页岩气是指赋存于富有机质泥页岩及其夹层中,以吸附或游离状态为主要存在方式的非常规天然气,成分以甲烷为主,是一种清洁、高效的能源资源.在勘探阶段,页岩气资源评价和核心区选择工作,需要落实页岩气藏的富集区域.地球物理技术的发展趋势就是多学科综合研究,页岩气地球物理技术同样如此.作为超前技术,要研究除地震、测井之外其他的地球物理方法,如电法、磁法等非地震技术对页岩气的预测和评价技术,多学科综合研究必然会使预测结果更接近实际地质情况(刘雪军,2003;张春贺等,2013).
电法勘探技术是油气勘探的传统技术,在油气资源区域地质调查、盆地基底结构探测等方面发挥着其他方法无可替代的作用.近二十年来,在油气勘探中,电法勘探正逐步由区域勘探走向目标勘探,并取得一系列可喜的成果.作为一种常规的油气勘探手段,俄罗斯、荷兰、德国、南非等国家已将非地震勘探引入页岩气勘探并取得成功.在测井、岩石物理等领域,电法正在发展成为一种主要的富有机质页岩的研究手段.2010年起,中国已将时频电磁法引入页岩气勘探并取得一定的勘探的效果.时频电磁法勘探通过探测油气藏的电性及电化学异常来确定含油气状况,它不是检测油气藏中的烃类成分,而是直接探测油气藏本身,因此时频电磁法勘探方法具有其他非地震方法所不可比拟的优势.时频电磁法勘探激发场源强,是地面油气检测技术中最有潜力的方法之一,试验区进行时频电磁法采集的同时又开展二维地震工作,在地震约束下时频电磁技术更好地明确试验区页岩层系展布特征,并预测TOC高值异常区,取得较好的效果(赵邦六等,2005;朱铉,2008;张玮等,2010).
我国四川盆地南部、东南部地区,以山地地形为主,地质条件复杂多变,地震地质条件相对复杂,波阻抗差小,反射能量弱,导致页岩气地球物理勘探成本高,整体效果不理想的状况.在页岩气勘探的早期阶段中充分发挥非地震勘探技术效率高、成本低的优势,通过采集并测定试验区页岩和其他岩石标本,分析富有机质页岩的物性特征,研究富有机质页岩电磁特性和极化机理,这样通过TFEM能更好地圈定富有机质页岩(李林新,2005;《页岩气地质与勘探开发实践丛书》编委会,2011).
针对南方碳酸盐岩地区的物性研究表明,富有机质页岩层系具有较为明显的低密度、低磁性、低电阻率、高极化率、高TOC“三低两高”物性特征.其中页岩层系在纵向地层剖面上为低阻标志层,且高TOC含量与高极化率值呈正相关关系,以上研究基础为利用TFEM圈定TOC高值异常区提供了有利条件.2011年中国石油东方地球物理公司综合物化探处在川南、成都理工大学在黔北富有机质页岩区分别开展了电性参数测试,结果表明该区富有机质页岩具有明显的“低阻高极化”特征,TOC含量与电阻率、极化率之间存在密切联系.中国石化勘探南方分公司在涪陵礁石坝地区页岩气勘探中,以“二元”富集理论为指导,以三维地震资料精细处理和综合解释为基础,明确了页岩气层地震响应特征,完成了大量的测井资料对比和统计分析,开展了页岩气层空间展布、优质压裂品质区、裂缝发育优势带、保存条件有利区以及埋深有利区的预测,初步形成了一套页岩气地震综合预测技术系列,实现页岩气“甜点”综合预测(Wang et al.,2006;He Z X et al.,2010).
2011年及2012年在四川盆地南部筠连地区,相继开展了页岩气时频电磁法二维、三维勘探试验研究工作,取得较好的效果.“页岩气勘查技术要求(规范)研制”专题2013年在湘西北实验区开展页岩气时频电磁法二维勘探试验研究工作,所取得的成果表明,时频电磁法能够有效地应用于页岩气勘探.
湘西北试验区为典型的碳酸盐山区,时频电磁法采集采用了大功率激发、分布式采集技术,同时试验区开展了地层物性采测与分析,包括密度、磁性、电阻率、极化率等,为后续反演结果分析提供了基础.
