时深标定是联系时间域(地震)与深度域(测井、钻井)的桥梁和纽带,也是油气勘探、开发工作的基础(李国发等,2008).随着VSP资料的出现和广泛应用,用VSP时深关系进行标定逐渐成为时深标定的主流.但在标定过程中,经常出现VSP时深关系与偏移剖面对应不上的情况.
根据不同的地质情况,结合多年油田实际资料标定经验和理论研究,笔者将VSP时深关系与偏移剖面不对应的情况归纳为水平地层、倾斜地层、断层附近和靠近高速地层等四种情况.
1 VSP与偏移剖面时差形成原因分析1.1 VSP时差形成原因分析1.1.1 理论分析为了便于对比和分析,引入理论时深关系的概念(姜本厚等,2012),在这里将VSP测量时间与理论时间的差值定义为VSP时差.由于地震波传播遵循费马定理的最短走时原则,因此当深度路径跟时间路径不一致时,就会产生VSP时差.下面就不同地层情况下产生的VSP时差进行探讨:
1) 水平地层
当井钻遇的是水平地层时,根据费马定理的最短走时原则,VSP时间的传播路径跟VSP深度路径一致,且VSP时间等同于理论时间,此时VSP时深关系等同于理论时深关系,不存在VSP时差(图 1).
|
图 1 水平地层VSP传播路径示意图 Fig. 1 The schematic diagram of VSP propagation path in horizontal stratum |
2) 倾斜地层
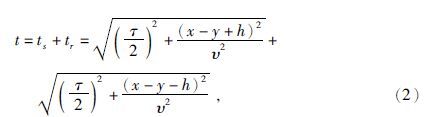
当井钻遇的是倾斜地层时,VSP时间不再沿深度路径传播,而是沿用时最短的折线路径传播,VSP时间不再等同于理论时间.如图 2所示,设倾斜地层的倾角分别为θi(i=1,2,…,n),入射波与地层法向的夹角为αi,入射波到达每个倾斜界面的偏移距为xi,地层的速度为vi,井点处的地层厚度为hi.则在井中海拔深度为Z处,VSP时间计算公式为
|
图 2 倾斜地层VSP传播路径示意图< Fig. 2 The schematic diagram of VSP propagation path in inclined stratum |
3) 断层附近
当井位于断层的下降盘,未钻穿断层时,断层下降盘的地层较相同深度的上升盘地层要新,地层速度也相应较小,波在传播时走折线路径的时间大于走深度路径的时间,因此,跟水平地层的情况一样,其时间路径和深度路径也是一致的,不存在VSP时差(图 3).
|
图 3 位于断层下降盘的井正演模型 Fig. 3 The forward model that well is located at the footwall of the fault |
当井钻穿断层时,跟倾斜地层的情况类似,其VSP时间也不再沿深度路径从震源传到检波器,而是沿用时最短的折线路径传播,因此也会产生VSP时差(图 4).
|
图 4 钻穿断层的井正演模型 Fig. 4 The forward model that well drills through the fault |
4) 靠近高速地层
如图 5所示,在靠近高速异常体的位置钻井时,由于钻井位置地层速度较小,而临近的高速异常体的地层速度较大,其VSP时间不再沿速度较小的深度路径传播,而是沿走时最短的曲线路径传播,因此也会产生VSP时差.
|
图 5 靠近高速地层的井的正演模型 Fig. 5 The forward model that well is close to the high velocity stratum |
此外,在实际的VSP处理过程中,未作潮差校正、VSP初至拾取不准、枪深和偏移距校正时的人为失误以及地层非均匀性的影响是引起VSP时差的其它来源.
1.1.2 VSP正演模拟为了验证VSP理论分析的结果,本文借助有限差分波动方程正演模拟方法对不同地层情况进行了研究.为了使理论与实践相结合,正演过程采用理论模型和实际井模型两种方式.
在探讨参数变化对VSP时间的影响时,采用理论模型进行正演.首先确定每个地层的速度和密度及倾角等模型参数,用波动方程正演其VSP时间,通过模型参数的变化查明VSP时差的主要影响参数.
在油田实际资料的正演方面,对于测量了VSP资料的井,采用实际井模型进行正演.为了明确其VSP时差的大小,用该井的实测声波和密度曲线来近似模拟真实地层情况,正演模型采用水平地层形式,因为水平地层模型在VSP正演时,深度路径和时间路径是一致的.将VSP正演的初至时间和VSP实测数据进行对比,就可以明确每口井VSP时差的大小.
