高放废物放射性强、毒性大,其所含核素半衰期极长,必须采用可靠手段将其与人类生存环境隔离,目前,高放废物深地质处置已成为国际共识(苏锐等,2011).高放废物地质处置即通过在深部地质介质中(地表以下500 m以深)建造工程设施作为高放废物的存储场所,以防止或减缓放射性物质向生物圈迁移(郭永海等,2001).
高放废物处置库必须建立在地壳结构稳定、含水性差、远离人类活动区的地区,而稳定性无疑是处置库选址的首要评价指标.根据我国《高放废物地质处置研究开发规划指南》,高放废物处置库的地球物理评价为处置库地质研究的主要内容之一,其回答了场址深部地质构造形态及断裂构造格架等关键地质问题.
根据国家国防科技工业局“西北地区高放废物地质处置库备选区预选研究”项目(何建国等,2010)研究成果,在东天山备选区选择了6个有利花岗岩体作为我国高放废物处置库的候选场址,其中,阿奇山1号岩体位于阿奇山地段区域.2011年至今,以核工业北京地质研究院为首的相关单位在阿奇山1号岩体区域开展了大量地质、水文、地球物理、钻探、社会经济条件等研究工作.本文根据在阿奇山1号岩体区域开展的系统地球物理研究,总结了花岗岩型高放废物处置库的地球物理评价模式,以为我国高放废物处置库选址工作提供参考.
1 地质背景阿奇山地段位于吐哈盆地与中天山地块之间的觉罗塔格造山带内,该区古生代期间发育地槽或大洋,石炭纪晚期至二叠纪碰撞闭合,在区内发育了一套早石炭-二叠系中、基及中、酸性火山-沉积岩建造.二叠纪东天山造山带发生后碰撞幔源岩浆底垫地壳伸展作用,在觉罗塔格地区岩浆岩非常发育,以花岗岩分布最为广泛.(何建国等,2014;郭永海等,2014)
阿奇山1号花岗岩体宽约8~12 km,长约28 km,岩体北部为康古尔韧性剪切带,南部为阿奇克库都克断裂带,岩体主体覆盖于石炭系雅满苏组和干墩组之上,岩性以钾长花岗岩为主,属咸水沟超单元.图 1为阿奇山地段区域地质图.
![]() |
图 1 阿奇山地段区域地质图 Fig. 1 Aqishan regional geologic map |
2 地球物理评价
采用重力、航磁、大地电磁测深(MT)、音频大地电磁测深(AMT)、面波地震勘探等地球物理方法对阿奇山1号岩体进行了系统地球物理评价,对岩体完整性及稳定性作出了可靠推断.
2.1 重力 2.1.1 工作原理
重力勘探主要测量地球重力场的变化,布格重力异常反映了地球内部物质密度变化情况和不同密度地质体的分布规律.重力勘探对划分不同级别和规模的地质构造单元、推断与圈定隐伏构造界面、判断基底界面起伏情况等具有重要作用(曾华霖,2005).
本文通过收集研究区1∶20万重力网格化数据,对其进行了场分离、向上延拓(5 km、10 km、15 km、20 km)、并进行了不同方向(0°、45°、90°、135°)的水平一阶导数和垂向二阶导数计算(曾琴琴等,2015).重力场分离的目的是将总异常分离为反映深部或浅部规模较大地质体的区域异常和反映规模相对较小、深度相对较浅地质体的剩余异常;向上延拓的目的是将原观测平面上的数据转换到更高的观测面上,使规模小且埋深浅的地质体产生的高频异常更快的衰减,从而突出规模大且埋藏深的地质体产生的低频异常;而重力场的导数求取的目的是突出浅而小的地质体、梯级带和异常变化的细节.通过反复对比各处理图件,刻画了阿奇山地段断裂构造分布情况并定性解译了各推测断裂的规模及阿奇山岩体的垂幅特征.
2.1.2 重力解译结果根据东天山地区重力调查工作所获得的岩石密度数据进行统计分析,研究区火山岩类(凝灰岩、火山角砾岩、安山岩等)多具有中-中高密度值,通常大于2.7 g/cm3;侵入岩的密度在2.62 g/cm3~2.93 g/cm3之间变化,依照酸性、中性、基性、超基性的次序增高,其中花岗岩类的密度偏低,约为2.62 g/cm3,其通常以明显的低值重力异常呈现.
