岩土物性研究是地球物理、地球化学、矿冶等地球学科的重要基础之一,从以往的研究可以清楚地认识到:岩土物性在很大程度上决定着地质活动进程(岩浆活动、变质作用及成矿过程)(郭佑民等,1989;杨建平等,2005),而且,获取准确的岩土物性参数有助于利用地球物理数据反演地下岩层的性质(印兴耀等,2014),因此,它是分析各种地球物理勘探方法适用性的前提,是开展各种方法对比、综合解释、评价的必要条件.目前,国内外主要研究各类岩土物性参数(电阻率、密度、弹性参数、放射性等之间的关系)之间的内在联系(姚秀云等,1989;于萍等,2001;董崇志等,2013)及其影响因素,如温度、压力、湿度等对物性参数变化的影响(Brace WF et al.,1968;北京大学地球物理系等,1978;赵玉林等,1983;林桦,1991;马瑞等,1996;仵彦卿等,2000;张新红等,2001;丁卫华等,2006;乔二伟等,2012).地球物理探测方法均是依据地下各岩、土层存在物性差异为前提,忽略物性参数研究,地球物理探测效果往往有不好的结果(尹青等,2001;张余芝等,2001;余钦范等,2002).本文在来宾市吉利村塌陷试验区对岩土电阻率、波速、密度等参数进行了测试并总结其变化规律,为该项目中地球物理方法选择、实施提供了可靠的依据.
1 测区地质条件概况研究区位于广西来宾市兴宾区良江镇吉利村岩溶塌陷区,柳南高速公路于吉利村西沿吉利水库边缘通过,最近处距吉利村约150 m;来宾至小平阳县级公路西距吉利村约1 km,两者间有村级公路相连,交通较为便利.在地球物理勘探方法选取之前,笔者主要选取第四纪土层和具有代表性的石炭系灰岩样品进行相关的物性研究(图 1),并对样品的电阻率,密度,波速等参数进行了物性测试.
![]() |
图 1 区域构造图及样品分布图 (a)塌陷区区域地质简图;(b)塌陷区物探测线布置图. 1-第四系,2-白垩系下统,3-三叠系,4-二叠系下统,5-二叠系中统, 6-石炭系-二叠系下统,7-石炭系中统, 8-地层界线, 9-正断层, 10-性质不明断层,11-推测断层及编号,12-塌陷区, 13-完整岩石分布区, 14-沉陷区, 15-地下水流向,16-物探钻孔及编号,17-物探测线及编号, 18-高速公路,19-村庄,20-土样及编号,21-岩样及编号 Fig. 1 Regional tectonic map and sample distribution chart |
研究区地貌类型属溶蚀堆积-残峰残丘平原地貌,总体地势南高北低,丘包与孤峰相伴发育,总体上地表平坦,稍呈波状起伏.
研究区处于桂林-来宾断裂带内,地质构造复杂;区域上褶皱断裂发育,构造线呈北东-北北东走向,如图 1.
2 物性测试方法笔者主要选取第四纪土层和塌陷区具有代表性的石炭系灰岩样品进行电阻率、密度、波速等物性参数的测试.电阻率的参数是通过对岩土层野外露头进行小四极电阻率测试获取,波速是通过钻孔纵波速测试获取;密度测试则在室内完成.具体的测试方法、技术分述如下.
2.1 野外电阻率测试方法:对称小四极法;
技术:通过钢卷尺量距,选取极距参数,对于岩石露头选取AB/2=1.0 m,MN/2=0.1 m及AB/2=0.8 m,MN/2=0.1 m极距.对于土层,选取极距AB/2=1.5 m,3.0 m,4.5 m,MN/2=0.5 m,1.0 m,1.5 m;供电电流至少在1 mA以上,确保有效信号的强度.
目的:不同的极距反应不同深度介质的电阻率变化情况,并对应不同的岩土层位.
分别选取17个岩石露头样品和17个土样进行电阻率测试,样品分布位置如图 1所示.
2.2 密度测试岩样密度测试采用水中称量法,土样密度测试采用环刀法.以上两种样品的密度测量检测依据:
土工试验方法标准GB/T 50123-1999和工程岩体试验方法标准GB/T 50266-99.野外分别采取17个岩样,17个浅坑土样及12个钻孔土样(其中ZK1钻孔5个样品,ZK2钻孔3个样品,ZK3钻孔4个样品进行测试分析).
2.3 单孔波速测试方法:单孔地震纵波波速测试
技术:采用锤击、点测方式,偏移距2 m,记录长度2048,采样间隔:0.1 ms,测点点距:1 m.
