气候变化如全球变暖, 冰川融化及伐木取材等社会以及人类活动, 已经对我们的生活产生了重要的影响.在地球流体力学中,采取合适的数学模型可以研究这些影响,而Rossby是影响地球流体大尺度运动的主要波动. Rossby (1939)最早提出了Rossby波的形成原理,之后Redekopp和Weidman (1978)考虑在切变流中的Rossby孤立波的产生;Maslowe和Redekopp (1980)研究了纬向流的切变对Rossby波的影响;Meng和Lü (2002) 采用时空伸长变换导出了在地形和耗散强迫下的非齐次BDO-Burgers方程;Ono (1975, 1981) 用多重尺度法从准地转位涡方程出发推出Rossby孤立波振幅满足BDO方程;赵强和刘式适 (2001)考虑了基本切变对赤道波动的影响, 其Rossby波包满足非线性Schrödinger方程,也分析了切变纬向流对非线性赤道Rossby孤立波包的影响;宋健等 (2011b)推导了强迫耗散与β效应与地形效应作用下的非线性Rossby波包;同时宋健等 (2014)研究了缓变下垫面和耗散作用下的非线性Rossby波振幅的演变.
但是他们没有考虑地球旋转水平分量fH=2Ωcosφ0的影响.我们知道地球旋转对地球流体力学中的许多现象都有重要影响, 在赤道附近, Coriolis力的垂直分量f的值较小, 平均而言, f=10-5 s-1, 所以f0≈0, 即赤道β平面近似 (f=β0y, β0=2Ωcosφ0/a).但是, Coriolis另一参数fH是非常重要的, 甚至可以近似为常数, fH=2Ωcosφ0≈2Ω.所以在许多情况, fH是不可以忽略的. Hoskins (1975)采用地转近似给出了完整Coriolis力作用下非线性Rossby波的精确解;White和Bromley (1995)通过对纬向动量平衡的尺度分析表明,分析了对于行星尺度的大气运动,地转水平分量的影响不可完全忽略;赵强和刘式适 (2004)研究了β效应和地球旋转水平分量对Rossby波的影响;赵强和于鑫 (2008)考虑了在完整Coriolis下的非线性Rossby波;刘全生等 (2014)考虑了Coriolis力作用下的β效应与层结效应的Rossby孤立波, 他们从包含完整Coriolis力的大气运动方程组出发, 利用半地转近似导出了非线性Rossby波满足KdV方程和Kdv-mKdV方程.本文在基本气流切变下, 考虑地形、耗散和地球旋转水平分量对Rossby波振幅演变的影响.
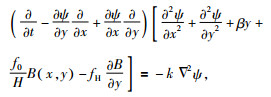
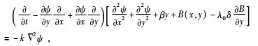
1 数学模型考虑有地形和地球旋转水平分量作用下的地转位涡方程为 (Dellar and Salmon, 2005):
|
(1) |
其中ψ为流函数,Coriolis力的垂直分量取为f=f0+βy, fH是Coriolis力的水平分量, f0、β、fH均为常数;H是流体静止时的高度;B(x, y) 是地形轮廓;k是耗散系数, 取正数;▽2为Laplace算子, 定义为:
引入无量纲参数


|
(2) |
其中引入了两个无量纲参数λ0与δ, λ0=fH/f0表征Coriolis力的水平分量与垂直分量比值的大小, λ0=0时方程即化为传统近似下的准地转正压涡度方程;δ=H/L0表征垂直尺度与水平尺度的大小, 即形态比.
为了得到非齐次BDO-Burgers方程, 切变基本流U为 (Redekopp and Weidman, 1978):
|
(3) |
这里c1, c2为常数.