根据阿奇山地段布格重力异常图(图 2),研究区重力异常场宏观上表现为中部高东西低的特征,整体呈近环形展布,主要反映了隆起带及岩浆岩侵入的空间分布,在上延异常图上反映更为明显(图 3).结合区域地质背景及岩石密度资料(赵俊猛等,2004;祝意青等,2012),可以推断区内的区域重力高值区,主要是古生代、前古生代地层隆起引起,局部高值区是中基性岩浆岩侵入所致,区域重力低值区主要是沉积凹陷的反映,局部低值区是花岗岩体分布所致.
![]() |
图 2阿奇山地段布格重力异常图 Fig. 2 The map of bouguer gravity anomaly in Aqishan |
在各上延不同高度的布格重力异常图中(图 3),阿奇山1号岩体均呈高重力异常,且随上延高度的增加岩体东南部重力值越大,推测岩体东南部深部为中基性岩浆岩侵入古生代-前古生代地层中,因此该区域表现为极高的重力异常.根据阿奇山地段布格重力剩余异常(图 4),岩体北端、西端及东南端均表现为低重力异常,而其中东部表现为高重力异常,表明阿奇山1号岩体在北端和西端具有更大的垂幅,东南部次之,而其中东部垂幅最小.
![]() |
图 3阿奇山地段布格重力向上延拓图 Fig. 3 The map of upward continuation of bouguer gravity anomaly in Aqishan |
![]() |
图 4阿奇山地段布格重力剩余异常图 Fig. 4 The map of residual gravity anomaly in Aqishan |
另外,通过综合对比分析区域布格重力异常和剩余重力异常,及布格重力不同方向导数异常,对研究区内的断裂构造进行了划分,如图 2所示.其中,F1断裂为著名的康古尔塔格大断裂,F2断裂为阿奇克库都克大断裂,其余为一般断裂.由图可见,阿奇山1号岩体位于康古尔塔格断裂及阿奇克库都克断裂之间,岩体内部发育较少的断裂构造,推测1号岩体于深大断裂产生之时沿断裂侵入形成,之后没有再经受大的错动影响,岩体较完整.
2.2 航磁 2.2.1 工作原理航空磁力测量(简称航磁)使用飞机装载的航空磁力仪对地磁场强度进行相对的测量,可快速的完成大面积勘探,其广泛应用于直接或间接地寻找矿床、区分和圈定各类磁性地质体、划分某些成矿远景区、研究地质构造等.
本文通过收集研究区1:25万航磁数据,并进行了原平面化极、向上延拓及方向导数计算,以结合重力资料划分研究区内断裂构造.由于磁场与重力场都是位场,其数据解释方法类似(张玄杰等,2012;王万银,2010;熊盛青等,2014),在此不再赘述航磁数据处理方法及目的.
2.2.2 航磁解译结果
以化极后航磁ΔT等值线平面图为基础资料,结合航磁垂向二阶导数和不同方向水平一阶导数资料,对研究区断裂构造进行了划分(图 5),可见根据航磁特征识别的断裂构造与根据重力特征识别的断裂构造具有很高的吻合度,但是根据航磁资料难以识别较小规模的断裂构造.
![]() |
图 5阿奇山地段航磁ΔT等值线平面图 Fig. 5 ΔT aeromagnetic anomaly map of Aqishan |
阿奇山1号岩体位于以花岗岩类为主的弱磁区域,磁异常范围ΔT=-100~-50 nT,在研究区内属中偏低磁性.通过分析不同上延高度(1 km、2 km、5 km、10 km)的航磁异常等值线平面图,发现随延拓高度的增加,岩体磁性基本无变化.需指出的是,对于研究区而言,利用航磁资料对地质构造进行解译,对岩浆岩和断裂构造的解译精度较高,而对地层的解译精度并不十分可靠.这是由于本区出露的主要地层是古生界的泥盆系、石炭系、二叠系等,这些地层的共同特点是火山岩、火山碎屑岩和碎屑岩互层,而火山岩又往往从基性到酸性均有分布,岩性十分复杂,所以利用航磁资料区分这些岩组是相当困难的.因此,认为根据航磁资料无法对阿奇山1号岩体的垂幅及倾向作出可靠推测,但能有效揭示区内深大断裂的分布情况.