1) 水平地层
对于钻遇水平地层的井,其正演结果和实测结果具有很好的一致性(图 6),说明在水平地层情况下测量的VSP时深关系是可靠的.
|
图 6 水平层正演与井实测结果对比图 Fig. 6 Comparison chart of the measured result and the forward result of the horizontal stratum |
2) 倾斜地层
当井钻遇倾斜地层时,正演结果跟实测结果之间存在VSP时差(图 7),其VSP时差的大小主要跟地层的倾角有关.
|
图 7 倾斜层正演与井实测结果对比图 Fig. 7 Comparison chart of the measured result and the forward result of the inclined stratum |
3) 断层附近
如图 3所示,位于断层下降盘的井,跟水平地层的情况一样,其正演结果和实测结果也具有很好的一致性(图 8),说明位于断层下降盘的井测量的VSP时深关系也是可靠的.
|
图 8 断层下降盘与水平层正演结果对比 Fig. 8 Comparison of the forward results of the footwall of fault and the horizontal stratum |
如图 4所示,对于钻穿断层的井,断层与水平层的正演结果也存在差异(图 9),其VSP时差的大小主要跟断层的断距、断层的倾角以及断层两盘的地层速度差异有关.
|
图 9 钻穿断层与水平层正演结果对比 Fig. 9 Comparison of the forward results of the drilled fault and the horizontal stratum |
4) 靠近高速地层
如图 5所示,当井靠近高速地层时,其与水平层的正演结果也存在差异(图 10),其VSP时差的大小主要跟井与高速地层的距离以及井与高速地层的地层速度差异有关.
|
图 10 靠近高速地层与水平层正演结果对比 Fig. 10 Comparison of the forward results of closing to high velocity stratum and the horizontal stratum |
综上所述,在所有引起VSP时差的因素中,钻穿倾斜地层、 断层及靠近高速地层的井,它们引起的VSP时差无疑是主导性的.由于未作潮差校正和VSP初至拾取不准(刘海河,2004)以及地层不均匀造成的时差一般较小,可以通过平移VSP时深关系进行校正.
1.2 偏移剖面时差形成原因分析本文将偏移剖面与理论时间的差值定义为偏移剖面时差.
1.2.1 理论分析根据叠前偏移理论(渥·伊尔马滋,2006),在速度为 v 的常速介质中,如图 11所示,是从震源S到接收点R 的地震波的传播路径,其走时满足双平方根方程为
|
图 11 叠前时间偏移的几何关系 Fig. 11 The geometric relationship of pre-stack time migration |
常规叠前时间偏移就是按上述时距关系将散射能量偏移归位到散射点正下方的τ时间.
在理论情况下,地下某一深度的分界面,其地震反射波在偏移剖面上出现的时间应该是唯一的.但研究发现,同一次采集的资料经过两次处理后经常存在时差.要使两个资料较好的对应,经常需要整体时移,有的甚至还要反转极性.而且,两次处理资料的时差往往是时变的.
从叠前时间偏移的理论入手,通过详细分析,本文认为以下因素是引起偏移剖面时差的主要原因:
1) 纵向速度拾取不准是引起偏移剖面时差的主要来源
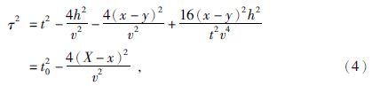
由叠前时间偏移脉冲响应椭圆方程和双平方根走时方程出发,根据图 11中的几何关系可以得到DMO校正后反射的双程走时t0与双程走时t的关系式为
若要获得准确的双程偏移时间τ,就需要准确的地层速度v.因此速度分析时拾取的速度准确程度和精度将直接影响到双程偏移时间τ的求取准确度和偏差.当拾取的速度比真实速度偏大时,双程偏移时间τ就会比真实时间偏大;当拾取的速度比真实速度偏小时,双程偏移时间τ就会比真实时间偏小.在速度不准的情况下,偏差大小会随偏移距增大而增大.
