干岩石模量的求取,一直以来都是一个未完全解决的问题(张佳佳等,2010).干岩石模量本质上反映的是 在孔隙压力不变的条件下围压变化所引起的岩石体积的改变(伍向阳和陈祖安,2001).首先可以通过实验室直接测定干岩石的纵横波速度,通过速度公式计算得到干岩石的模量值,其次还可以借助经验公式(Han et al,1986)或者等效介质模型来获取干岩石弹性模量.
Dvormkin和Nur(1996)引入了高孔隙度砂岩理论模型的概念,结合临界孔隙度和Hertz-Mindlin接触理论可以有效计算干岩石模量,但是该模型对于富含石英的砂岩具有很好的应用效果,但是粘土含量相对较大时(>20%),取得的效果不是很好.目前在基于Gassmann方程(Berryman,1999;Smirh et al.,2003)进行流体替代的过程中,比较流行的等效介质模型主要有:Kuster-Tokoz模型(Kuster and ToksÖz,1974)、微分有效介质模型(DEM模型)、自适应模型(Budiansky,1965)等.它们的基本思路相似,将一种等效基质作为背景介质,包含物都是都是理想化的椭球包含物,包含物彼此隔离,将包含物加入到背景介质中形成有效介质,同时孔隙包含物的模量为零,用孔隙纵横比来描述孔隙的形状.基于以上模型的假设的局限性,因此不能很好的计算干岩石模量,不能得到很好的实际应用效果,同时通过实验分析获取的经验公式,也只能适用于某一个地区,具有很差的普适性,计算干岩石模量的精度难以满足要求.
本文首先分析研究Gassmann方程图形分析方法(Mavko and Mukerji,1995),其次近似求取临界孔隙度,最后结合图形分析方法,计算干岩石模量.同时应用实际岩样测试该方法的有效性,并同以上提到的诸多方法的效果进行对比分析,经过分析后,该方法取得了很好的应用效果,具有很好的研究意义.
1 方法原理 1.1 Gassmann方程岩石物理中一个重要的问题是流体替换,用来估计饱和不同流体的岩石速度的变化,流体替换的理论基础是Gassmann方程(Gassmann,1951),它建立了岩石体积压缩模量、孔隙度、孔隙流体的体积压缩模量、岩石骨架的体积压缩模量、基质矿物(颗粒)的体积压缩模量之间的关系,具体的表达式为
其中Ksat是饱和岩石的体积模量,Kdry是干岩石的体积模量,Km是基质的体积模量,Kf是孔隙流体的体积模量,φ是孔隙度.
1.2 疏松砂岩模型Dvorkin和Nur(1996)引人了两个高孔隙度砂岩理论模型,即疏松砂岩模型或“未固结线”,来描述当分选变差时,速度-孔隙度关系如何变化.“分选很好”的端元用分选很好的相似颗粒填充表示,“分选很好”的端元具有大约40%左右典型的临界孔隙度 .疏松砂岩模型把分选不好的砂岩表示为修改的“分选很好”的端元,修改是通过附加沉积在孔隙空间的小颗粒完成的,这些附加的颗粒使分选变差,降低了孔隙度,并且轻微的增加了岩石硬度.
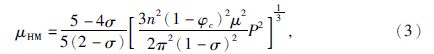
在临界孔隙度,干的分选很好的端元的弹性模量被模拟成一个易于受围压影响的弹性球充填的混合物.这些模量由Hertz-Mindlin理论给出(Mindlin,1949),即:
其中,KHM和μHM分别是临界孔隙度φc时干岩石的体积模量和剪切模量;P是有效压力即(围压和孔隙压力之差);μ和σ分别是固体相(基质)的剪切模量和泊松比;n是配位数(每个颗粒接触点的平均数).