2.3 大地电磁测深(MT) 2.3.1 工作原理大地电磁测深法是研究地壳和上地幔构造的一种地球物理勘探方法.其以天然交变电磁场为场源,由于电磁感应作用,地面电磁场的观测值将包含地下介质电阻率分布的信息,通过研究大地对天然电磁场的频率响应,可获得地下不同深度介质电阻率分布信息(石应骏等,1985).
采用MT法揭示阿奇山1号岩体上地壳电性结构特征,厘清岩体与北部康古尔塔格断裂带及南部阿奇克库都克断裂带的构造关系,为岩体深部地质特征推断提供依据.数据采集设备为加拿大凤凰公司生产的MTU-5A电法仪,采集频段范围为320~0.001 Hz,数据反演方案为二维正则化反演(陈小斌等,2005).
2.3.2 MT测量结果设计MT剖面为南北向,由北往南依次穿过康古尔塔格断裂带、阿奇山1号岩体中部及阿奇克库都克断裂带,剖面布置如图 1所示.
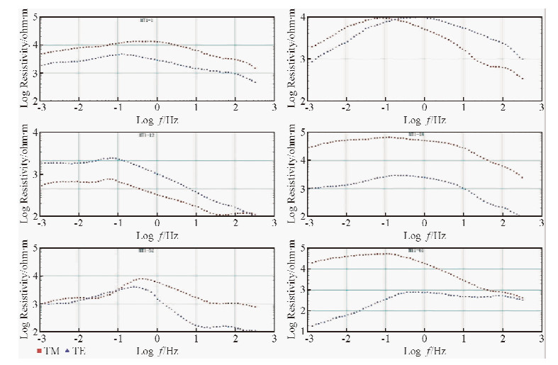
经对阿奇山岩体内全部MT测点视电阻率曲线特征进行分析,挑选了部分具有代表性的测点视电阻率曲线,如图 6所示.可见,区内MT测点视电阻率曲线主要有K型、AK型和KQ型三类,而K型曲线为工区MT测量单点曲线的主要表现形式,即曲线中频段视电阻率值最高,高频段和低频段视电阻率值较低.表明研究区为典型的三层电性结构:高频段为浅部风化地层的电性反映;中频段凸起幅度较大,为岩体的电性反映;低频段呈平缓下降,为古生代-前古生代地层的电性反映.另外,各测点视电阻率曲线中部凸起部分(即最大电阻率值对应的频段)多在0.1 Hz左右,根据趋肤深度公式换算,基本可明确岩体具有相当大的垂幅;在康古尔塔格断裂带及阿奇克库都克断裂带地表出露区域,相应的MT测点视电阻率曲线表现为明显的“喇叭状”特征,而根据正演模拟,这种“喇叭状”特征正是断裂构造的典型反映.
![]() |
图 6 MT测量视电阻率曲线 Fig. 6 The apparent resistivity curve of MT |
在对MT数据进行预处理后,对其进行了二维正则化反演,反演结果如图 7所示.可见,反演结果很好的揭示了南北两条断裂带的位置及产状,并揭示了阿奇山1号岩体深部延伸规模.推测图中高阻区域为花岗岩的反映,深部相对低阻体为古生代-前古生代地层;阿奇克库都克断裂带位于该剖面10 km处,北倾,产状较为陡立,且延伸至古生代-前古生代地层;康古尔塔格断裂带位于该剖面50 km处,其延伸至古生代-前古生代地层,南倾,产状较为陡立;该剖面10 km以北区域深部高阻体为花岗岩,且由南至北深部延伸越大,但在北端被康古尔塔格断裂带破坏;推测阿奇山1号岩体北倾,垂幅约16 km,且该岩体“根部”在北端,即该岩体由北端侵入形成,这也进一步证实了根据重力资料推测的岩体北端垂幅最大的现象.
