2. 西南石油大学 机电工程学院, 成都 610500
2. School of Mechatronic Engineering in Southwest Petroleum University, Chengdu 610500, China
地下管道的探测对城市建设有十分重要的作用,其中使用磁法探测地下铁质管线效果显著(底青云等,2013;张恒磊等,2012,2014).自然界的磁体都可以认为是大量形状和磁矩大小不同的基本磁体单元的组合(Jessell,2001),当磁体单元最大外形尺寸远小于磁体到磁场测点之间的距离时,基本磁体单元可视作磁偶极子来计算磁场(Hu et al.,2005;郭文波等,2005;刘长胜和林君,2006;张朝阳等,2010;Yang et al.,2010;Guo et al.,2013).磁偶极子构造法基于该原理,将被地磁场磁化的铁质管道分割成有限数量的单元块,由单元块在几何结构上重构管道(Pignatelli et al.,2011;Guo et al.,2012,2015a,b).将每个单元块视作磁偶极子,使用磁偶极子公式计算所有单元在测点的磁场,依据磁场矢量叠加原理得到磁化铁质管道在测点的磁场(郭文波等,2005;刘长胜和林君,2006;Guo et al.,2012,2015a,b;Wu et al.,2015).使用数值模型方法分析地下铁质管道所致磁异常时,管道单元大小、形状及数量影响着磁偶极子构造法磁异常正演的准确性及计算速率.对于相同的磁源,在不同的单元分割方法下,当测点的磁异常相同时,可认为不同的单元分割方法磁异常计算等效,此时,可采用单元体积划分较大的单元分割模型降低磁异常正演计算量(Guo et al.,2012).Yang等人(2010)在文中指出在10倍圆柱永磁体(圆柱体长度不大于柱直径)直径外,磁矩计算磁体的磁感应强度误差小于0.51%;张朝阳等人(2010)的试验结果表明,对于一般形状较为规则的磁性物体,在2.5倍物体长度以上空间范围,等效磁矩计算的磁感应强度相对误差小于5%.且以上研究结果表明:磁矩计算磁体空间磁场适用性存在实验数据空间局限性、易受环境磁场干扰的问题(Yang et al.,2010;张朝阳等,2010),只是半定性的指出了空间位置与磁矩计算磁体的磁场相对误差之间的关系;同时,基于磁矩进行地下管线所致磁异常正反演等研究时,现有研究结论无法准确定量评估磁偶极子单元计算铁磁体磁场的数值模拟误差.本文使用磁偶极子构造法在相对球坐标系中针对相同磁源(Guo et al.,2013),研究不同单元划分方法对测点磁异常正演的影响,以此定量分析不同条件下管道单元划分策略.因此,在实际地下铁质管线反演探测时,可根据距径比的大小来采取最大的单元划分策略对管道进行划分,在保证铁管正演磁异常精度的前提下减少运算复杂度,对管线磁异常反演探测具有很大的实用价值.
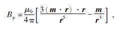
1 原理方法 1.1 磁偶极子构造法原理当磁体单元的外形尺寸远小于磁体中心到磁场测量点的距离时,磁体在测点处的磁场可使用磁偶极子公式(1)近似计算(张朝阳等,2010;Guo et al.,2013).定义测点到磁体中心的距离与磁体最大外形尺寸之间的比为距径比,张朝阳等人(2010)在一定距径比范围内进行了磁体磁偶极子计算测点磁场误差的实验分析,从实验上证明了磁偶极子磁场计算公式的适用性.Yang等人(2010)在论文中给出了磁偶极子公式计算磁体磁场的误差计算公式,但未说明其具体来源.Guo等人(2013)基于圆环电流磁体单元定量分析了磁偶极子计算磁体的误差,并与前人研究成果进行了对比分析说明了其研究结果的准确性.在此,我们将管道划分所得单元视作磁偶极子,其测点处的磁场计算公式为
|
(1) |
式(1)中μ0=4π×10-7/(H·m-1)为真空中的磁导率.设第j个测点Pj的三维坐标为(Pjx,Pjy,Pjz),管道单元Ei的中心坐标为(Eix,Eiy,Eiz),Hx,Hy,Hz为地磁场强度的三分量,r为单元Ei到测点Pj的位移,rij为r的模量(单元Ei到测点Pj的距离),其中单元Ei的体积为
|
(2) |
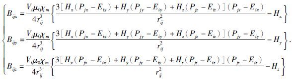
根据公式(2)可计算出Ei在测点Pj沿x,y,z坐标轴的三个磁异常分量为Bijx,Bijy,Bijz.设铁管由m个相邻磁偶极子组成,则根据磁场叠加原理,地下铁质管线在探测点Pj的磁感应强度三分量分别为
|
(3) |
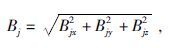
则这m个磁偶极子组成的地下铁质管线在Pj点的磁场大小可表示为
|
(4) |
管道单元分割按一定的单元细化分割级别,可表示为分节级、分块级、分二层级及其他更高分层级(Guo et al.,2012,2015a,b).如图 1所示为分节级管道分割结构,即将管道分割为与管道外径φ相等的磁化管道单元节,将每一节单元视作磁偶极子.