配位数依赖于孔隙度(Murphy,1982),配位数和孔隙度之间的关系可以近似表示为:
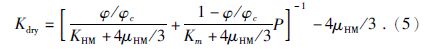
在孔隙度φ时,岩石骨架的比例(加入充填物降低孔隙度)是1-φ/φc,充填物的浓度是φ/φc,干的疏松砂岩混合物体积模量是:
Kuster和Toksoz(1974)用长波一阶散射理论推导了P波和S波速度的表达式,可用来计算多种包含物的等效模量;Budiansky(1965)与Hill(1965)提出了自洽模型,基本模型思想如下:将要求解的多相介质放置于无限大的背景介质中,该背景介质的弹性参数是任意可调的,通过调整背景介质的弹性参数,使得可调节的背景介质弹性参数与多相介质的弹性参数相匹配,当有一平面波入射时,多相介质不再引起散射,此时背景介质的弹性模量与多相介质的有效弹性模量相等;微分有效介质(DEM)通过往固体矿物相中逐渐加入包含物相来模拟双相混合物(Cleary et al.,1980;Norris,1985;Zimmerman,1991),包含物加入顺序的不同,会形成不同的等效介质.
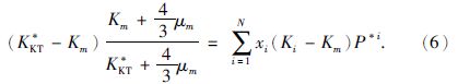
(1)K-T模型
其中i代表第i种包含物,对应体积含量是xi,而且:
系数P*i和Q*i是影响因子,描述了在背景介质m中加入包含物材料i后的效果.
(2)SCA模型
其中,各参数意义同上.
(3)DEM模型
初始条件是K*(0)=K1和μ*(0)=μ1,其中K1和μ1分别为初始材料的体积模量和剪切模量,K2和μ2分别为逐渐加入的包含物的体积模量和剪切模量,y为包含物的含量,等于孔隙度,P和Q是影响因子.
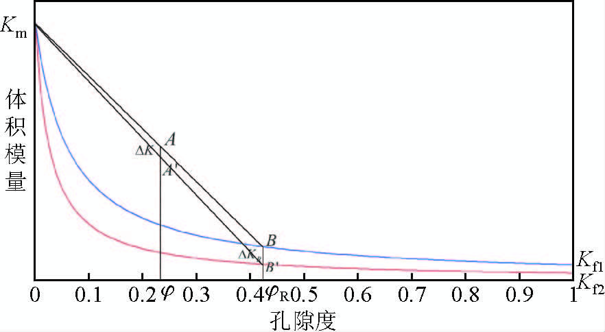
1.4 图形解释法Reuss平均(Reuss,1929)精确的描述了在孔隙流体中悬浮颗粒的情形下的等效模量,它描述了一个“破碎”材料(即固体碎片完全被孔隙流体包围)的等效模量,基本表达式为
Mavko和Mukerji(1995)用一种图解的方式,将流体替换和Reuss边界联系起来,图解的基本步骤如下:
(1)对于不同的两种流体Kf1,Kf2,根据Reuss平均作两条曲线;
(2)当孔隙度一定时,在K-φ平面内,标注饱和流体Kf1的Ksat,用点A表示;
(3)图 1连接过K=Km和点A的直线,并与流体Kf1的Reuss平均曲线相交于B点,B点的孔隙度即为临界孔隙度φR,在B点上下移动,与流体Kf2的Reuss平均曲线相交于B′点;
|
图 1 Gassmann方程的图形解释 Fig. 1 Graphical interpretation of Gassmann’s equation |
(4)连接过K=Km和点B′的直线,在A点处上下移动,与过点K=Km和点B′的直线,相较于点A′;
(5)点A′的体积模量就是流体替换后的饱和体积模量,体积模量变化为:
其中:ΔKGass是当岩石饱和不同的流体时,根据Gassmann理论预测的饱和岩石体积模量的变化,ΔKR是在临界孔隙度下,用Reuss平均计算的当岩石饱和不同流体后的体积模量的变化,两者成线性变化.
引入纵波模量:M=ρv2sat=K+4/3μ ;
对于流体:ΔMGass=Δ(K+4/3μ)Gass=ΔKGass .