1 方法及原理介绍时频电磁法是在可控源音频大地电磁测深法(CSAMT)和长偏移距瞬变电磁法(LOTEM)基础上发展起来的一类电磁勘探法,经过近10年的发展,目前已在油气勘探中被广泛应用,成为油气电法勘探的主流技术之一,同时其勘探领域也不断地拓宽,在煤田灰岩富水性研究方面、复杂油气目标开采动态监测方面也得到了应用.
时频电磁法采用轴向偶极或赤道偶极装置(TFEM-Inline,TFEM-Broadside),发射采用接地长导线双极源.TFEM勘探野外施工如图 4所示,根据工作需要接收观测分量可选电场水平分量Ex或磁场垂直分量Hz,也可同时观测电场水平分量Ex和磁场垂直分量Hz,必要时可预测磁场水平分量Hy.各分量以排列方式沿测线多道观测.
|
图 4 TFEM 勘探野外施工示意图 Figure 4 TFEM Exploration and field construction sketch |
为了研究区域地层物性特征,利用本次工作所测定的基础物性资料按地层进行了统计分析,见表 1.
|
|
表 1 区域地层物性统计表 Table 1 Regional stratigraphic physical statistics |
地层物性统计结果显示志留系龙马溪组、寒武系牛蹄塘组、震旦系陡山沱的页岩层系密度相对较低,分别为2.404 g/cm3、2.359 g/cm3和2.29 g/cm3,为低密度地层.本区地层整体显示为弱磁性,磁化率值均在50×10-5SI以下.