目的:选取各道记录的P波初至时间作为反演计算各层速度模型的时间参数,利用纵波速度大小、突变点对地下介质进行速度分层.
分别选取ZK2、ZK3、ZK4等三个钻孔进行波速测试,钻孔布置图见图 1.
3 数据处理与分析3.1 电阻率实测数据统计结果由图 2所示的电阻率-频率分布直方图可知,各类岩土实测电阻率数据分布大致符合正态分布,表明数据采集质量可靠.表 1显示,岩石的电阻率远大于土层的电阻率.其中,岩石视电阻率主要集中分布在1000~60000 Ω·m之间,完整灰岩和裂隙灰岩平均值分别为23349.8 Ω·m和2580.11 Ω·m;耕植土的视电阻率主要集中分布在100~200 Ω·m之间,平均值为172.19 Ω·m;粉质粘土视电阻率集中分布在100~300 Ω·m之间,平均值为200.14 Ω·m;含碎石粉质粘土视电阻率主要集中分布在500~1500 Ω·m之间,平均值为1079.37 Ω·m;由此可知各类介质电阻率差异明显.由表 1还可知,岩土实测电阻率数据变异系数都在0.4以上,表明岩土实测电阻率数据离散性较大,主要原因是:(1)灰岩电阻率的变化范围较大,从n~n×107 Ω·m(王钟等,1986),岩石电阻率分布的离散性较大;(2)数据采集存在误差;(3)孔隙度、松散性、含水性等都对电阻率有不同程度的影响,导致同种类型岩土的电阻率值也有偏差(于萍等,2001).
![]() |
图 2 岩土电阻率分布图 (a)耕植土;(b)粉质粘土;(c)含碎石粉质粘土;(d)岩石. 注:因灰岩电阻率变化区间较大,因此裂隙灰岩与完整灰岩作一类岩石讨论 Fig. 2Resistivity distribution of rock and soil samples |
|
|
表 1 岩土样电阻率参数计算表 Table 1 Calculation of rock and soil resistivity parameters |
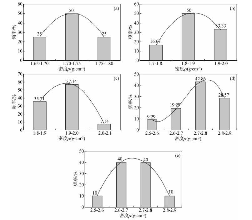
各类岩土层密度实测数据的统计计算见表 2,其统计数据直方图详见图 3.密度小的介质加入导致裂隙灰岩密度均值小于完整灰岩;土层密度值变化区间较小,其中,耕植土的密度介于1.68~1.76 g/cm3之间,平均值为1.73 g/cm3;粉质粘土密度介于1.8~1.94 g/cm3,平均值为1.87 g/cm3;含碎石粉质粘土的密度介于1.8~2.1 g/cm3之间,平均值为1.90 g/cm3.耕植土的密度最小,粉质粘土和含碎石粉质粘土密度平均值接近,但含碎石粉质粘土密度值的变化区间较大,与碎石成分的多变有关.另外从标准差和变异系数(基本小于0.1)的值可知,数据分布较集中,各类岩土密度测量数据的平均值具有较强的代表性.但回归系数存在变化,主要是因为不同类的地基土采用统一的回归修正系数来确定标准值不合适(乔来军,1994).
|
|
表 2 岩土样密度参数计算表 Table 2 Calculation of rock and soil density parameters |
![]() |
图 3 岩土样的密度分布图 (a)耕植土;(b)粉质粘土;(c)含碎石粉质粘土;(d)裂隙灰岩;(e)完整灰岩. Fig. 3 Density distribution of rock and soil samples |
通常将波速的大小、波速随深度变化曲线的形状、拐点、突变点作为介质分层解释的依据.一般随深度的增加,地下的密实程度逐渐增加,波速也逐渐增大,当遇到各类分界面时,波速将会产生较大的变化.
本次选取物探异常验证钻孔ZK2、ZK3、ZK4进行测试,结果如下:
(1)ZK2的测量范围为0~30 m,5个检测点.ZK2所得地震记录数据图及其对应的波速随深度变化的曲线图如图 4所示:
![]() |
图 4 ZK2地震记录图(a)及波速
随深度变化的曲线图(b) (a)地震记录图;(b)波速随深度变化曲线图. Fig. 4 Seismogram of ZK2 (a) and curve of wave velocity variation with depth (b) |
图 4显示,0~2 m波速较小,2 m处速度出现拐点,2~12 m孔深随着深度的增加,速度逐渐增大,12~30 m孔深波速曲线随深度变化有整体变小的趋势.将波速随深度变化曲线图结合ZK2实际钻孔柱状图分析可进行如下分层:0~0.8 m为耕植土,波速较小;0.8~12 m为含碎石粉质粘土,土质坚硬,钻机为冲击钻进,波速随深度增加而逐渐增大;且增速明显;12~30 m为含碎石粉质粘土,相对0.8~12 m的含碎石粉质粘土较软,波速有整体变小趋势.