2 演化方程 (非齐次BDO-Burgers方程) 的推导取基本流函数为纬向流,公式为
|
(4) |
其中c0相当于线性Rossby波在切变基本流U(y) 中当波长很长时的波速, 为了使地形强迫和非线性问题达到平衡.设:
|
(5) |
总的流函数为
|
(6) |
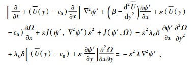
其中ψ′(x, y, t) 是扰动流函数, 把式 (5), 式 (6) 代入方程 (2) 中, 得到扰动流函数方程为
|
(7) |
其中
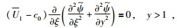
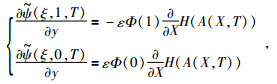
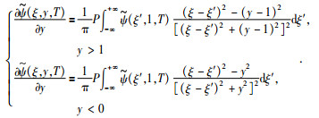
方程 (7) 表示在区域0≤y≤1的方程, 它的边界线为y=0, y=1, 根据Ono (1981),在外部区域y < 0和y>1不考虑地形, 且取柯氏力f=0.由 (7) 式知外部区域方程为
|
(8) |
|
(9) |
为了使方程 (7) 中的非线性效应与频散项相平衡, 对变量x, t引入Gardener-Morikawa变换,公式为
|
(10) |
将式 (10) 式代入方程 (7) 得到:
|
(11) |
这样方程中就没有快变量x, t, 有慢变量X, T, 在方程 (11) 中
扰动流函数有如下的小参数展开形式,公式为
|
(12) |
将式 (12) 代入方程 (11) 得到各阶约化摄动问题的方程.
对于O(ε0) 阶, 有:
|
(13) |
设ψ0有如下形式的分离变量解,公式为
|
(14) |
将式 (14) 代入方程 (13) 中, 得到
|
(15) |
若给定U (y), 利用外部条件能够确定Φ(y) 与c0.由于β(y) 是关于维度变量y的非线性函数, 方程 (15) 很难获得解析解.另外, 在本阶问题中, 只能确定Rossby波的空间结构, 而不能确定Rossby波的振幅随时间的演变.继续求解高阶问题.
对于O(ε1) 阶, 有:
|
(16) |
本阶问题中出现了X方向的频散效应, 而Jacobi算子项在本阶问题中出现了非线性效应, 因此它们分别为弱频散效应和弱非线性效应, 用Φ(y) 乘以方程 (16) 的两端, 并在变量y的区间[0, 1]上积分, 公式为
|
(17) |
方程 (17) 的左端由式 (8), 式 (9) 确定.由于外部扰动是通过内部产生的, 因此设:
|
(18) |
将方程 (18) 代入式 (8) 和式 (9), 得到最低阶的外部方程为
|
(19) |
|
(20) |
这里U1-c0≠0, U2-c0≠0.
根据Ono (1975),由方程 (19), (20) 得:
|
(21) |
方程 (21) 的解为
|
(22) |
其中P表示上述积分主值, 对方程 (22) 式关于变量y求导得:
|
(23) |
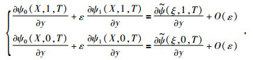
y方向的内部解在y=0, 1处光滑, 因此在O(ε1) 有:
|
(24) |
与
|
(25) |
由式 (14) 和式 (24) 得
|
(26) |
将式 (24) 代入式 (23) 得:
|
(27) |
这里有
|
(28) |
|
(29) |
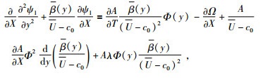
方程 (28) 就是方程 (15) 的边界条件, 由此可以确定本征函数Φ(y) 与本征值c0.
将方程 (26), (28), (29) 代入式 (17) 得:
|
(30) |
其中


方程 (30) 说明在缓变下垫面和地球旋转水平分量的作用下的Rossby孤立波振幅的演变满足非齐次BDO-Burgers方程.从方程中可以看出, 地球旋转水平分量fH和缓变下垫面随纬度经度变化的共同作用 (增加了系数W) 改变了非齐次项 (如果W>0, 非齐次项增强;否则, 非齐次项减弱), 从而会使Rossby波振幅的演变过程发生变化.
