2. 天津大学药物科学与技术学院, 天津 300072
2. School of Pharmaceutical Science and Technology, Tianjin University, Tianjin 300072, China
声电频谱测井采用变频率的正弦波或者方波进行激发,经过探头以后,测量的正弦波或者方波的幅度和相位均发生变化(沈建国等,2002),对这些波形进行处理,提取其幅度和相位信息,并将其转换为所测量信号的实部和虚部是声电频谱测井的主要任务之一.用所测量响应的实部和虚部随频率变化曲线可以分析测井响应与地层物理参数之间的关系,或者地层的声电物理参数;用所测量的探头的导纳或者阻抗的实部和虚部可以分析探头的声、电辐射阻抗(吴金平等,2012),建立地层物理参数与测量频谱之间的联系.
声电频谱测井能够测量一定频率范围内响应频谱的实部和虚部,也能够测量一定范围内探头的导纳或者阻抗曲线.这些曲线同样具有实部和虚部,均随频率改变,共同描述探头的特征(林书玉,2004;栾桂冬等,2005).一般情况下,声电频谱测井响应的实部和虚部、声探头的振动或电磁探头的导纳等等均可以用二阶微分方程进行描述,该微分方程的稳态解在频谱的复平面上是一个圆.该圆在超声探头集中参数特征的描述中被充分利用,被称为导纳圆(张强等,2005;张蕊等,2008),在该圆上用几何运算即可获得探头的动态等效参数和静态参数,并且用图上的六组特征频率将探头的Q值、机电转换系数等刻画的比较清楚.即从这个圆上可以获得探头的振动参数.将超声探头中导纳圆的应用方法延伸到声电频谱测井,则导纳圆将是声电频谱测井的一个重要工具和桥梁,将构架起声电频谱测量数据与地层物理参数之间的内在关系,并将该关系简化为平面几何运算.
1 测井响应的频谱与二维谱测井响应的频谱来源于测井响应的二维谱,即以频率、波数为自变量的函数.对于井内的声传播和电磁波传播来讲(Hsu and Sinha,1998;Rama Rao and V and iver,1999;张海澜和萧柏勋,2000),圆柱形边界条件导致井内能够传播的声波或者电磁波有多种模式,对于每种模式,其二维谱在波数和频率所构成的二维平面内是一条连续的区域分布,其实部或者模的极大值位置在频率和波数所构成的二维平面上是一条连续的曲线,该曲线任意点处频率与波数的比对应于该模式波的相速度,其斜率对应于该模式波的群速度.当一个频率位置有多个模式波共同存在时,测井响应的频谱是这些模式波的二维谱在波数域进行Fourier积分以后的实部和虚部(朱留方和沈建国,2006;沈永进等,2012).通常情况下,当频率比较低时,模式波只有一个,这时,所测量到的频谱反映该模式波.例如:当频率低于1 kHz以后,井内能够传播的声波只有Stoneley波,这时所测量到的频谱只有Stoneley波的频谱.因为Stoneley波的速度基本不包含地层参数信息,其幅度反映地层的渗透率(李长文等,1997;李铭等,2003;关威等,2011),因此,频谱可以指示地层的渗透率.当频率低于1 kHz以后,井内所传播的电磁波速度随频率改变很大,主要有两种模式,一种是井内液体的电磁波速度,另外一种是地层的电磁波速度.两者均随频率改变,主要刻画电磁感应现象,与地层的电导率有关.因此,其频谱测量结果与地层的电导率有关,从频谱测井结果中可以获得地层电导率的指示.
设井半径为0.1 m,井内泥浆电导率σ=1,相对介电常数εr=50,井外固体是无限大地层,其电导率σ=1/30 S/m,相对介电常数εr=10,井内液体和地层的相对磁导率为1.图 1是裸眼井内瞬变电磁响应的二维谱.横坐标是频率f,纵坐标是波数k,灰度表示二维谱模的幅度,幅度比较大的位置表示其响应比较大,幅度连成的线表示能够在井中传播的电磁波.图 2是波数k=20时,电磁波的实部(实线)和虚部(虚线)随频率的变化曲线,在极大值位置,虚部取极大值,实部变化最快.声电频谱测井主要是测量二维谱对波数域进行Fourier积分以后的实部和虚部.