(2)ZK3的测量范围为:2~20 m孔深,5个检测点.ZK3所得地震记录数据图及其对应的波速随深度变化的曲线图如图 5所示.
![]() |
图 5 ZK3地震记录图(a)及波速
随深度变化的曲线图(b) (a)地震记录图;(b)波速随深度变化曲线图. Fig. 5 Seismogram of ZK3 (a) and curve of wave velocity variation with depth (b) |
由波速随深度变化的曲线图 5b可知,2 m孔深以上速度值较小,2~17 m孔深之间波速随深度增加逐渐增大,其中在14~15 m孔深之间,波速增加幅度较大,波速从17 m孔深开始减小.将波速随深度的变化曲线结合ZK3实际钻孔柱状图可进行如下分层:0~0.6 m为耕植土,波速较小;0.6~14.8 m为含碎石粉质粘土,随深度增加波速逐渐增加;14.8~17 m为灰岩层,波速增加明显;17~20 m为粗砂和粘土充填的溶洞,相对灰岩密实度差,因此波速变小.
(3)ZK4的测量范围为:0~20 m孔深,5个检测点.ZK4所得地震记录数据图及其对应的波速随深度变化的曲线图如图 6所示:
![]() |
图 6 ZK4地震记录图(a)及波速
随深度变化的曲线图(b) (a)地震记录图;(b)波速随深度变化曲线图. Fig. 6 Seismogram of ZK4 (a) and curve of wave velocity variation with depth (b) |
图 6显示0~20 m孔深随深度加大,速度逐渐稳步增大,无明显突变点和拐点.将波速随深度变化的曲线图结合ZK4实际钻孔柱状图可进行如下分层:0~1 m为耕植土,波速较小;1~20 m孔深为含碎石粉质粘土,因此波速随深度增加逐渐增大.
由上述分析可总结出各类介质的波速平均值(见表 3).
|
|
表 3 测区岩土层波速测试成果统计表 Table 3 Statistical table of wave velocity test results in the survey area |
将吉利村岩溶塌陷区岩土层与异常体的物性参数进行比较(见表 4),异常体(充气土洞、充水土洞、充气溶洞、充水溶洞及充泥溶洞)与相应围岩物性均有较大差异.其中,充气异常体与相应围岩的各项物性差异最大,充水、充泥异常体次之,而不同围岩之间各项物性异常差异最小.充气土洞与含碎石粉质粘土电阻率差异为∞,密度差异为1.86 g/cm3,纵波波速差异为2002 m/s,而充水土洞与含碎石粉质粘土电阻率差异、密度差异、纵波波速差异均小于相对应的充气土洞与含碎石粉质粘土的物性差异值(见表 4);充气溶洞与完整灰岩电阻率差异为∞,密度差异为2.64 g/cm3,纵波波速差异为大于3660 m/s,充气溶洞与裂隙或破碎灰岩电阻率差异为∞,密度差异为2.30 g/cm3,纵波波速差异大于3460 m/s,而充水溶洞、充泥溶洞与相应的围岩电阻率、密度、纵波波速差异值均小于充气溶洞与围岩的对应物性差异值(见表 4).粉质粘土与耕植土电阻率、密度、纵波波速差异分别为28.33 Ω·m、0.14 g/cm3、958 m/s,含碎石粉质粘土与粉质粘土电阻率、密度、纵波波速差异分别为681.48 Ω·m、0.07 g/cm3、542 m/s,不同类型土层之间物性差异最小.
|
|
表 4 测区地下介质物性差异统计表 Table 4 Statistical table of physical properties of the subsurface media in the survey area |
图 7为吉利村岩溶塌陷区第2测线高密度电测深法反演模型电阻率、高精度重力法异常及跨孔波速透视法异常对比图.第2测线地形较平坦,无地形地物及人文电磁场等干扰,物探实测资料可靠.该测线第四系土层厚约0~40 m,在280 m测点及480 m测点附近分别发生地面沉陷.为了查明F1和F2断层及地下河的发育情况,开展了高密度电测深法、高精度重力法及跨孔声波透视法.探测时,高密度电测深法采用对称四极装置,道距为10 m;高精度重力法测点距离为5 m,跨孔声波透视法测点距离为1 m.