1.2.2 正演模拟为了验证速度不准对成像结果的影响,利用具有一个水平分界面的简单模型进行正演模拟,明确速度不准对成像结果的影响情况并进行分析.如图 12所示,假定初始模型为两层,第一层Vp为2000 m/s,第二层Vp为2500 m/s,密度为1.5 g/cm2.利用原始的真实模型进行正演,获得炮记录.然后利用该炮记录对所有速度模型进行成像.
|
图 12 初始模型 Fig. 12 The initial model |
使用不同的速度,查看成像结果偏离真实结果的情况.当速度使用真实速度时,成像的地层分界面跟真实界面保持一致(图 13a),当速度比真实速度偏低时,成像结果比真实结果偏浅(图 13b、c),而且速度比真实速度低的越多,成像结果比真实结果浅的也越多;当速度比真实速度偏高时,成像结果比真实结果偏深(图 13d、e),速度比真实速度高的越多,成像结果比真实结果深的也越多.
|
图 13 利用不同速度的成像结果与真实结果的对比 (a)速度为原始模型速度时的成像结果与真实结果对比;(b)速度为原始模型速度90%时的成像结果与真实结果对比;(c)速度为原始模型速度80%时的成像结果与真实结果对比;(d)速度为原始模型速度110%时的成像结果与真实结果对比;(e)速度为原始模型速度120%时的成像结果与真实结果对比. Fig. 13 Comparison of real result and imaging results using different (a)Comparison of real result and imaging result using the original velocity;(b)Comparison of real result and imaging result using the 90% original velocity; (c)Comparison of real result and imaging result using the 80% original velocity; (d)Comparison of real result and imaging result using the 110% original velocity;(e)Comparison of real result and imaging result using the 120% original velocity |
在实际地震资料处理中,由于浅层的地震波能量较强,能量团在速度谱上比较集中,容易识别和拾取,因此浅层的速度拾取比较准确,其求取的双程偏移时间也准确,误差一般较小;随着深度增加,地震有效波能量逐渐衰减,多次波及干扰波的影响加大,速度谱上能量团一般较分散,速度的准确拾取变得困难,加上拾取的精度有限,使拾取的速度与真实速度的偏差往往也越来越大,误差也随之增大.
此外,偏移剖面时差的其它来源还包括实际资料处理过程中反褶积等与子波处理相关的处理手段引起相位变化造成的偏移剖面时差、各向异性引起的偏移剖面时差、偏移方法差异引起的偏移剖面时差、速度横向变化引起的偏移剖面时差等.
总之,纵向速度拾取不准、相位变化、各向异性、偏移方法差异等因素都会造成偏移剖面产生时差.而且偏移剖面时差是不容忽视的,甚至是时深调整的主要原因.而纵向速度拾取不准是造成偏移剖面时差的主要影响因素.
2 时深调整方案VSP和偏移剖面时差形成原因分析的最终目的是为了指导时深调整,建立深度域地层界面与时间域地震反射轴间的正确对应关系(张永华等,2004).由于时深标定是以实际偏移剖面为标准进行的,所以在VSP时深关系比较准确或者已经进行了VSP时差校正的情况下,为了达到井(深度域)与地震(时间域)的正确对应关系,VSP时深关系依然需要调整.
时深调整的总体方案:
1) 在浅层,以整体平移为主
在浅层,地层主要以水平地层为主,理论分析和正演模拟都表明,其基本不存在VSP时差. 而VSP由于未作潮差校正和VSP初至拾取不准以及地层不均匀等因素虽然会产生VSP时差,但时差一般也比较小,因此浅层的VSP时差总体不大.
而在处理过程中经常发现同一次采集两次处理的资料经常存在时移,说明水平层的时差主要是偏移剖面引起的.但这个时差不是因为速度拾取不准引起的,因为地震波在浅层中传播时能量损失较小,地震分辨率较高,速度分析时能量团比较集中,速度的准确拾取比较容易,由于速度拾取不准造成的偏移剖面时差也往往较小.因此,水平层的偏移剖面时差主要是由于处理过程中反褶积等与子波处理相关的处理手段所引起的.
由于VSP和偏移剖面产生的主要是系统时差,因此在浅层主要通过整体平移VSP时深关系来进行调整.