当不考虑地球旋转水平分量fH的作用时, 即取λ0=0, 则方程 (30) 退化为宋健等 (2014)的结果.当不考虑耗散的作用, 即取γ=0, 则方程 (30) 退化为非齐次BDO方程, 与宋健等 (2013)的结果一致.如果不存在地形、耗散和地球旋转水平分量, 此时方程 (30) 是齐次BDO方程.其孤立波解为
|
(31) |
其中A0是初始孤立波振幅, 
我们考虑地形,有公式为
|
(32) |
由 (30) 式的系数可知,当基本气流不存在切变时,U=const,(β(y)/U-c0)′=0,这时γ=0,非齐次BDO-Burgers方程就不存在.所以假定大气中西风气流存在线性弱切变 (罗德海, 1989),设:
|
(33) |
利用 (28) 式,则方程 (15) 式变为
|
(34) |
将Φ, c0按下列级数展开,即:
|
(35) |
将 (35) 式代入 (34) 中,则取最低阶近似值为
|
(36) |
其中
利用边界条件:
|
(37) |
其中m=nπ, n=±1, ±2.对 (37) 式的平方模进行归一化,近似得:
|
(38) |
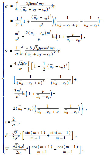
则将Φ(y) 和Ω代入 (30) 式的系数,近似得:
|
(39) |
由上面的系数看出,切变基本流u0,地球旋转水平分量fH的作用会使Rossby波振幅的演变过程发生变化,同时也清楚的看到缓变下垫面的影响 (含eX项).
4 结论本文从完整Coriolis力的地转位涡方程出发, 导出了非线性Rossby孤立波振幅的演变满足非齐次BDO-Burgers方程.同时也说明地球旋转水平分量fH和缓变下垫面随纬度经度变化的共同作用会使Rossby波振幅的演变过程发生变化.当不考虑地球旋转水平分量fH的作用时, 即取λ0=0, 方程 (30) 退化为宋健等 (2014)的结果.当不考虑耗散的作用, 即取λ=0, 则方程 (30) 退化为非齐次BDO方程, 与宋健等 (2013)的结果一致.因此, 气流有水平切变、地形、耗散和地球旋转水平分量, 这些都是非线性Rossby波产生的重要因子.
致谢 感谢审稿专家提出的修改意见和编辑部的大力支持!| [] | Dellar P J, Salmon R. 2005. Shallow water equations with a complete Coriolis force and topography[J]. Physics of Fluids, 17(10): 106601. DOI:10.1063/1.2116747 |
| [] | Hoskins B J. 1975. The geostrophic momentum approximation and the semi-geostrophic equations[J]. Journal of the Atmospheric Sciences, 32(2): 233–242. DOI:10.1175/1520-0469(1975)032<0233:TGMAAT>2.0.CO;2 |
| [] | Liu Q S, Song J, Yang L G. 2014. Solitary Rossby waves with beta effect and stratification effect in the Coriolis force[J]. Progress in Geophysics, 29(1): 57–60. DOI:10.6038/pg20140108 |
| [] | Maslowe S A, Redekopp L G. 1980. Long nonlinear waves in stratified shear flows[J]. Journal of Fluid Mechanics, 101(2): 321–348. DOI:10.1017/S0022112080001681 |
| [] | Meng L, Lü K L. 2002. Dissipation and algebraic solitary long-waves excited by localized topography[J]. Chinese Journal of Computation Physics, 19(2): 159–167. |
| [] | Ono H. 1975. Algebraic solitary waves in stratified fluids[J]. Journal of the Physical Society of Japan, 39(4): 1082–1091. DOI:10.1143/JPSJ.39.1082 |
| [] | Ono H. 1981. Algebraic Rossby wave soliton[J]. Journal of the Physical Society of Japan, 50(8): 2757–2761. DOI:10.1143/JPSJ.50.2757 |
| [] | Redekopp L G, Weidman P D. 1978. Solitary Rossby waves in zonal shear flows and their interactions[J]. Journal of the Atmospheric Sciences, 35(5): 790–804. DOI:10.1175/1520-0469(1978)035<0790:SRWIZS>2.0.CO;2 |