![]() |
图 7 利塌陷区第2测线物探地质综合剖面图 (a)高密度电法反演图;(b)高精度重力异常曲线图; (c)跨孔波速透视法反演图. Fig. 7 Integrated geophysical and geological profiles along Line 2 in Geely collapse area |
由图 7可见,在250~300 m测点之间,高密度电测深法在浅部电阻率低(48~330 Ω·m),反映为覆盖层中耕植土与碎石粉质粘土的电性变化;往深部电阻率逐渐变大,50~70 m高程段岩层电阻率值约为860~2300 Ω·m(与前述的裂隙灰岩野外露头类似),明显小于完整灰岩电阻率值,且电阻率值沿垂向递增梯度较小,说明该地段有断裂带及岩溶发育.在300~450 m测点之间,基岩电阻率值约15000~40000 Ω·m(与完整灰岩野外露头电阻率接近),由此判断为完整岩石的电阻率值;在460~490 m测点之间,浅部出现低电阻率异常带,电阻率值约330~860 Ω·m,与480 m测点附近发生的塌坑和F2断层位置较吻合.由高精度重力法布格重力剖面曲线的结果可知,在上述三个测点区间同样都出现了重力低异常,即在一平缓区域场上分别叠加了3个重力低异常,这些重力低异常说明这三个地段地下岩石的密度变低,与完整灰岩相比出现了物质缺失,由此也指示这些地段有断裂带及岩溶发育,高精度重力法与高密度电测深法异常及岩溶塌陷位置相吻合,地面物探方法之间相互印证.
由跨孔波速透视法反演图(图 7c)可知,孔间土层纵波波速<0.3 km/s,较完整和完整灰岩纵波波速>4.0 km/s,在溶洞发育层位,纵波波速明显降低,钻孔ZK4的45~48 m及62~65 m孔深段,钻孔ZK5的68~70 m孔深段纵波波速介于2.4~3.6 km/s之间,纵波波速出现明显异常,与钻探揭露的溶洞位置相吻合.
综合物探方法分别在第2测线280 m及480 m测点一带出现低电阻率、低密度、低波速异常,与地质推测的F1、F2断层破碎带和地下河的空间位置相吻合.380测点是重力低异常的中心,为400 m测点附近岩溶塌陷及岩溶发育带的延伸段.物探工作结束后,钻孔ZK4在物探异常部位分别揭露了2溶洞,钻孔ZK5分别揭露了2溶洞及F1断层破碎带,验证了物探异常的属性.
综上所述,在岩溶塌陷区,土洞、岩溶塌陷与塌陷堆积物、溶洞、断层破碎带和地下河等电阻率、纵波波速及密度等物性参数与原状土层、完整灰岩都有非常明显的差异,这种差异为物探方法的选择提供了很好的前提依据.因此在开展物探方法之前,物性测量具有很好的指示意义,并且物性测量在物探异常推断解释中也有非常重要的作用.
5 结论和意义5.1 岩石和土层密度测量数据一致性较好,满足正态分布规律,密度测试值具有较好代表性;但电阻率和波速测试数据分布较离散,变异性较大,引起土层电阻率和波速变异性较大的原因可能与物质成分不均匀、性状变化、含水量变化等因素有关,而岩石电阻率和波速测试数据离散性较大除与物质成分不均匀、含水量变化有关外,还与岩石的结构构造变化、破碎程度不均匀、岩溶发育不均匀等因素有关.
5.2 物性差异统计表显示该地区不同岩性之间电阻率、密度、纵波波速差异均较明显,其中,充气土洞和充气溶洞与相应的围岩介质电阻率差异最大(∞),完整灰岩与充水溶洞的电阻率差异次之(14022.46 Ω·m),粉质粘土与耕植土的电阻率差异最小(28.33 Ω·m);完整灰岩与充气溶洞密度差异最大(2.64 g/cm3),裂隙或破碎灰岩与充气溶洞密度差异次之(2.30 g/cm3),含碎石粉质粘土与粉质粘土密度差异最小(0.07 g/cm3);完整灰岩与充气溶洞波速差异最大(>3660 m/s),裂隙或破碎灰岩与充气溶洞波速差异次之(3460 m/s),完整灰岩与裂隙灰岩波速差异最小(>200 m/s).岩土层物性的明显差异是吉利塌陷区综合物探方法应用的地球物理前提.另外,耕植土与粉质粘土,粉质粘土与含碎石粉质粘土密度差异甚小,但其电阻率和纵波波速差异明显,因此在岩溶塌陷区仅靠单一地球物理勘探方法效果往往不好,应根据综合物性测试的结果选择综合地球物理勘探方法.