各套地层的电阻率值变化较大,将相邻且电阻率值相近的地层可以划归成一套电性层,地层由浅至深可划分成四个电性层.
第一电性层:上奥陶统及其以上地层,为低阻层;
第二电性层:中奥陶统至寒武系上组地层,为高阻层;
第三电性层:寒武系牛蹄塘组至震旦系陡山沱组,为低阻层;
第四电性层:震旦系下统至元古界板溪群地层,为高阻层.
2.2 极化率分析(1) 龙马溪组黑色页岩
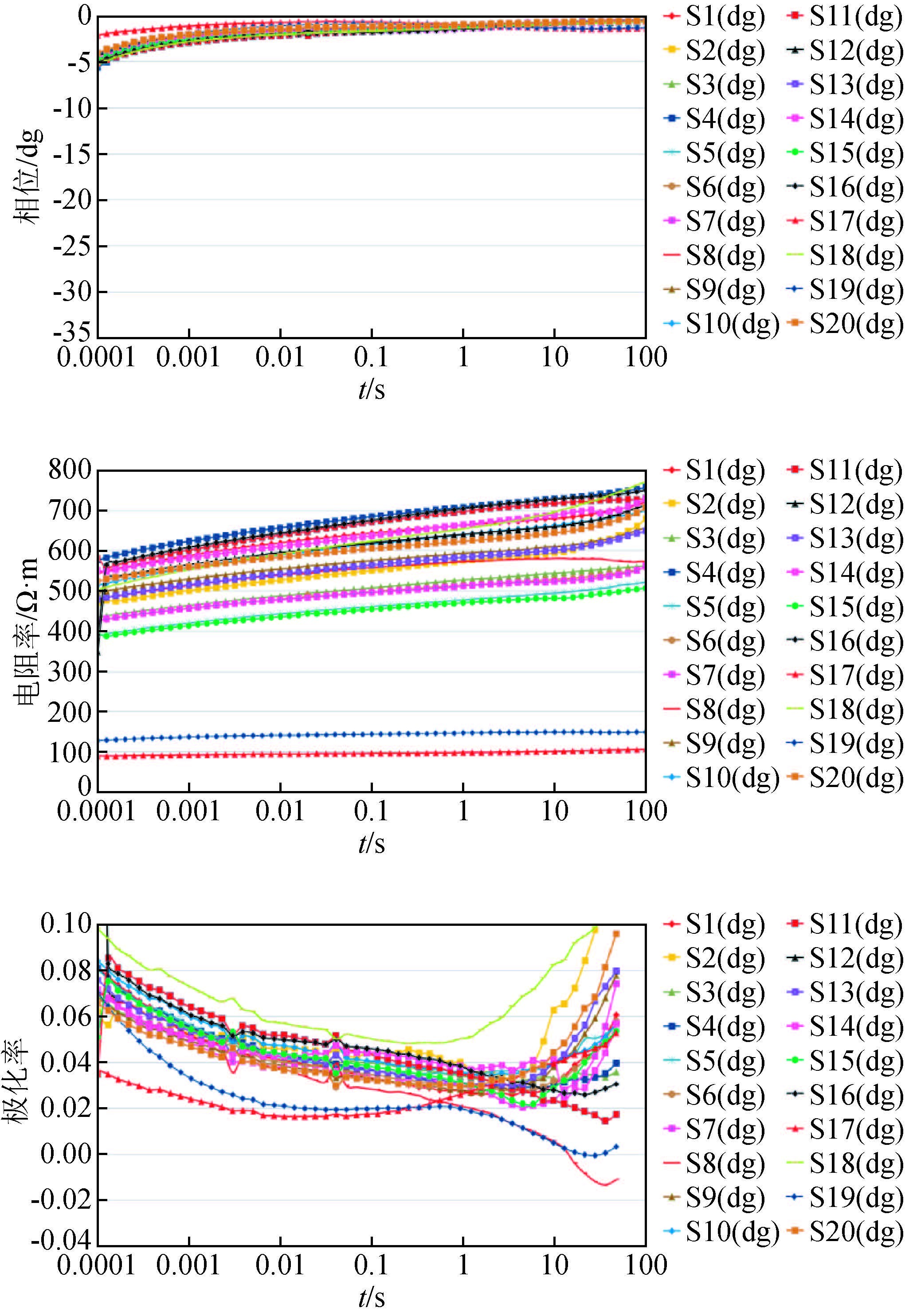
S1-S20采自慈利县景龙桥乡,是志留系龙马溪组黑色的页岩.其电阻率、相位、极化率变化曲线如图 1.其电阻率相对较高,平均为500 Ω·m,随时间呈平稳的线性变化;相位随时间基本没有变化,因而引起电阻率及相位变化主要是电磁效应而非激电效应.
|
图 1 志留系龙马溪组电阻率、相位、极化率—时间曲线 Figure 1 Siluric dragon stream resistivity、phase、polarization-time curve |
(2) 牛蹄塘组黑色页岩
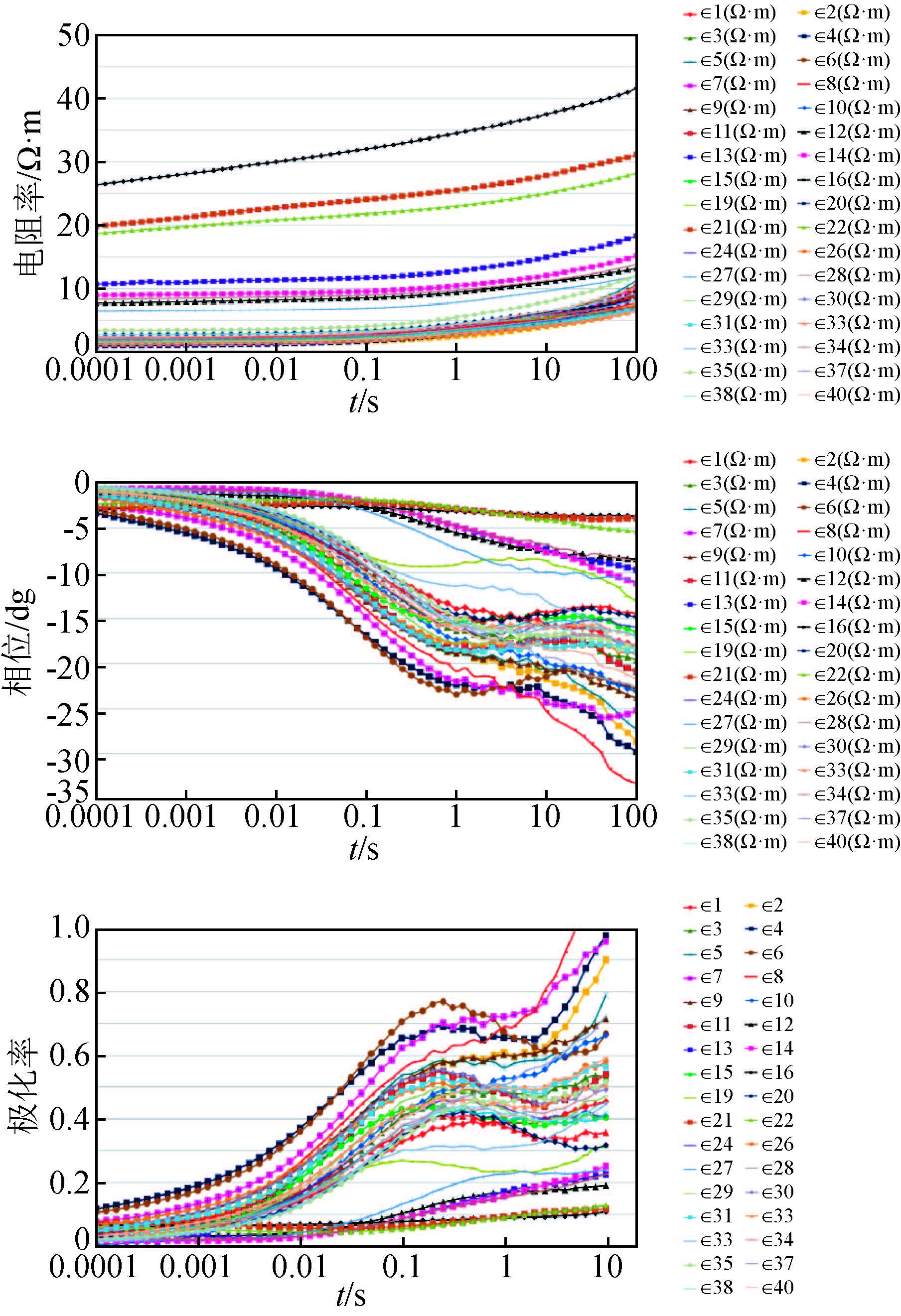
∈1-∈40号岩芯采自桃源县钟家铺乡北风坡,是寒武系牛蹄塘组黑色的页岩.其电阻率、相位、极化率变化曲线见图 2,曲线显示电阻率较低,平均值为6 Ω·m,属低阻层,随时间呈线性变化;岩芯相位随时间变化较大,在1~10 s之间变化平缓,10 s以后变化幅度明显增强.
|