|
图 1 分节级管道单元分割方法 Figure 1 Pipeline element division strategy by section element division |
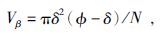
分块级管道单元划分是指先按照图 2a将管道分割为厚度为δ的环,再按照图 2b所示将每一管道环分割成单元块.图 2即为按分块级进行的管道单元划分,每一个管道环单元分割数为π(φ-δ)/δ的向上取整数(Guo et al.,2015a).
|
图 2 分块级管道单元分割方法 (a)管道沿轴向分割成厚度为δ的环;(b)每一管道环沿径向分割成块. Figure 2 Pipeline element division strategy by block element division (a)Divide pipeline to ring with the thickness of δ along the axis direction;(b)Divide each ring to block along the loop direction. |
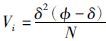
分块后的子单元如图 3所示,为了减小单元尺寸引起的计算误差,使划分后的子单元接近球体(张朝阳等,2010;Guo et al.,2013),在剖分的过程中应该尽量保证单元长度、单元中心弧长l与管道厚度δ一致(Guo et al.,2015a).
|
图 3 分块单元剖分后子单元 Figure 3 Subelement by block element division |
分二层级管道单元划分是指先按照类似图 2a的方式将管道分割为厚度为
|
图 4 分二层级管道单元分割方法 Figure 4 Pipeline element division strategy by two-layer division |
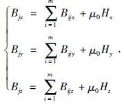
如图 1所示,将每一节单元视作磁偶极子,此时分节单元的体积为
|
(5) |
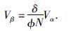
则分块单元的体积Vβ与分节单元的体积Vα之间的关系为
|
(6) |
则公式(6)可改写为
|
(7) |
其中N=π(φ-δ)/δ
1.3 分割策略分析建模为了研究分析管道单元划分为什么级别能够更好的适用于磁偶极子构造法管道探测磁异常正演,建立如图 5分析模型.在图 5中,有一分节单元,同时将该分节单元划分为分块单元与分二层单元,对比分析该相同磁化磁体在球面上最大磁化磁场及最小磁化磁场与距径比(λ=r/φ)的关系,距径比范围为1至5,每隔0.1单位计算一次结果.球面上测点P的数量及坐标与磁偶极子适用性误差分析模型中P点数量及坐标相同.对管道的划分方式对应的磁偶极子构造法计算的磁异常为:分节单元时,管道在球面上测点的磁异常为Bα;分块单元时,管道在球面上测点的磁异常为Bβ;分二层单元时,管道在球面上测点的磁异常为Bγ.通过对比不同分割单元条件下,球面上测点计算磁场的等效性,研究不同距径比条件下,大尺度分割单元的可行性.