在临界孔隙度处,固体颗粒悬浮在流体中,因此可以近似的认为临界孔隙度下的剪切模量为0,有:
其中,MR是临界孔隙度下的纵波模量,随着孔隙度增大,KR和MR的差异逐渐减小,方程(14)的精度逐渐提高,进一步可以推出:
可见方程(14)和方程(16)有着相同的形式,同时根据方程(15)的近似结果,假设在一定的孔隙度范围内,方程(15)近似成立,因此可以将纵波模量代入到Reuss平均方程和Gassmann方程中可得:
联立方程(17)、(18)可得:
在流体替换后的横波速度未知的前提下,结合方程(13)、(14)、(19)就可以计算在一定孔隙度下,流体替换后饱和岩石体积模量的变化量.公式为
流体替换中一个亟待解决的问题是干岩石模量的计算,结合流体替换,根据本文提出的方法,计算干岩石模量,对于干岩石,流体的体积模量满足Kf=0,因此,方程(20)可以进一步简化为
最终计算干岩石模量为
其中Ksat-f1是岩石饱和流体f1的等效体积模量.
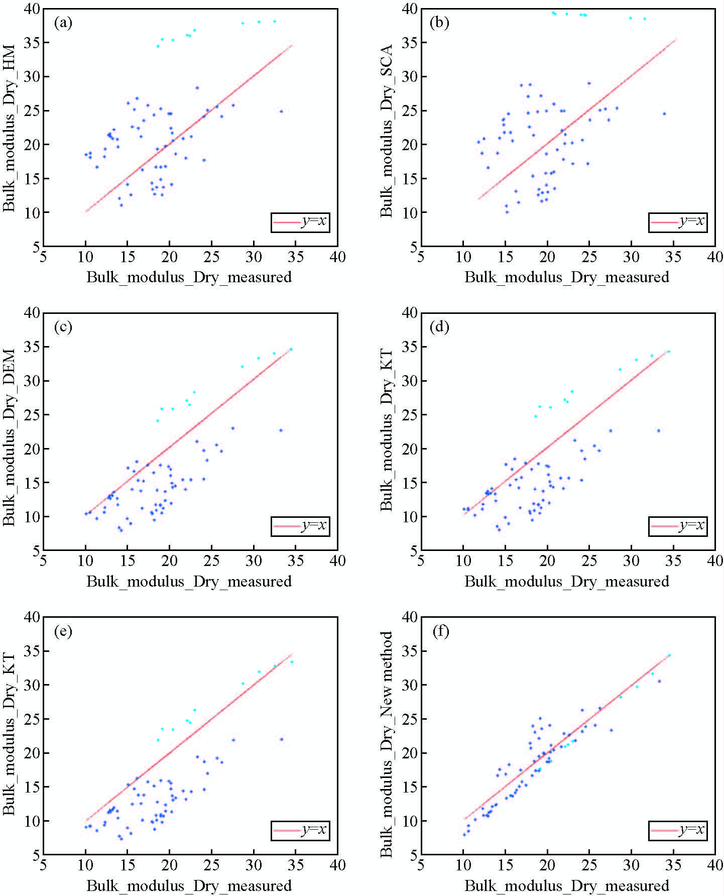
2 实际数据测试应用70块岩样数据对以上的方法的进行测试,首先在实验室中对岩样进行烘干,然后静置一段时间,使孔隙中的流体充分流出,然后用水饱和岩石,测量饱和岩石的纵横波速度,密度数据,计算饱和岩样的体积模量;重复上述步骤,获得干岩石骨架,测量干岩石模量;测量基质模量,将岩石基质模量用于以上方法的计算.将干岩石模量的真实值与各方法的预测结果进行对比,结果如图 2所示,(a)是疏松砂岩模型预测的结果,预测的结果和实际计算的结果相差较大,特别是纯净的砂岩(图中亮蓝色的点),误差较大;(b)是SCA模型预测的结果,孔隙纵横比a=0.3,预测的结果和实际计算的结果相差较大,特别是纯净的砂岩,误差更大;(c)是DEM模型预测的结果,孔隙纵横比a=0.3,预测的结果精度提高,特别是纯净砂岩;(d)是K-T模型预测的结果,孔隙纵横比a=0.3,预测结果比DEM模型结果稍好;(e)改变孔隙纵横比a=0.5,用K-T预测的结果,预测的结果和实际计算的结果线性关系更加好,但是误差还是不能满足要求;(f)用图形解释的方法预测的结果,该结果与实际计算的结果具有很好的关系,两者误差很小,效果很好.