图 2 寒武系牛蹄塘组电阻率、相位、极化率—时间曲线 Figure 2 Cambrian cattle hoof pond resistivity、 phase、polarization-time curve |
(3) 陡山沱组灰黑色页岩
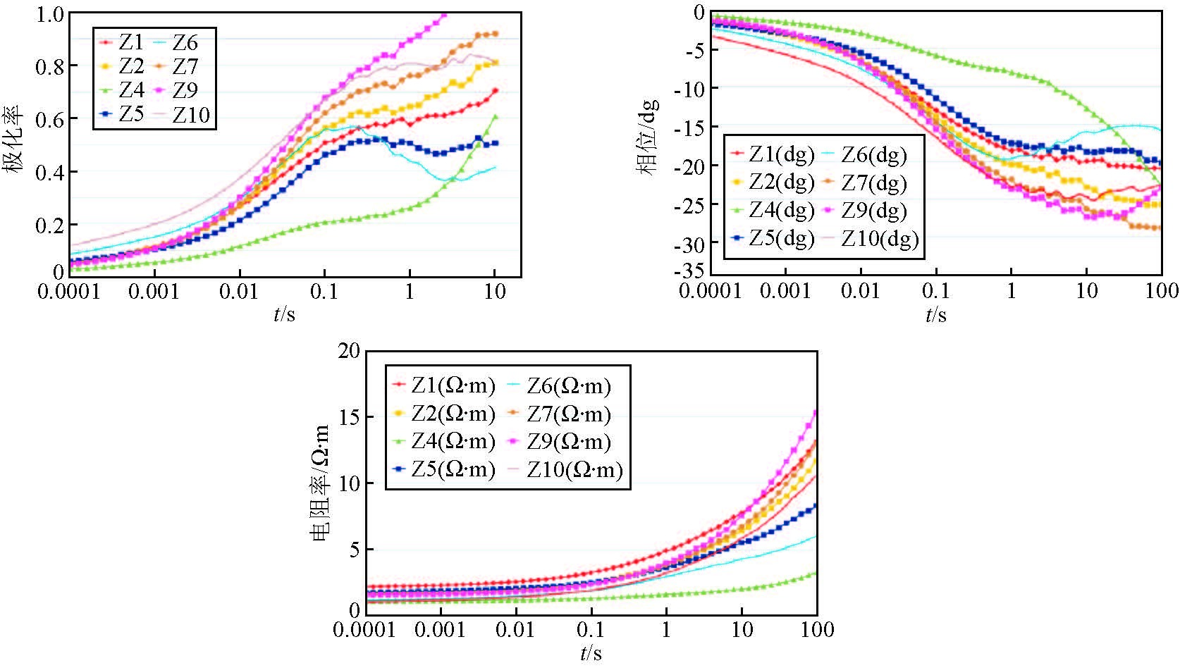
Z1-Z10岩样采自桃源县钟家铺乡北风坡南,属震旦系陡山沱组灰黑色的页岩.图 3为陡山沱组电阻率、相位、极化率时间曲线.其电阻率相对较低,平均为3 Ω·m,属低阻层,电阻率和相位随时间变化较大.总体来说,10 s以后变化幅度明显增加,说明陡山沱组灰黑色页岩激电效应较强.
|
图 3 震旦系陡山沱组电阻率、相位、极化率—时间曲线 Figure 3 Sinian doushantuo resistivity、phase、polarization-time curve |
通过物性资料分析研究,明确了试验区的物性特征,对于认识本区的物探异常和页岩气成藏规律具有重要意义.富有机质页岩层系呈现低阻、低密、低磁、高极化率的“三低一高”的物性特征,与围岩的电阻率、密度物性差异明显.这些特点显示本区不仅页岩气富集,而且勘探、开采条件非常有利,特别是寒武系牛蹄塘组黑色页岩各项物性指标最优,是本区最具勘探开发潜力的富有机质页岩层系.
3 试验区概况此次试验区测线位于慈利县城以南景龙桥乡—龙潭河镇地区,南北长约20 km,东西宽约25 km,勘探面积约500 km2.测线布置如图 5所示,地震勘探共部署测线四条.