al., 2012; 覃天等, 2014).前已述及,地震反射波的能量并不是一个反射点的反射能量,而是由整个菲涅尔带内所有反射能量组成的.针对深层地质目标的应用,依据菲涅尔原理,在菲涅尔带内优化最佳成像共反射面元,提高深层覆盖次数,然后利用射线旁轴近似理论,把不同共反射点的道集校正到同一个道集内进行叠加成像,即可增强深层反射信号能量和信噪比.
将研究形成的共反射面元叠加处理方法应用于大庆油田某火山岩气目标勘探区,火山岩目的层深度一般为3500~4200 m之间,由于压实等原因,火山岩孔隙度较小,地震识别难度大.加之地震波走时较长,由于上覆砂岩和泥岩地层的吸收衰减,使得地震资料在目的层的信噪比很低,更影响地震成像精度.为更好地进行构造解释和储层预测,应用研究的共反射面元方法进行地震资料处理和成像试验.该方法将不同CMP道集的资料校正到反射面元中心点的CMP道集上,在共反射面元内做剩余时差校正来改善能量聚焦能力,使道集内的反射波同相叠加,这样就可以实现不同CMP道集的叠加,较大地提高了叠加次数,增强有效信号的连续性.该区地震资料满覆盖面积约300 km2,地震资料的面元为25 m×25 m,覆盖次数为96次,应用共反射面元方法,在双程走时为2 s的目的层覆盖次数约500,这样通过叠加即可很大程度的增强地震资料的信噪比.
应用CRS方法进行处理的大致流程是,在常规的静校正、反褶积和噪声压制处理后,应用公式 (2) 进行共反射面元的射线追踪和走时计算,然后得到CRS道集,再对道集进行后续的叠加和偏移等处理.图 2为常规处理后的道集,进行射线追踪后得到的共反射面元道集,根据图 (1) 的示意,很容易理解该道集内的地震数据是存在相位差的,为达到更好的同相叠加效果,需要进行校正处理,对比图 2可知,校正后可以有效实现同一道集内地震信号的有效叠加.该方法对提高地震资料的信噪比和同相轴的连续性非常有效,尤其对于深层较弱的地震信号,能够较好地压制随机噪声,达到增强反射信号能量的目的,解决深层信噪比低的矛盾.
|
图 2 共反射面元内剩余时差校正前后道集 Figure 2 Comparison of common reflection surface gathers before and after correction of residual time difference |
偏移同样也是CRS方法处理中的关键步骤,在方法研究过程中,针对实际地震资料进行常规偏移和共反射面元偏移的试验和对比.图 3显示了面元增大前后的某一叠前时间偏移道集,可以看出,相比于传统的CMP道集的偏移成像,面元增大后的叠前时间偏移道集的信噪比高、同相轴的连续性好,道集的质量有了很大的提高,利于进行后续的AVO分析和叠前储层预测分析.
|
图 3 扩大面元前后叠前时间偏移道集 Figure 3 Gathers comparison acquired from traditional time migration and CRS gather-based time migration approach |
图 4为将CRS叠加方法应用于大庆油田深层火山岩天然气勘探目标区的一条主线地震资料成像效果图,由于该区以深层火山岩和致密砂砾岩为主要勘探目标,加之地震资料采集年度较早,炸药量小,导致深层地震波能量弱,信噪比低.图 4a为传统的CMP道集的叠前时间偏移成像,结果显示深层目标 (双程走时2.0 s左右) 成像不清晰,地震同相轴难以对比追踪,给构造解释和后续的储层预测都带来很大困难.图 4b给出的是CRS叠加成像的地震剖面,对比可知,深层目的层的信噪比和成像效果都有了很大的改进,该数据体可有效进行构造解释和后续的各种属性分析、储层展布特征预测.
|
图 4 CMP叠加成像剖面和CRS叠加成像剖面对比图 (a) 基于CMP道集的常规成像剖面; (b) CRS叠加成像剖面. Figure 4 Imaging result comparison between CDP stack and CRS stack approaches (a) Section of traditional CDP stack; (b) New section of CRS stack. |
共反射面元 (CRS) 叠加是一种独立于速度模型的叠加方法,基于菲涅尔带的概念,通过射线追踪可得到共反射面元的地震数据,进而经过相位校正、叠加和偏移后,将传统的CMP道集成像转化为高覆盖次数、高信噪比的地震数据成像,对提高地震资料的信噪比和分辨率都具有重要意义.在大庆油田的深层火山岩天然气勘探目标区,应用该方法进行成像研究,勘探实例应用效果表明,该方法实现了对菲涅尔带中有效信号的叠加,尤其是深部较弱的地震信号得到了增强和优化,为后续火山岩目标的地震解释和储层预测提供了数据基础,CRS叠加技术对复杂构造和深部构造的勘探有一定的实用价值,是一种可推广应用的地震资料成像方法.