|
图 5 管道正演磁异常计算模型 Figure 5 TMA forward model of underground ferromagnetic pipeline |
设管道分节单元外径60/cm,厚度6/mm,单元磁化率为200/SI,背景磁场大小为54583.6/nT,磁倾角为59.061°,磁偏角为-6.629°(Finlay et al.,2010).为研究距径比λ对磁矩计算磁场适应性的影响,在距径比λ确定的球面上,在坐标系测点仰角0≤θ≤π和测点方位角0≤φ≤2π变化范围内,每隔0.1π弧度计算一个P点磁感应强度,即在球面上可采集182个磁感应强度矢量(Guo et al.,2013).如图 6所示为距径比1.5倍球面上测点的磁异常分布值.由图 6可知,磁化的管道短节在球面上测点位置不同,引起的磁异常不同.在1.5倍距径比球面上,三种单元划分方法计算得到的总磁异常分布趋势相同;同时,相同测点磁异常仍然存在一定差异.
|
图 6 距径比1.5倍球面上的测点磁异常 Figure 6 Measure point TMA when λ equals 1.5 |
由图 6可知,1.5倍距径比球面上测点的磁异常最大值与最小值相差较大,但不同分割单元计算得到的最大最小值出现的测点位置相同,研究不同距径比条件下,不同单元分割方法最大最小值等效性即能够反映单元分割策略对磁异常计算等效性的影响.设节单元在确定距径比球面上磁感应强度模量最大值为 Bαmax,最小值为Bαmin;分块单元在确定距径比球面上磁感应强度总和的模量最大值为Bβmax,最小值为Bβmin;分二层单元在确定距径比球面上磁感应强度总和的模量最大值为Bγmax,最小值为Bγmin.三种单元分割方法所得单元磁化磁场在球面上的最大值和最小值随距径比的变化关系如图 7所示.
|
图 7 距径比对不同球面上单元磁异常最大最小值的影响 (a)单元磁异常最大值;(b)单元磁异常最小值. Figure 7 Effect of λ to element TMA maximum and minimum value (a)Element TMA maximum value;(b)Element TMA minimum value. |
由图 7对比结果可知,随着距径比增大,三种单元分割方法计算得到的球面磁异常最大最小值差异逐渐减小.在1至5倍的距径比范围内,分块单元与分二层单元计算的管道单元最大磁异常曲线变化几乎重合.计算表明,在距径比为1时,分块单元与分二层单元计算磁异常最大值之间的最大差异仅为0.37/nT,说明分块单元与分二层单元铁质管道节所致磁异常结果几乎完全相同,对于大于1.5倍距径比的空间,使用分块单元就能够满足磁异常最大值准确计算的需要.分节单元与另两种单元划分方法计算管道节所致磁异常在距径比较小时差异较大.计算表明,当距径比λ>6.5时,分节单元与另两种单元划分计算的最大或最小磁异常相差小于1/nT,一般高精度的磁场测量仪器无法区分这种差异,此时三种管道划分方式计算的管道分节单元磁场可视作完全相同.因此,在有效探测范围内磁测精度要求一般的情况下(Guo et al.,2015b),管道分块划分就足以满足计算精度,继续分层划分会带来几何倍数增长的计算量,得到的计算精度提高并不大.在测点距离单元中心较远时(λ>6.5),分节单元计算磁异常同样能够满足磁异常计算准确性的要求(Guo et al.,2012;Wu et al.,2015).
3 结果与讨论在球坐标系中进行磁异常单元分割策略计算磁异常等效研究时,由于测点来自全球面数据,则在改变外磁场方向时,由于测点覆盖区域未改变,因此球面上测点磁异常最大最小值不会发生变化,即图 7研究结果不受地球磁场磁偏角及磁倾角的影响(Guo et al.,2013;郭智勇等,2014).由于磁异常大小受管道磁化率和地磁总场大小影响(Guo et al.,2015a),因此,绝对磁异常仅能够从测量角度进行单元分割等效分析,而相对磁异常则能够更加准确的评价不同单元划分磁异常计算时的准确性.由于磁化单元无法计算其测点的准确磁场,而单元体积相对测量距离越小时使用磁偶极子计算磁体磁场越准确(张朝阳等,2010;Guo et al.,2013),因此,可以使用分三层单元作为约定真值对分节单元、分块单元及分二层单元计算磁异常相对误差进行评价.如图 8所示为测点距离对不同单元划分计算磁异常相对误差的影响.