![]() |
图 7 MT测量电阻率二维反演地电断面图 Fig. 7 The geoelectrical section of MT 2-D resistivity inversion |
AMT法与MT法的原理相同,不同的是该方法采集更高频段范围的天然信号,其采集信号频段范围为1~10000 Hz,采用AMT法以揭示岩体内中浅部范围(地表以下2 km)的电性结构,从而探测岩体内岩脉、断裂构造及不良地质体的发育情况,并初步判定这些地质构造对岩体的破坏性.数据采集设备及处理手段均与MT法相同.
2.4.2 AMT测量结果在岩体内布置了较多的AMT测量剖面,以其中一条AMT测量剖面的反演结果为例,说明岩体2 km以浅区域的电性特征,如图 8所示.
![]() |
图 8 AMT测量电阻率二维反演地电断面图 Fig. 8 The geoelectrical section of AMT 2-D resistivity inversion |
可见,剖面区域深部电性结构稳定,岩体完整性好,浅部存在小规模的低阻异常体.根据地面地质调查及槽探等工作,判定浅部局部分布的低阻块体为岩脉及小型断裂构造的反映.
岩体内所布设的AMT测量剖面电性特征基本类似,其深部均表现为高阻块体,浅部局部分布有小规模低阻异常体,说明岩体内断裂构造发育较少,且都属于小规模构造,对岩体破坏性不大,岩体完整性非常好.
2.5 面波地震勘探 2.5.1 工作原理面波地震勘探指瑞雷面波勘探,瑞雷波是由P波和SV波干涉而形成,其能量主要集中在介质表面附近,在弹性分层的半空间中,瑞雷波表现为频散特性,其直观反映了地表以下地层的弹性参数(刘国庆等,2008).该方法勘探深度较浅,主要应用于工程勘探.
阿奇山1号岩体内岩性主要为正长花岗岩和二长花岗岩,其北端围岩为中、基性和中、酸性火山熔岩,二者电性和磁性相近,难以用电磁法或磁法对其进行区分.然而,为判定岩体深部延伸状况及形成机理,查明岩体与围岩接触带产状至关重要,因此在岩体与围岩接触带开展了面波地震勘查试验,试图从波速角度揭示岩体与围岩接触带产状.
2.5.2 面波地震勘探结果
在1号岩体北部边界选择了一花岗岩与火山围岩接触带开展面波地震试验,试验剖面0~75 m段为阿奇山1号岩体,75 m以北段为围岩,剖面反演结果如图 9所示.
![]() |
图 9面波地震勘探反演结果 Fig. 9 Inversion results of surface wave seismic exploration |
可见,以剖面70 m处为界,其南北两段波速差异明显,显示花岗岩体北倾,由于面波地震探测深度有限,仅以该剖面结果不能对岩体与围岩接触带产状作出推断,但该结果表明采用地震勘探方法能有效对岩体与围岩进行区分.
3 结 论通过采用多种地球物理方法对阿奇山1号岩体区域地球物理场特征进行揭示,从不同地球物理场特征及不同尺度对阿奇山1号岩体区域地质特征进行了解译,基本查明了阿奇山1号岩体区域深部构造特征及岩体规模,主要有以下认识:
(1)阿奇山地区断裂发育、岩浆活动频繁,从而导致古生代-前古生代地层隆起,形成了一个似环形的隆起带,该隆起带中偏北部分布着一条较宽的NEE向花岗岩带,其中包括阿奇山1号岩体.阿奇山1号岩体形成于深大断裂产生之时,花岗岩岩浆沿断裂侵入,并覆盖于古生代-前古生代地层上.岩体形成后没有再经受大的错动影响,其在深部具有更大规模的展布范围.
(2)阿奇山1号岩体垂幅约16 km,北倾,岩体内浅部(地表以下2 km范围内)断裂构造发育较少,且都属于小规模构造,其对岩体的破坏性不大,岩体完整性好.
(3)康古尔塔格断裂带和阿奇克库都克断裂带具有非常大的展布规模,其切割深度大于15 km,直达古生代-前古生代地层,其对阿奇山1号岩体的形成及演化具有重要影响.