(红色线段)选择D1和L2测线满覆盖范围为时频电磁勘探测线,总长26.4 km(图 5).(两条紫色线段为时频电磁勘探测线)两条测线均穿越山区,地形起伏大,植被覆盖茂密,主要出露地层有志留系龙马溪组、奥陶系、寒武系.地貌上高地与谷地相间,以山地形为主.龙潭河由西向东南方向流经试验区.
|
图 5 测线布置图 Figure 5 Line layout sketch |
时频电磁法数据处理分别在时间域和频率域开展,流程如图 6所示:
|
图 6 时频电磁资料处理流程图 Figure 6 Time and frequency electromagnetic data processing flow chart |
(1) 采用人工源时间频率电磁测深方法(TFEM),将可控源频率测深与瞬变电磁测深合并在一套系统中,一次采集即可获得时间域和频率域信号,改变了常规电磁法时、频域分立作业的模式,提高了采集效率和探测效果.形成了激发脉冲多样、采集多分量、研究多参数、实现多勘探目标要求的新型高精度大功率电磁测深方法,可以应用于深部矿产资源勘探各个领域.
(2) 采用电磁方法识别含油气目标的新异常模式,明确了油气异常的“环状三层楼”模型,明确了电磁法探测油气藏的主要目标是第三层,即油气藏本身,而传统电法研究的近地表异常为次要目标.提出了检测油气藏的两个主要参数——极化率和电阻率(IPR)的双高异常是识别油气藏的重要特征,为识别油气目标提供了方向.
(3) 提出多方法多参数综合进行特殊地质体以及油气目标识别的方法,目标最小化的三维反演提高了反演精度.