致谢 感谢审稿专家提出的修改意见和编辑部的大力支持!| [] | Baykulov M, Gajewski D. 2009. Prestack seismic data enhancement with partial common-reflection-surface (CRS) stack[J]. Geophysics, 74(3): V49–V58. DOI:10.1190/1.3106182 |
| [] | Bergler S, Hubral P, Marchetti P, et al. 2002. 3D common-reflection-surface stack and kinematic wavefield attributes[J]. The Leading Edge, 21(10): 1010–1015. DOI:10.1190/1.1518438 |
| [] | Dell S, Gajewski D. 2011. Common-reflection-surface-based workflow for diffraction imaging[J]. Geophysics, 76(5): S187–S195. DOI:10.1190/geo2010-0229.1 |
| [] | Hertweck T, Schleicher J, Mann J. 2007. Data stacking beyond CMP[J]. The Leading Edge, 26(7): 818–827. DOI:10.1190/1.2756859 |
| [] | Hubral P. 1983. Computing true amplitude reflections in a laterally inhomogeneous earth[J]. Geophysics, 48(8): 1051–1062. DOI:10.1190/1.1441528 |
| [] | Hubral P, Hoecht G, Jaeger R. 1999. Seismic illumination[J]. The Leading Edge, 18(11): 1268–1271. DOI:10.1190/1.1438196 |
| [] | Hubral P, Schleicher J, Tygel M, et al. 1993. Determination of Fresnel zones from traveltime measurements[J]. Geophysics, 58(5): 703–712. DOI:10.1190/1.1443454 |
| [] | Jäger R, Mann J, Höcht J, et al. 2001. Common-reflection-surface stack:Image and attributes[J]. Geophysics, 66(1): 97–109. DOI:10.1190/1.1444927 |
| [] | Li M, Zhao Y H, Wang Y G, et al. 2014. A processing method for low S/N seismic data in loess tableland in HJ area[J]. Progress in Geophysics (in Chinese), 29(2): 767–773. DOI:10.6038/pg20140240 |
| [] | Minato S, Tsuji T, Matsuoka T, et al. 2012. Global optimisation by simulated annealing for common reflection surface stacking and its application to low-fold marine data in southwest Japan[J]. Exploration Geophysics, 43(2): 59–69. |
| [] | Pruessmann J, Coman R, Endres H, et al. 2004. Improved imaging and AVO analysis of a shallow gas reservoir by CRS[J]. The Leading Edge, 23(9): 915–918. DOI:10.1190/1.1803503 |
| [] | Pruessmann J, Frehers S, Ballesteros R, et al. 2008. CRS-based depth model building and imaging of 3D seismic data from the Gulf of Mexico Coast[J]. Geophysics, 73(5): VE303–VE311. DOI:10.1190/1.2968691 |
| [] | Qin T, Shen S R, Peng W X. 2014. Application of pre-3D common reflection surface stack in real seismic data[J]. Progress in Geophysics (in Chinese), 29(3): 1257–1261. DOI:10.6038/pg20140335 |
| [] | Schleicher J, Tygel M, Hubral P. 1993. Parabolic and hyperbolic paraxial two-point traveltimes in 3D media[J]. Geophysical Prospecting, 41(4): 495–513. DOI:10.1111/gpr.1993.41.issue-4 |
| [] | Tan W Y, Zhao B, Yang C C. 2007. Calculation of travel-time curved face of common reflection surface[J]. Progress in Geophysics (in Chinese), 22(3): 843–849. DOI:10.3969/j.issn.1004-2903.2007.03.028 |
| [] | Wang H Z, Yang K, Ma Z T. 2004. An applied theory on common reflection surface stack——from common reflection point to common reflection surface[J]. Chinese J. Geophys. (in Chinese), 47(1): 137–142. DOI:10.3321/j.issn:0001-5733.2004.01.021 |
| [] | Wu X Y, Liu T Y, Wei Y, et al. 2008. Two dimensional common reflection surface stack based on the Fresnel zone[J]. Chinese J. Geophys. (in Chinese), 51(6): 1892–1898. DOI:10.3321/j.issn:0001-5733.2008.06.032 |
| [] | Zhang J Y, Liu Y. 2011. Overview of common reflection surface stacking method[J]. Progress in Geophysics (in Chinese), 26(5): 1717–1732. DOI:10.3969/j.issn.1004-2903.2011.05.026 |
| [] | 李美, 赵玉华, 王永刚, 等. 2014. 一种解决HJ黄土塬区低信噪比问题的处理方法[J]. 地球物理学进展, 29(2): 767–773. DOI:10.6038/pg20140240 |
| [] | 覃天, 沈水荣, 彭文绪. 2014. 叠前三维共反射面叠加在实际地震资料处理中的应用[J]. 地球物理学进展, 29(3): 1257–1261. DOI:10.6038/pg20140335 |
| [] | 谭未一, 赵兵, 杨长春. 2007. 共反射面元走时曲面计算方法[J]. 地球物理学进展, 22(3): 843–849. DOI:10.3969/j.issn.1004-2903.2007.03.028 |
| [] | 王华忠, 杨锴, 马在田. 2004. 共反射面元叠加的应用理论——从共反射点到共反射面元[J]. 地球物理学报, 47(1): 137–142. DOI:10.3321/j.issn:0001-5733.2004.01.021 |
| [] | 吴小羊, 刘天佑, 魏伟, 等. 2008. 二维菲涅耳带共反射面元叠加方法研究[J]. 地球物理学报, 51(6): 1892–1898. DOI:10.3321/j.issn:0001-5733.2008.06.032 |
| [] | 张晶玉, 刘洋. 2011. 共反射面元叠加方法综述[J]. 地球物理学进展, 26(5): 1717–1732. DOI:10.3969/j.issn.1004-2903.2011.05.026 |
2017, Vol. 32