(4)在场址预选阶段,通过收集区域小比例尺重力及航磁资料并解译,可快速有效的筛选出重点工作靶区,同时能对研究区区域构造环境及稳定性作出初步评价;在候选场址评价阶段,采用大地电磁测深法能有效揭示岩体地壳电性结构特征及区域深大断裂的展布形态,结合区域重力场特征,可明确岩体的形成机理及其规模形态;采用音频大地电磁测深法对岩体中浅部(地表以下2 km范围内)进行探测,可准确揭示岩体中浅部断裂构造、岩脉等不良地质体的位置及发育规模.因此,采用重力、航磁、大地电磁及音频大地电磁法进行综合地球物理勘查,可形成对岩体由区域到局部、由深部至浅部的有效探测,从而为岩体完整性评价提供丰富的地球物理依据.
(5)非震物探方法不能有效揭示岩体与围岩接触带产状,而采用地震勘探区分花岗岩及火山岩值得探索;另外,在揭示花岗岩体浅层(100 m以内)小规模构造方面,频率域电磁测深法的勘探精度较低,需采用高密度电法、地质雷达、面波勘探法等工程物探手段.
致 谢 感谢审稿专家的指导和帮助!| [1] | Chen X B, Zhao G Z, Tang J, et al. 2005. An adaptive regularized inversion algorithm for magnetotelluric data[J]. Chinese Journal of Geophysics (in Chinese), 48(4):937-946, doi:10.3321/j.issn:0001-5733.2005.04.029. |
| [2] | Gao Y, He J G, Li J Z, et al. 2010. Neotectonic activate features of Aqikekuduk fault in east Tianshan area[J]. Xinjiang Geology (in Chinese), 28(3):247-249. |
| [3] | Guo Y H, Li N N, Zhou Z C, et al. 2014. Isotopic study of groundwater in Aqishan preselected section for china's high level radioactive waste disposal repository[J]. Atomic Energy Science and Technology (in Chinese), 48(S1):113-117. |
| [4] | Guo Y H, Wang J, Jin Y X. 2001. The general situation of geological disposal repository siting in the world and research progress in China[J]. Earth Science Frontiers (in Chinese), 8(2):327-332. |
| [5] | He J G, Gao H L, Zhang S, et al. 2014. Discussion on problems of the regional crustal stability in eastern Tianshan[J]. World Nuclear Geoscience (in Chinese), 31(4):594-600. |
| [6] | Huang X F, He J G, Xu G Q. 2009. Pre-selection research on granite mass for high level radioactive waste repository[J]. World Nuclear Geoscience (in Chinese), 26(4):219-227. |
| [7] | Liang Y M, Huang X Z, Xu K, et al. 2001. Geophysical field and deep geology of the Kanggur Tag fault zone, Xinjiang[J]. Regional geology of China (in Chinese), 20(4):398-403, 367. |
| [8] | Liu G Q, Xiang X S, Wang A S, el al. 2008. Surface-wave and refractive-wave survey application for studying elastic property of base rock[J]. Geology and Prospecting (in Chinese), 44(1):109-112. |
| [9] | Shi Y J, Liu G D, Wu G Y, et al. 1985. Magnetotelluric sounding tutorial (in Chinese)[M]. Beijing:Seismological Press. |
| [10] | Su R, Cheng Q F, Wang J, et al. 2011. Discussion on technical ideas of site selection of geological disposal repository for high-level radioactive waste in China[J]. World Nuclear Geoscience (in Chinese), 28(1):45-51. |
| [11] | Wang W Y. 2010. Spatial variation law of the extreme value positions of total horizontal derivative for potential field data[J]. Chinese J. Geophys. (in Chinese), 53(9):2257-2270, doi:10.3969/j.issn.0001-5733.2010.09.027. |
| [12] | Xiong S Q, Ding Y Y, Li Z K. 2014. Characteristics of China continent magnetic basement depth[J]. Chinese Journal of Geophysics (in Chinese), 57(12):3981-3993, doi:10.6038/cjg20141211. |