4.1 时频电磁层位建模约束反演技术综合建模技术和约束反演技术是地球物理两个重要的发展方向.建立合适的地质和地球物理模型可以有效减少反演的多解性,提高反演精度.当试验区内只有钻井及物性资料时,可以用时频电磁时间域数据反演的结果作为初始模型,然后利用钻井和物性资料进行层位和电阻率标定(约束条件),进行约束反演.见图 7、8.
|
图 7 D1测线自由反演电阻率结果标定 Figure 7 Calibration line free resistivity inversion results |
|
图 8 利用自由反演电阻率结果进行层位约束的极化率反演剖面 Figure 8 Using the free layer resistivity inversion resultsin polarization inversion profile |
地震勘探对层位、断层等有较高的分辨率,目前其在地球物理勘探中起着主导作用,但其对流体识别能力不足;电法等非地震勘探由于是体积勘探,对层位、断层等刻画不如地震精确,但其对流体反应灵敏.如何在各种勘探方法之间取长补短,以提高资料解释的可靠性和精度是地球物理学者追求的目标.试验区前期已有地震勘探和钻井资料,这为多种资料综合解释提供了便利.试验区资料的定量解释采用了多分量联合、多种资料约束反演的处理思路,具体如下:
(1) 以磁场数据自由反演的结果为电性初始模型,见图 7.
以地震解释的层位为层位约束条件,同时综合钻井电阻率信息,确定地电模型;综合钻井、地震等其他地质及地球物理资料构建试验区合适模型,然后反演试验区地下电阻率及极化率的分布情况.采用基于共轭梯度的一维约束反演.如时间域反演的问题一样同属正则化问题,这里采用共轭梯度的方法求取目标函数的极小值(图 9、10、11).
|
图 9 D1测线对应的地震剖面解释结果 Figure 9 D1 line corresponding to the seismic section explain the results |
|
图 10 D1测线时频-地震联合反演电阻率断面 Figure 10 D1 line frequency-seismic joint inversion resistivity section |
|
图 11 D1测线时频-地震联合反演成像极化率断面 Figure 11 D1 line of time-frequency-seismic joint inversion imaging polarization cross section |
在共轭梯度方向连续线性搜索,公式为
|
(1) |
其中

第1次迭代(n=0)的共轭梯度向量与梯度向量相同,公式为
|
(2) |
(2) 进行频率域电场分量数据反演.
第n+1次(n≥0)迭代共轭梯度向量为此次迭代的梯度向量与前一次迭代的共轭梯度向量的线性组合,公式为
|
(3) |
其中,

试验区所处大地构造位置属扬子准地台区,自加里东运动以来区域上经历多期构造的叠加改造,尤其是燕山期和喜马拉雅期挤压构造运动,导致区内形成了褶皱和逆冲断层为主的复杂地质结构,结合这些特点对电阻率反演剖面进行综合分析,研究试验区内地层、断裂展布特征.
(1) D1测线
低阻层埋深的突变位置显示了断层对地层的错断,是自古生代以来区内多期次挤压构造运动的结果.220—205号测点范围低阻层顶面海拔埋深最大,达到-3500 m,其两侧低阻层明显变浅,推测该范围两侧存在F1和F2两条反向逆冲断层,导致两条断层上盘方向岩层向浅部逆冲,形成了两边浅,中间深的构造形态.同时,在挤压作用下两条断层直接的地层可能存在局部增厚的现象,这一点可以从深部低阻层、中深层高阻层的增厚特征得到印证(见图 12、13).
|
图 12 D1测线地质解释剖面 Figure 12 D1 line section geological interpretation profile |
|
图 13 D1测线综合地质解释剖面 Figure 13 D1 line comprehensive geological interpretation profile |
(2) L2测线
1 70号、191号两测点位置发育两条西倾逆断层F4和F5,导致目标页岩层系埋深在170号以东区域呈阶梯状加深的特征,顶面海拔埋深由-2200 m逐渐加深到-3600 m左右.214号测点位置发育东倾逆断层F6,在其作用下214号测点以北的地层剧烈抬升,使目标页岩层系埋深变浅,顶面 海拔埋深约为-2000 m(图 14、15).