| [] | Rossby C G. 1939. Relation between variations in the intensity of the zonal circulation of the atmosphere and the displacements of the semi-permanent centers of action[J]. Journal of Marine Research, 2(1): 38–55. DOI:10.1357/002224039806649023 |
| [] | Song J, Jiang N, Yang L G. 2011a. Equatorial Rossby envelope solitary waves with β effect in a shear flow[J]. Acta Physica Sinica, 60(2): 024701. |
| [] | Song J, Liu Q S, Yang L G. 2013. Algebraic solitary Rossby waves excited slowly changing topography and beta effect[J]. Progress in Geophysics, 28(4): 1684–1688. DOI:10.6038/pg20130407 |
| [] | Song J, Yang L G, Liu Q S. 2011b. Nonlinear Rossby envelope waves under the influence of forcing dissipation and β effect topographic effect[J]. Acta Physica Sinica, 60(10): 104701. |
| [] | Song J, Yang L G, Liu Q S. 2014. Nonlinear Rossby waves excited slowly changing underlying surface and dissipation[J]. Acta Physica Sinica, 63(6): 060401. |
| [] | White A A, Bromley R A. 1995. Dynamically consistent, quasi-hydrostatic equations for global models with a complete representation of the Coriolis force[J]. Quarterly Journal of the Royal Meteorological Society, 121(522): 399–418. DOI:10.1002/(ISSN)1477-870X |
| [] | Zhao Q, Liu S K. 2001. Equatorial Rossby envelope solitary waves in a mean zonal flow with shear[J]. Chinese Journal of Atmospheric Sciences, 25(1): 133–141. |
| [] | Zhao Q, Liu S K. 2004. Effects of the horizontal component of the earth's rotation on Rossby waves[J]. Chinese Journal of Atmospheric Sciences, 28(1): 146–150. |
| [] | Zhao Q, Yu X. 2008. Exact solutions to the nonlinear Rossby waves with a complete representation of the Coriolis force[J]. Chinese Journal of Geophysics, 51(5): 1304–1308. |
| [] | 刘全生, 宋健, 杨联贵. 2014. Coriolis力作用下的β效应与层结效应的Rossby孤立波[J]. 地球物理学进展, 29(1): 57–60. DOI:10.6038/pg20140108 |
| [] | 宋健, 姜楠, 杨联贵. 2011a. 切变基本纬向流中β效应的赤道Rossby孤立波包[J]. 物理学报, 60(2): 024701. |
| [] | 宋健, 杨联贵, 刘全生. 2011b. 强迫耗散与β效应地形效应作用下的非线性Rossby波包[J]. 物理学报, 60(10): 104701. |
| [] | 宋健, 刘全生, 杨联贵. 2013. 缓变地形下β效应的Rossby代数孤立波[J]. 地球物理学进展, 28(4): 1684–1688. DOI:10.6038/pg20130407 |
| [] | 宋健, 杨联贵, 刘全生. 2014. 缓变下垫面和耗散作用下的非线性Rossby波[J]. 物理学报, 63(6): 060401. |
| [] | 赵强, 刘式适. 2001. 切变基本纬向流中赤道Rossby包络孤立波[J]. 大气科学, 25(1): 133–141. |
| [] | 赵强, 刘式适. 2004. 地球旋转水平分量对Rossby波的影响[J]. 大气科学, 28(2): 146–150. |
| [] | 赵强, 于鑫. 2008. 完整Coriolis力作用下非线性Rossby波的精确解[J]. 地球物理学报, 51(5): 1304–1308. |
2017, Vol. 32