| [13] | Zeng H L. 2005. Gravity field and gravity exploration (in Chinese)[M]. Beijing:Geological Publishing House. |
| [14] | Zeng Q Q, Wang Y H, Li F, el al. 2015. Application of the vertical second derivative of gravity anomaly for characteristics Analysis of Panxi rift[J]. Progress in Geophysics (in Chinese), 30(1):29-33, doi:10.6038/pg20150105. |
| [15] | Zhang X J, Zheng G R, Fan Z L, et al. 2012. Aeromagnetic anomaly characteristics of eastern segment of the West Tianshan Mountains, Xinjiang and the ore-prospecting effect[J]. Progress in Geophys. (in Chinese), 27(1):335-342, doi:10.6038/j.issn.1004-2903.2012.01.038. |
| [16] | Zhao J M, Li Z C, Cheng Hg, et al. 2004. Structure of lithospheric density and geomagnetism beneath the Tianshan orogenic belt and their geodynamic implications[J]. Chinese Journal of Geophysics (in Chinese), 47(6):1061-1067, doi:10.3321/j.issn:0001-5733.2004.06.019. |
| [17] | Zhu Y Q, Liang W F, Zhan F B, et al. 2012. Study on dynamic change of gravity field in China continent[J]. .Chinese Journal of Geophysics (in Chinese), 55(3):804-813, doi:10.6038/j.issn.0001-5733.2012.03010. |
| [18] | 陈小斌,赵国泽,汤吉等. 2005.大地电磁自适应正则化反演算法[J].地球物理学报, 48(4):937-946, doi:10.3321/j.issn:0001-5733.2005.04.029. |
| [19] | 高阳,何建国,李建中等. 2010.东天山阿其克库都克断裂新构造运动特征[J].新疆地质, 28(3):247-249. |
| [20] | 郭永海,李娜娜,周志超等. 2014.高放废物处置库新疆阿奇山预选地段地下水同位素研究[J].原子能科学技术, 48(S1):113-117. |
| [21] | 郭永海,王驹,金远新. 2001.世界高放废物地质处置库选址研究概况及国内进展[J].地学前缘, 8(2):327-332. |
| [22] | 何建国,高洪雷,张松等. 2014.关于东天山区域地壳稳定问题的讨论[J].世界核地质科学, 31(4):594-600. |
| [23] | 黄贤芳,何建国,徐国庆. 2009.高放废物地质处置库花岗岩体预选研究[J].世界核地质科学, 26(4):219-227. |
| [24] | 梁月明,黄旭钊,徐昆等. 2001.新疆康古尔塔格断裂带地球物理场及深部地质特征[J].中国区域地质, 20(4):398-403, 367. |
| [25] | 刘国庆,向晓松,王安书等. 2008.面波法与折射波法在研究基岩弹性力学性质中的应用[J].地质与勘探, 44(1):109-112. |
| [26] | 石应骏,刘国栋,吴广耀等. 1985.大地电磁测深法教程[M].北京:地震出版社. |
| [27] | 苏锐,程琦福,王驹等. 2011.我国高放废物地质处置库场址筛选总体技术思路探讨[J].世界核地质科学, 28(1):45-51. |
| [28] | 王万银. 2010.位场总水平导数极值位置空间变化规律研究[J].地球物理学报, 53(9):2257-2270, doi:10.3969/j.issn.0001-5733.2010.09.027. |
| [29] | 熊盛青,丁燕云,李占奎. 2014.中国陆域磁性基底深度及其特征[J].地球物理学报, 57(12):3981-3993, doi:10.6038/cjg20141211. |
| [30] | 曾华霖. 2005.重力场与重力勘探[M].北京:地质出版社. |
| [31] | 曾琴琴,王永华,李富等. 2015.重力异常垂向二阶导数在攀西裂谷特征分析中的应用[J].地球物理学进展, 30(1):29-33, doi:10.6038/pg20150105. |
| [32] | 张玄杰,郑广如,范子梁等. 2012.新疆西天山东段航磁异常特征及找矿效果[J].地球物理学进展, 27(1):335-342, doi:10.6038/j.issn.1004-2903.2012.01.038. |
| [33] | 赵俊猛,李植纯,程宏岗等. 2004.天山造山带岩石圈密度与磁性结构研究及其动力学分析[J].地球物理学报, 47(6):1061-1067, doi:10.3321/j.issn:0001-5733.2004.06.019. |
| [34] | 祝意青,梁伟锋,湛飞并等. 2012.中国大陆重力场动态变化研究[J].地球物理学报, 55(3):804-813, doi:10.6038/j.issn.0001-5733.2012.03.010. |
2015, Vol. 30