|
图 8 距径比对不同球面上单元分割计算磁异常最大相对误差的影响 Figure 8 Effect of λ to element TMA maximum relative error |
由图 8可知,随着测点距离增大,不同单元分割方法计算磁异常相对误差都随着减小.在相同球面上,分节单元计算磁异常相对误差比分块单元及分二层单元磁异常计算相对误差要大很多;分块单元及分二层单元磁异常计算相对误差相差较小,该结果如图 7结果一致.分块单元及分二层单元在距径比等于1时,就已经具有很高的磁异常计算准确度;在距径比等于6.5时分节单元磁异常计算准确度,与分块单元1倍距径比时磁异常计算准确度相近.由于磁化率及地磁总强度在计算相对误差时会除法抵消(Guo et al.,2013,2015a;郭智勇等,2014),因此磁化率大小及地磁总强度大小不影响磁异常相对误差计算结果.管道顶部埋深一般大于管道半径,因此本文中测点距离范围为1倍距径比空间外.
4 结 论利用磁偶极子构造法在相对球坐标系中建立了地下铁质管线单元划分磁异常计算对比模型,研究了测点空间位置对计算磁异常等效关系的影响,同时讨论了管道磁化率、外磁场特征对不同单元划分方法计算磁异常等效性的影响.由研究分析可知,随着测点距离增大,不同单元分割方法计算磁异常差异越来越小,计算磁异常相对误差仅与距径比有关,而与管道磁化率和外磁场特征无关.在1倍距径比测量范围外,使用分块单元划分地下铁质管线单元时,测点磁异常绝对误差小于1/nT,相对误差小于10-4;在6.5倍距径比测量范围外,使用分节单元计算管道磁异常绝对误差小于1/nT,相对误差小于10-4.为了保证计算准确性,同时提高管道磁异常计算速率,对于埋深大于管道直径6.5倍的地下铁质管道,磁异常正演时可使用分节管道划分计算磁异常.对于埋深在6.5倍至1倍距径比范围内的地下铁质管道,磁异常正演时分块管道单元划分计算磁异常准确度更高.
致谢 感谢国家自然科学基金(41374151)对本文的支持.| [] | Di Q Y, Fang G Y, Zhang Y M .2013. Research of the Surface Electromagnetic Prospecting (SEP) system[J]. Chinese Journal of Geophysics (in Chinese), 56 (11) : 3629–3639. DOI:10.6038/cjg20131104 |
| [] | Finlay C C, Maus S, Beggan C D, et al .2010. International geomagnetic reference field:the eleventh generation[J]. Geophysical Journal International, 183 (3) : 1216–1230. DOI:10.1111/j.1365-246X.2010.04804.x |
| [] | Guo W B, Li X, Xue G Q, et al .2005. A study of the interpretation system for TEM tomography[J]. Chinese Journal of Geophysics (in Chinese), 48 (6) : 1400–1405. DOI:10.3321/j.issn:0001-5733.2005.06.024 |
| [] | Guo Z Y, Liu D J, Chen Z, et al. 2012. Modeling on ground magnetic anomaly detection of underground ferromagnetic metal pipeline[C].//International Conference on Pipelines and Trenchless Technology 2012. ICPTT, 1011-1024. |
| [] | Guo Z Y, Liu D J, Li C Y, et al .2014. Magnetic field characteristic analysis of equivalent-combined adjacent magnetized magnet elements[J]. Journal of Naval University of Engineering (in Chinese), 26 (3) : 52–56. |
| [] | Guo Z Y, Liu D J, Luo Y X .2013. Error analysis of magnetic field calculation using magnetic dipole based on circular current[J]. International Journal of Applied Mathematics and StatisticsTM, 51 (24) : 121–130. |
| [] | Guo Z Y, Liu D J, Pan Q, et al .2015a. Forward modeling of total magnetic anomaly over a pseudo-2D underground ferromagnetic pipeline[J]. Journal of Applied Geophysics, 113 : 14–30. DOI:10.1016/j.jappgeo.2014.12.011 |
| [] | Guo Z Y, Liu D J, Pan Q, et al .2015b. Vertical magnetic field and its analytic signal applicability in oil field underground pipeline detection[J]. Journal of Geophysics and Engineering, 12 (3) : 340. DOI:10.1088/1742-2132/12/3/340 |