5.3 通过对土层、岩石露头的电阻率、密度及井中波速测试分析可知,土层、土洞、溶洞、裂隙灰岩、断层破碎带、完整灰岩等物性参数差异较大,物性测试结果为电法勘探、地震勘探、重力勘探方法的选择、物探异常的解释提供了较好的科学依据,避免了物探工作设计时方法选择的盲目性.
致 谢 参加物探野外工作的还有中国地质科学院岩溶地质研究所韦吉益、刘伟等同志,对于他们的辛勤劳动和热忱支持,作者在此一并表示衷心感谢!| [1] | Brace W F, Orange A S.1968.Electrical resistivity changes insaturated rocks during fracture and frictional sliding.J.Geophys.Res,73:1433-1444. |
| [2] | Ding W H,Wu Y Q,Pu Y B,et al.2006. The density damage increment and its digital image of rock in compression[J]. Journal of Xi'an University of Technology,16(1):61-64. |
| [3] | Dong C Z,Song H B,Wang D X,et al.2013.Relative contribution of seawater physical property to seismic reflection coefficient[J].Chinese Journal of Geophysics,56(6):2123-2132,doi:10.6038/cjg20130632. |
| [4] | Guo Y M,Zhao H R,Deng G X,et al.1989. Preliminary discussion of the necessity and possibility of studying the comprehensive physical property of rock and mineral deposits[J].Progress in Geophysics,4(1):17-20. |
| [5] | Lin H.1991.High pressure state parameters of fluid saturated sandstones[J].Acta Geophysica Sinica,34(3):386-389. |
| [6] | Ma R,Lu M J,Yang X D.1996. Experimental study on the propagation velocity of elastic wave in rock under different temperature and pressure[J].Seismology and Geology,18(3):259-265. |
| [7] | Qiao E W,Zhao W H,Long C X.2012.A laboratory study of seismic wave velocity in sandstone bearing differential pore fluids at different pressures[J].Chinese Journal of Geophysics,55(12):4257-4265,doi:10.6038/j.issn.0001-5733.2012.12.037. |
| [8] | Qiao L J.1994. Talk about regression correction factor[J].Geotechnical investigation & Surveying,(1):23-25. |
| [9] | The Goeletric Testing Group, Department of GeoPhysics, Peking University,et al.1978. Laboratory study on relations betwe en apparent resistivities of rock and pressure[J]. Journal of Peking University,(2):92-100. |
| [10] | Wang Z,Long G K,Mai G T,et al.1986. Guangxi regional rock physical investigation report[R]. Guangxi: Guilin Metallurgical Institute, Guangxi geophysical prospecting team, Guangxi airborne geophysical prospecting team,29-30. |
| [11] | Wu Y Q,Ding W H,Pu Y B,et al.2000. CT dynamic observation of damage increment of rock density under compression condition[J]. Progress in Natural Science,10(9):830-835. |
| [12] | Yang J P,Jin Z M,Ou X G,et al.2005.Ultrahigh-pressure rock,density,buoyancy,exhumation mechanism,exhumation rate[J]. Acta Petrologica Sinica,21(2):427-437. |
| [13] | Yao X Y,Zhang F L,Zhao H R,et al.1989. Quantitative study on the porosity and permeability of sandstone and mudstone by comprehensive measurement of rock properties[J].Oil Geophysical Prospecting,24(5):533-541. |
| [14] | Yao X Y,Zhao D B,Zhao H R.1989. Relationship between longitudinal and transverse velocity and other physical parameters[J]. Progress in Geophysics,4(2):7-20. |