2) 在深层,以局部拉伸为主
对于深层而言,当地层为水平层时,不存在VSP时差,但会存在速度拾取不准和相位变化等因素引起的偏移剖面时差,此时VSP时深关系需要向下局部拉伸;当地层为倾斜层时,会存在VSP时差,需要对VSP时深关系向下局部拉伸才能校正VSP时差的影响,同时倾斜层也存在速度拾取不准和相位等因素引起的偏移剖面时差,要校正偏移剖面时差的影响,也需要将VSP时深关系向下局部拉伸,总体而言,VSP时深关系也需要向下局部拉伸.
当在深层钻遇特殊地层时,如存在像深层欠压实等形成的低速地层,在速度拾取时往往拾取的速度偏大,根据叠前双平方根方程计算的偏移时间就会偏大,因此低速地层段需要进行局部拉伸;而像地层胶结作用或者岩浆喷发等形成的高速地层,在速度拾取的时候往往拾取的速度偏小,导致计算的偏移时间往往偏小,故高速地层段就需要进行局部压缩.
3) 在断层和靠近高速地层,以局部拉伸为主
在断层和靠近高速地层处,钻穿断层和靠近高速地层的井本身会产生一定的VSP时差.另外,由于断层和靠近高速地层的地层较陡,叠前偏移方法很难准确的归位,也会产生偏移剖面时差,这些地质情况下的调整也主要是以局部拉伸为主.
3 应用实例3.1 水平层时深调整主要是偏移剖面时差引起的A构造位于渤海北部海域,为了证实VSP、偏移剖面与理论时深关系的差异,对该区测了VSP的A-1井进行了实际应用.如图 14所示,A-1井钻遇的地层近似为水平地层.
|
图 14 A构造连井剖面图 Fig. 14 Well across profile chart of the A structure |
该区地震资料先后在1998年和2005年进行了两次处理.两次处理资料存在时差,在目的层段(1.3~2 s),将老资料上移10 ms并反转极性可与新资料较好的对应(图 15).
|
图 15 老剖面反极性并上移10 ms后与新资料对比 Fig. 15 Comparison of the reverse polarity of the old section and move up the 10 ms with the new data |
该区时深标定是在新资料基础上进行的.为了使合成记录与偏移剖面有较好的对应关系,A-1井实测VSP时深关系先向下平移18 ms,再向下局部拉伸15 ms(图 16).
|
图 16 A-1井时深调整前、后的合成记录对比 Fig. 16 Comparison of the synthetic seismograms before and after the time-depth relationship adjustment in well A-1 |
用A-1井的实测声波和密度曲线来近似模拟真实地层情况.VSP正演和对比结果表明,A-1井VSP正演的初至时间与VSP实测结果有较好的一致性.说明水平地层的VSP时深关系是可信的.
综上所述,水平地层的时深调整主要是偏移剖面时差引起的.因为处理过程中与子波处理相关的操作在一定程度上会改变地震剖面的相位,造成一定的时移,另外,随着深度的增加,噪声等干扰波的影响加大,速度拾取时速度谱能量团分散,速度的拾取变得困难,容易造成速度拾取不准,从而产生一定的偏移剖面时差.因此水平地层的偏移剖面时差来源于相位变化和速度拾取不准.
3.2 低速泥岩段拾取速度偏高是偏移剖面时差的主要来源B-1井位于渤海中部海域,且该井测了VSP资料,如图 17所示,在深层,用原始VSP时深关系标定的合成记录与叠前时间偏移剖面差别较大,需要进行95 ms的局部拉伸才能达到较好的对应关系,而且调整量主要集中在3500 m以下.
|
图 17 B-1井时深调整前、后的合成记录对比 Fig. 17 Comparison of the synthetic seismograms before and after the time-depth relationship adjustment in well B-1 |
从过井地震剖面来看(图 18),该井钻遇的地层既存在倾斜层又钻穿了断层,因此需要明确地层倾斜和钻穿断层所引起的VSP时差的大小.该井VSP正演的初至时间和实测数据对比如图 19所示,从图中来看,VSP正演的初至时间比VSP实测结果要大,且随地层倾角而变化,这跟VSP原理是一致的.对比结果表明,由于倾斜地层和钻穿断层引起的VSP时差大致为35 ms.