|
图 2 实际岩样数据测试结果对比图 (a)疏松砂岩模型;(b)SCA模型,a=0.3;(c)DEM模型,a=0.3;(d)K-T模型,a=0.3;(e)K-T模型,a=0.5;(f)图形解释. Fig. 2 Comparison of the results predicted by different methods (a)Unconsolidated sandstone model;(b)SCA model,a=0.3;(c)DEM model,a=0.3;(d)K-T model,a=0.3;(e)K-T model,a=0.5; (f)the method of graphical interpretation. |
3.1 本文结合Gassmann方程的图形解释,推导出一种计算干岩石模量的新方法,同时结合实际岩样数据进行验证,实验结果表明该方法比其他几种方法具有更高的精度与适用性.
3.2 同时在实际的计算过程中发现孔隙纵横比对SCA、DEM的影响比较小,对于SCA模型,主要是由于迭代方法的局限性,对于DEM模型,主要是由于龙格库塔法的平均效应,削减了孔隙纵横比的影响.
3.3 下一步的工作是考虑将该方法应用到实际的井上,结合流体替换,研究流体的压缩系数.
| [1] | Berryman J G. 1999. Origin of Gassmann's equations[J]. Geophysics, 64(5): 1627-1629. |
| [2] | Biot M A. 1956. Theory of propagation of elastic waves in a fluid-saturated porous solid. I. low-frequency range[J]. The Journal of the Acoustical Society of America, 28(2): 168-178. |
| [3] | Carmichael R S. 1989. Practical Handbook of Physical Properties of Rocks and Minerals[M]. Boca Raton: CRC Press. |
| [4] | Castagna J P, Batzle M L, Eastwood R L. 1985. Relationships between compressional-wave and shear-wave velocities in clastic silicate rocks[J]. Geophysics, 50(4): 571-581. |
| [5] | Gassmann F.1951.Uber elastizitat poroser medien[J].Vier Der Natur Gesellschaft:96,1-23. |
| [6] | Greenberg M L, Castagna J P. 1992. Shear-wave velocity estimation in porous rocks: Theoretical formulation, preliminary verification and applications[J]. Geophysical Prospecting, 40(2): 195-209. |
| [7] | Han D H, Nur A, Morgan D. 1986. Effects of porosity and clay content on wave velocities in sandstones[J]. Geophysics, 51(11): 2093-2107. |
| [8] | Hashin Z, Shtrikman S. 1963. A variational approach to the theory of the elastic behaviour of multiphase materials[J]. Journal of the Mechanics and Physics of Solids, 11(2): 127-140. |
| [9] | Hilterman F J. 2001. Seismic Amplitude Interpretation[M]. Tulsa: Society of Exploration Geophysicists. |
| [10] | Li H B, Zhang J J, Yao F C. 2013. Inversion of effective pore aspect ratios for porous rocks and its applications[J]. Chinese Journal of Geophysics (in Chinese), 56(2): 608-615, doi: 10.6038/cjg20130224. |
| [11] | Liu H J.2009.Summarization of Seismic Rock Physics Research.Petroleum Geophysics,7(3):1-8. |
| [12] | Kuster G T, Toksöz M N. 1974. Velocity and attenuation of seismic waves in two-phase media: Part I. theoretical formulations[J]. Geophysics, 39(5): 587-606. |
| [13] | Marion D, Nur A. 1991. Pore-filling material and its effect on velocity in rocks[J]. Geophysics, 56(2): 225-230. |
| [14] | Mavko G, Jizba D. 1991. Estimating grain-scale fluid effects on velocity dispersion in rocks[J]. Geophysics, 56(12): 1940-1949. |