|
图 14 L2测线地质解释剖面 Figure 14 L2 line geological interpretation profile |
|
图 15 L2测线综合地质解释剖面 Figure 15 L2 line comprehensive geological interpretation profile |
极化率异常的深度是在时间域反演结果的基础上转换而来的,因为没有钻井或地震资料标定,其深度值仅作为参考,只能用以定性解释富有机质页岩层系顺层方向极化率的变化规律,不能用来进行异常深度定量解释(见图 16).
|
图 16 D1测线极化率异常剖面 Figure 16 D1 line polarization anomaly profile |
在南方碳酸盐岩海相地层发育区,页岩层系具有以下电磁属性及规律:
泥页岩不含气时通常为低阻目标层,泥页岩含气时或富含有机质时,可能表现为局部的横向电性升高;富有机质页岩层系为高极化率异常体,高极化率与高TOC含量有较好的对应关系.当泥页岩中含有黄铁矿成份或裂缝发育,极化特性会更加明显.
因此,使用电磁方法勘探及预测页岩气气藏具有物性基础.此外,物性测量证实页岩层系为低密度特性,表明在复杂区利用重力勘探配合进行综合勘探也具备相应的物性基础.
利用电阻率反演剖面所解释的富有机质页岩层系的深度和厚度,解释出低阻层在平面上的分布范围及平面方向目标层电阻率的变化情况,如图 17所示.页岩层系泥质含量高,生烃能力更强.两条测线的交点位置为相对低阻区,规模最大,另有三相对低阻区分布于D1测线的南段、L2测线西南段及L2测线东北段.
|
图 17 牛蹄塘组目的层电阻率平面分布图 Figure 17 Niutitang layer resistivity map |
利用极化率反演结果提取高极化率异常区(异常值的确定,20%以上为有利区),见图 18.图中显示两条测线位置除L2测线185—215号测点范围极化率异常值低于20%以外,其他区域极化率值均高于20%,显示为高极化率异常特征,据此评价试验区页岩气整体发育条件良好.
|
图 18 牛蹄塘组目的层极化率平面分布 Figure 18 Niutitang laye polarizability map |
同时结合页岩层系内部相对低阻异常区的分布范围推测,D1和L2测线交叉点位置及其附近高极化异常和页岩层系内部的低阻分布在平面上较为稳定,认为交点及其附近位置页岩气发育条件良好,见图 18中蓝色虚线圈定范围.
将页岩层低电阻区域叠合到牛蹄塘组顶面海拔埋深图上,见图 19.可见其重叠区域为D1测线233号—193号测点范围,L2测线的148号—192号测点范围.两侧线交点位置主体部分牛蹄塘组顶面海拔埋深-2000~-3000 m之间.D1的东南段和L2测线的东北段牛蹄塘组埋深相对较浅,顶面海拔埋深一般在-2500 m以浅.
|
图 19 牛蹄塘组顶面海拔埋深与高极化、低电阻区域叠合图 Figure 19 Niu ti tang Top buried depth and high polarization、low resistance area overlay |
综合地质分析有如下认识:
(1) 志留系龙马溪组和五峰组组成浅层页岩层系,其在电阻率反演剖面上的特征不明显,不易识别.
(2) 深层低电阻率异常是寒武系牛蹄塘组页岩—震旦系陡山沱组页岩层系共同反映,低电阻异常特征非常明显,在试验区内广泛分布,一般厚度约在400 m,顶面海拔埋深一般在-2300~-3000 m之间.
(3) 区内发育多条逆冲断层,导致该页岩层系厚度和顶界面埋藏深度局部变化,尤其是L2测线南段F6断层位置,顶界面埋深最大落差约为900 m.
(4) 试验区测线经过位置主要发育6条逆冲断层,其中F6断层规模最大,位于L2测线的北段;F1、F2规模较小,位于D1测线的北段;F3、F4、F5断层规模最小.
(5) 结合极化率异常预测试验区页岩气整体发育条件良好,仅L2测线185—215号测点范围发育条件稍差.
6 结论通过野外样品的物性分析和室内时频电磁法数据处理解释,能够得到以下结论:
(1) 本次实验物性测试分析得出富有机质页岩层系呈现低阻、低密、低磁、高极化率的“三低一高”的物性特征,与围岩的电阻率、密度物性差异明显.