| [15] | Yin Q,Yi H S,Xia G Q.2015.Characteristics of the petrophysical parameters of the rocks in Shuanghu region,Qiangtang basin[J].Progress in Geophysics,30(1):0285-0292. |
| [16] | Yin X Y,Cui W,Zong Z Y,et al.2014.Petrophysical property inversion of reservoirs based on elastic impedance[J].Chinese Journal of Geophysics,57(12):4132-4140,doi:10.6038/pg20150141. |
| [17] | Yu P,Feng Y G,Zhao H R.2001.Characteristics between the difference and change in the comprehensive physical properties of rocks[J]. Acta Seismologica Sinica,23(5):541-547. |
| [18] | Yu Q F,Guo Y Z,Meng X H,et al.2002. Petrophysical parameters at continental scientific drilling site in subei, china[J].Chinese Journal of Geophysics,45(1):93-100. |
| [19] | Zhang X H,Qin J S,et al.2001.Relation of ground stress with the properties of low permeable core[J]. Journal of the University of Petroleum,China,25(4):56-61. |
| [20] | Zhang Y Z,Chen D,Dong J,et al.2001. Petrophysical properties and effective combinations of geophysical exploration methods in Hebei province[J]. Geophysical & Geochemical Exploration,25 (5):350-354. |
| [21] | Zhao Y L,Qian F Y,Yang T C,et al.1983. Experiments in situ of electrical resis- tivity changes [J]. Acta Seismologica Sinica,5(2):217-225. |
| [22] | 北京大学,地球物理系,地球物理教研室地电组,兰州地震大队予报室.1978.岩石视电阻率与压力关系的试验[J].北京大学学报,(2):92-100. |
| [23] | 丁卫华,仵彦卿,蒲毅彬,等.2006.受力岩石密度损伤增量及其数字图像[J].西安理工大学学报,16(1):61-64. |
| [24] | 董崇志,宋海斌,王东晓,等.2013.海水物性对地震反射系数的相对贡献[J].地球物理学报,56(6):2123-2132,doi:10.6038/cjg20130632. |
| [25] | 郭佑民,赵鸿儒,邓国祥,等.1989.研究岩矿综合物性测定的必要性和可能性的初步探讨[J].地球物理学进展, 4(1):17-20. |
| [26] | 林桦.1991.流体饱和砂岩在高压下的物性参数[J].地球物理学报,34(3):386-389. |
| [27] | 马瑞,卢民杰,杨晓东.1996.不同温压条件下弹性波在岩石中传播速度的实验研究[J].地震地质, 18(3):259-265. |
| [28] | 乔二伟,赵卫华,龙长兴.2012.含不同孔隙流体的砂岩地震波速度随压力变化的实验研究[J].地球物理学报,55(12):4257-4265,doi:10.6038/j.issn.0001-5733.2012.12.037. |
| [29] | 乔来军.1994.谈回归修正系数[J].工程勘察,(1):23-25. |
| [30] | 王钟,龙国坤,麦广田,等.1986.广西区域岩石物性调查报告[R].广西:桂林冶金地质学院,广西物探队,广西航空物探队,29-30. |
| [31] | 仵彦卿,丁卫华,蒲毅彬,等.2000.压缩条件下岩石密度损伤增量的CT动态观测[J].自然科学进展, 10(9):830-835. |
| [32] | 杨建平,金振民,欧新功,等.2005.岩石密度和超高压岩石折返速率[J].岩石学报,21(2):427-437. |
| [33] | 姚秀云,张凤莲,赵鸿儒,等.1989.岩石物性综合测定-砂、泥岩孔隙度与渗透率的定量研究[J].石油地球物理勘探,24(5):533-541. |
| [34] | 姚秀云,赵德斌,赵鸿儒.1989.纵、横波速度与其他物性参数关系[J].地球物理学进展,4(2):7-20. |
| [35] | 尹青,伊海生,夏国清.2015.羌塘盆地双湖地区侏罗系岩石物性特征[J].地球物理学进展,30(1):0285-0292,doi:10.6038/pg20150141. |
| [36] | 印兴耀,崔维,宗兆云,等.2014.基于弹性阻抗的储层物性参数预测方法[J].地球物理学报,57(12):4132-4140. |
| [37] | 于萍,冯永革,赵鸿儒,等.2001.岩石综合物性差异与变化的特征[J].地震学报,23(5):541-547. |
| [38] | 余钦范,郭友钊,孟小红,等.2002.苏北大陆科学钻探靶区岩石物理性质[J].地球物理学报,45(1):93-100. |
| [39] | 张新红,秦积舜.2001.低渗岩心物性参数与应力关系的试验研究[J].石油大学学报,25(4):56-61. |
| [40] | 张余芝,陈达,董杰,等.2001.河北省岩石物性参数相关关系及物探方法的有效组合[J].物探与化探,25 (5):350-354. |
| [41] | 赵玉林,钱复业,杨体成,等.1983.原地电阻率变化的实验[J].地震学报,5(2):217-225. |
2016, Vol. 31