| [15] | Mavko G, Mukerji T. 1995. Seismic pore space compressibility and Gassmann's relation[J]. Geophysics, 60(6): 1743-1749. |
| [16] | Mavko G, Mukerji T, Dvorikin J. 1998. The Rock Physics Handbook: Tools for Seismic Analysis in Porous Media[M]. New York: Cambridge University Press. |
| [17] | Mukerji T, Berryman J, Mavko G, et al. 1995. Differential effective medium modeling of rock elastic moduli with critical porosity constraints[J]. Geophysical Research Letters, 22(5): 555-558. |
| [18] | Nur A. 1992. Critical porosity and the seismic velocities in rocks: EOS[J]. Transactions American Geophysical Union, 73: 43-66. |
| [19] | Reuss A. 1929. Berechnung der flieβgrenze von mischkristallen auf grund der plastizittsbedingung für einkristalle[J]. Journal of Applied Mathematics and Mechanics/Zeitschrift für Angewandte Mathematik und Mechanik, 9(1): 49-58. |
| [20] | Sun F L, Yang C C, Ma S H, et al. 2008. An S-wave velocity predicted method[J]. Progress in Geophysics (in Chinese), 23(2): 470-474. |
| [21] | Voigt W. 1928. Lehrburch der Kristallphysik[M]. Leipzig: Teubner Press. |
| [22] | Wang Z J, Nur A M. 1988. Velocity dispersion and the "local flow" mechanism in rocks[C].//58th Ann. Internat. Mtg., Soc. Expl. Geophys. Expanded Abstracts, 928-930. |
| [23] | Winkler K W. 1985. Dispersion analysis of velocity and attenuation in Berea sandstone[J]. Journal of Geophysical Research, 90(B8): 6793-6800. |
| [24] | Wu X Y, Chen Z A. 2001. Calculations of bulk moduli of dry rocks[J]. Chinese Journal of Geophysics (in Chinese), 44(S1): 146-151, doi: 10.3321/j.issn:0001-5733.2001.z1.018. |
| [25] | Yin H, Nur A, Mavko G. 1993. Critical porosity—a physical boundary in poroelasticity[J]. International Journal of Rock Mechanics and Mining Sciences & Geomechanics Abstracts, 30(7): 805-808. |
| [26] | Zhang J J, Li H B, Liu H S, et al. 2010. Accuracy of dry frame models in the study of rock physics[J]. Progress in Geophysics (in Chinese), 25(5): 1697-1702, doi: 10.3969/j.issn.1004-2903.2010.05.024. |
| [27] | Zhang J Q,Qu S L,Sun J G,et al.2010.A fluid substitution realization method in carbonate reservoir[J].Oil Geophysical Prospecting,45(3):406-409,422. |
| [28] | 李宏兵, 张佳佳, 姚逢昌. 2013. 岩石的等效孔隙纵横比反演及其应用[J]. 地球物理学报, 56(2): 608-615, doi: 10.6038/cjg20130224. |
| [29] | 刘浩杰. 2009. 地震岩石物理研究综述[J]. 油气地球物理, 7(3): 1-8. |
| [30] | 孙福利, 杨长春, 麻三怀,等. 2008. 横波速度预测方法[J]. 地球物理学进展, 23(2): 470-474. |
| [31] | 伍向阳, 陈祖安. 2001. 干岩石体积模量估计[J]. 地球物理学报, 44(S1): 146-151, doi: 10.3321/j.issn:0001-5733.2001.z1.018. |
| [32] | 张佳佳, 李宏兵, 刘怀山,等. 2010. 几种岩石骨架模型的适用性研究[J]. 地球物理学进展, 25(5): 1697-1702, doi: 10.3969/j.issn.1004-2903.2010.05.024. |
| [33] | 张金强, 曲寿利, 孙建国,等. 2010. 一种碳酸盐岩储层中流体替换的实现方法[J]. 石油地球物理勘探, 45(3): 406-409, 422. |
2016, Vol. 31