(2) 时频电磁法一次采集获得时间域和频率域信号,达到激发脉冲多样、采集多分量、研究多参数、实现多勘探目标要求,完善了复杂山地电磁法大功率激发和采集技术.
(3) 本次试验总结出电磁方法识别含油气目标的新异常模式,建立油气异常的“环状三层楼”模型.提出了检测油气藏的两个主要参数——极化率和电阻率(IPR)的双高异常是识别油气藏的重要特征,为识别油气目标提供了方向.
(4) 为降低地球物理多解性问题,基于共轭梯度的一维约束反演,以地震解释的层位为层位约束条件,同时综合钻井电阻率信息,确定地电模型;综合钻井、地震等其他地质及地球物理资料构建试验区合适模型,然后反演试验区地下电阻率及极化率的分布情况.
致谢 感谢审稿专家提出的修改意见和编辑部的大力支持!| [] | Editorial Committee of the Book "Series of Shale Gas Geology and Its Exploration and Development Practice" .2011. Research Progress of Shale Gas Geology in China (in Chinese)[M]. Beijing: Petroleum Industry Press . |
| [] | He Z X, Hu W B, Dong W B .2010. Petroleum electromagnetic prospecting advances and case studies in China[J]. Surveys in Geophysics, 31 (2) : 207–224. DOI:10.1007/s10712-009-9093-z |
| [] | Li L X .2005. The problem and countermeasure in seiamic survey in southern marine carbonate area of China[J]. Geophysical Prospecting for Petroleum (in Chinese), 44 (5) : 529–537. |
| [] | Liu X J .2003. The application of controlled-source EM methods in oil and gas exploration[J]. Geology and Prospecting (in Chinese), 39 (S) : 10–14. |
| [] | Wang C F, He Z X, Ge Y H. 2006. Lithology study using TFEM technique in western Qaidam Basin[C].//SEG Technical Program Expanded Abstracts. Expanded Abstracts. 825-829. |
| [] | Zhang C H, Liu X J, He L F, et al .2013. A study of exploration organic rich shales using time-frequency electromagnetic method (TFEM)[J]. Chinese Journal of Geophysics (in Chinese), 56 (9) : 3173–3183. DOI:10.6038/cjg20130930 |
| [] | Zhang W, Zhan S F, Zhang S H, et al .2010. Technical progress and development trend of petroleum geophysical prospecting in China[J]. Engineering Science (in Chinese), 12 (5) : 97–101. |
| [] | Zhao B L, He Z X, Wen B H .2005. Non-seismic technique for direct oil-gas detection and its exploration practice[J]. China Petroleum Exploration (in Chinese), 10 (6) : 29–37. |
| [] | Zhu X .2008. Problems of seismic exploration for marine hydrocarbon reservoirs in southern China and some countermeasures[J]. Progress in Exploration Geophysics (in Chinese), 31 (5) : 317–329. |
| [] | 李林新.2005. 南方海相碳酸盐岩油气区地震采集面临的问题和对策[J]. 石油物探, 44 (5) : 529–537. |
| [] | 刘雪军.2003. 人工源电磁技术在油气勘探中的应用[J]. 地质与勘探, 39 (增刊) : 10–14. |
| [] | 《页岩气地质与勘探开发实践丛书》编委会.2011. 中国页岩气地质研究进展[M]. 北京: 石油工业出版社 . |
| [] | 张春贺, 刘雪军, 何兰芳, 等.2013. 基于时频电磁法的富有机质页岩层系勘探研究[J]. 地球物理学报, 56 (9) : 3173–3183. DOI:10.6038/cjg20130930 |
| [] | 张玮, 詹仕凡, 张少华, 等.2010. 石油地球物理勘探技术进展与发展方向[J]. 中国工程科学, 12 (5) : 97–101. |
| [] | 赵邦六, 何展翔, 文百红.2005. 非地震直接油气检测技术及其勘探实践[J]. 中国石油勘探, 10 (6) : 29–37. |
| [] | 朱铉.2008. 中国南方海相油气区地震勘探中的问题与对策[J]. 勘探地球物理进展, 31 (5) : 317–329. |
2016, Vol. 31