|
图 18 过B-1井地震剖面 Fig. 18 Seismic profile across B-1 well |
|
图 19 B-1井VSP正演与实测结果对比 Fig. 19 Comparison of VSP forward and measured result in well B-1 |
除去由于地层倾斜和钻穿断层引起的35 ms的VSP时差,分析认为剩余的60 ms时差是由偏移剖面时差引起的.如图 20所示,该井纵波速度在3800~4800 m处出现明显的低速段,该低速段对应东二下和东三段的大套泥岩沉积,而叠加速度转化为地震层速度后明显高于实测的声波速度.结合上述(3)和(4)式可知,当拾取的地震速度比地层真实速度偏大时,双程走时和双程偏移时间的计算结果都会偏大,因此该井产生的偏移剖面时差主要是由低速泥岩段速度拾取偏高造成的.
|
图 20 B-1井地震速度与实测声波速度对比 Fig. 20 Comparison of seismic velocity and measured acoustic velocity in well B-1 |
4.1 倾斜地层、钻穿断层、靠近高速地层处都会引起VSP时差.倾斜地层的VSP时差主要跟地层的倾角有关;钻穿断层的VSP时差主要跟断层的断距、断层的倾角以及断层两盘的地层速度差异有关;而靠近高速地层的VSP时差主要跟井与高速地层的距离以及井与高速地层的地层速度差异有关.
4.2 偏移剖面时差普遍存在且不容忽视.不论是水平地层还是倾斜地层,偏移剖面时差普遍存在,有时偏移剖面时差甚至是时深调整的主要来源.
4.3 时深调整过程中,在浅层,应以整体平移为主;在深层,应以局部拉伸为主;在断层和靠近高速地层处,也是以局部拉伸为主.
4.4 VSP和偏移剖面时差形成原因分析是精细时深调整的保障.对于已钻井而言,当反射界面明显时,虽然在不清楚时差来源时,也能根据界面特征进行调整,但很多情况下,当反射界面并不明显时,不了解时差来源,时深调整就会变得盲目,甚至无所适从.对于新区探井,明确时差的来源,就可以根据地质情况,提前预判时差类型及其大小,更准确的预测目的层深度.
4.5 合理的时深调整是中深层储层预测的基础.中深层储层预测是目前研究的热点,但中深层的标定难度比浅层要大很多,没有合理的时深标定作为基础,储层位置的准确把握就变得困难,认识也会产生偏差.合理的时深调整也利于准确的时深转换.
致 谢 感谢审稿老师和编辑部的支持和帮助.
| [1] | Jiang B H, Shen Z H, Zhang P P, et al. 2012. VSP time-depth calibration in tilted stratum[J]. Oil Geophysical Prospecting (in Chinese), 47(4): 598-604. |
| [2] | Li G F, Liao Q J, Wang S X, et al. 2008. Discussions about horizon calibration based on well-log synthetic seismogram[J]. Geophysical Prospecting for Petroleum (in Chinese), 47(2): 145-149. |
| [3] | Liu H H. 2004. On accurately acquiring time-depth relationship using VSP data[J]. Well Logging Technology (in Chinese), 28(4): 289-291, 295. |
| [4] | Yilmaz O Z. 2006. Seismic Data Analysis: Processing, Inversion, and Interpretation of Seismic Data (in Chinese)[M]. Liu H S, Wang K B, Tong S Y, et al, Trans. Beijing: Petroleum Industry Press. |
| [5] | Zhang Y H, Chen P, Zhao Y Q, et al. 2004. Integrative layer-labeling technique based on synthetic seismogram[J]. Oil Geophysical Prospecting (in Chinese), 39(1): 92-96. |
| [6] | 姜本厚, 沈章洪, 张平平等. 2012. 倾斜地层的VSP时深标定研究[J]. 石油地球物理勘探, 47(4): 598-604. |
| [7] | 李国发, 廖前进, 王尚旭等. 2008. 合成地震记录层位标定若干问题的探讨[J]. 石油物探, 47(2): 145-149. |
| [8] | 刘海河. 2004. 准确求取VSP时间——深度关系的探讨[J]. 测井技术, 28(4): 289-291, 295. |
| [9] | 渥·伊尔马滋. 2006. 地震资料分析——地震资料处理、反演和解释[M]. 刘怀山, 王克斌, 童思友等译. 北京: 石油工业出版社. |
| [10] | 张永华, 陈萍, 赵雨晴等. 2004. 基于合成记录的综合层位标定技术[J]. 石油地球物理勘探, 39(1): 92-96. |
2016, Vol. 31