| [] | Hu C, Meng M Q H, Mandal M .2005. Efficient magnetic localization and orientation technique for capsule endoscopy[J]. International Journal of Information Acquisition, 2 (1) : 23–36. DOI:10.1142/S0219878905000398 |
| [] | Jessell M .2001. Three-dimensional geological modelling of potential-field data[J]. Computers & Geosciences, 27 (4) : 455–465. |
| [] | Liu C S, Lin J .2006. Transient electromagnetic response modeling of magnetic source on seafloor and the analysis of seawater effect[J]. Chinese Journal of Geophysics (in Chinese), 49 (6) : 1891–1898. DOI:10.3321/j.issn:0001-5733.2006.06.039 |
| [] | Pignatelli A, Nicolosi I, Carluccio R, et al .2011. Graphical interactive generation of gravity and magnetic fields[J]. Computers & Geosciences, 37 (4) : 567–572. |
| [] | Wu Z Y, Gao D L, Diao B B .2015. An investigation of electromagnetic anti-collision real-time measurement for drilling cluster wells[J]. Journal of Natural Gas Science and Engineering, 23 : 346–355. DOI:10.1016/j.jngse.2015.02.016 |
| [] | Yang W A, Hu C, Li M, et al .2010. A new tracking system for three magnetic objectives[J]. IEEE Transactions on Magnetics, 46 (12) : 4023–4029. DOI:10.1109/TMAG.2010.2076823 |
| [] | Zhang H L, Hu X Y, Liu T Y .2012. Fast inversion of magnetic source boundary and top depth via second order derivative[J]. Chinese Journal of Geophysics (in Chinese), 55 (11) : 3839–3847. DOI:10.6038/j.issn.0001-5733.2012.11.031 |
| [] | Zhang H L, Marangoni Y R, Zuo R G, et al .2014. The improved anisotropy normalized variance for detecting non-vertical magnetization anomalies[J]. Chinese Journal of Geophysics (in Chinese), 57 (8) : 2724–2731. DOI:10.6038/cjg20140830 |
| [] | Zhang Z Y, Xiao C H, Zhou J J, et al .2010. Experiment research of magnetic dipole model applicability for a magnetic object[J]. Journal of Basic Science and Engineering (in Chinese), 18 (5) : 862–868. |
| [] | 底青云, 方广有, 张一鸣.2013. 地面电磁探测系统(SEP)研究[J]. 地球物理学报, 56 (11) : 3629–3639. DOI:10.6038/cjg20131104 |
| [] | 郭文波, 李貅, 薛国强, 等.2005. 瞬变电磁快速成像解释系统研究[J]. 地球物理学报, 48 (6) : 1400–1405. DOI:10.3321/j.issn:0001-5733.2005.06.024 |
| [] | 郭智勇, 刘得军, 李常友, 等.2014. 相邻磁化磁体单元磁场等效合并特性分析[J]. 海军工程大学学报, 26 (3) : 52–56. |
| [] | 刘长胜, 林君.2006. 海底表面磁源瞬变响应建模及海水影响分析[J]. 地球物理学报, 49 (6) : 1891–1898. DOI:10.3321/j.issn:0001-5733.2006.06.039 |
| [] | 张朝阳, 肖昌汉, 高俊吉, 等.2010. 磁性物体磁偶极子模型适用性的试验研究[J]. 应用基础与工程科学学报, 18 (5) : 862–868. |
| [] | 张恒磊, 胡祥云, 刘天佑.2012. 基于二阶导数的磁源边界与顶部深度快速反演[J]. 地球物理学报, 55 (11) : 3839–3847. DOI:10.6038/j.issn.0001-5733.2012.11.031 |
| [] | 张恒磊, MarangoniY R, 左仁广, 等.2014. 改进的各向异性标准化方差探测斜磁化磁异常源边界[J]. 地球物理学报, 57 (8) : 2724–2731. DOI:10.6038/cjg20140830 |
2016, Vol. 31