![]() | 图 1 裸眼井内电磁波的二维谱 Fig. 1 The two-dimensional spectrum of electromagnetic wave in an open hole |
![]() | 图 2 电磁波的实部(实线)和虚部(虚线)随频率的变化曲线 Fig. 2 The change curve of real and imaginary parts of electromagnetic wave with frequency |
测井响应的频谱可以用不同探头或者线圈所测量的正弦波形进行计算.设响应的频谱为y(ω)为
当用正弦波cosωt激发时,测井方法响应表现为
响应引起的幅度变化.
设发射的正弦波波形f(t)为
写成复数形式后测量的正弦波波形为
将两者相除得到方法响应的频谱为
注意: 这里不能够用正弦波形及其表达式直接相除,那样得到的不是测井响应的频谱.测井响应的频谱是复数,必须是两个复数的相除,因此需要用复数形式的正弦波相除.在实部和虚部的计算过程中,完全采用所测量波形的信息——幅度比和相位差.
3 探头的频谱探头的频谱通常与探头的导纳或阻抗相联系.因为这些量直接与探头的耦合特征有关,是设计与探头配套的激发电路参数的基础.本文研究探头的频谱主要是想通过测量探头在井下的频谱获得地层的物理参数,因为借助于井的辐射阻抗可以建立探头频谱测量曲线与地层物理参数之间的联系.也采用导纳或阻抗的方法.因为,在频率为自变量的导纳的复平面上,探头的阻抗或者导纳频谱以圆或椭圆的形式表现,只需要做简单的几何计算.
声波探头和电磁线圈在频率域测量其阻抗或导纳曲线时均呈现出二阶网络的特征,在导纳或阻抗的复平面上均以导纳圆的方式表现.可以用集中参数对其进行描述.图 3所示为两个同类型的压电圆管制作的大功率超声探头在水中的测量结果.有两个谐振频率,在谐振频率处,导纳的实部取极大值,对应于两个导纳圆.
等![]() |
图 3 超声探头a号(实线)与b号(虚线)在水中的测量结果 (a)超声探头a号(实线)与b号(虚线)的导纳实部随频率的变化曲线; (b)超声探头a号(实线)与b号(虚线)的导纳虚部随频率的变化曲线; (c)超声探头a号(实线)与b号(虚线)的导纳圆. Fig. 3 Measurement results of ultrasonic probes a (solid) and b (dotted) in water (a) The change curve of real part of the admittance with frequency; (b) The change curve of imaginary part of the admittance with frequency; (c) Admittance circle of ultrasonic probes a and b. |
图 4a是用压电晶体制作的超声探头在空气中(实线)和水中(虚线)测量的导纳实部随频率的变化曲线.图 4b是该同类探头下井过程中测量的导纳实部随频率的变化曲线.其中,最上面的曲线是探头下井前,在地面空气中没有接电缆时测量的导纳.曲线较集中的是下井过程中,每隔100 m测量的导纳曲线,下面的曲线是探头在套管井中进入液体以后测量的导纳曲线,其频率的峰值位于24 kHz与25 kHz之间,靠近24 kHz,与左图的导纳曲线形状相似,主频也比较接近.其他峰是电缆导致的.从图上可以看出:当探头从套管中进入液面以后,由于液体和套管井组成的声负载比较大,其探头的辐射阻抗也比较大,与进入液体之前的导纳相比,其频谱曲线变化比较大.
![]() | 图 4 超声探头在空气中(实线)和水中(虚线)(a)以及下井过程中(b)测量的导纳实部频谱曲线 Fig. 4 Spectrum curve of the real part of admittance of the ultrasonic probe (a) Measurement in the air (solid) and water (dotted) (b) Measurement in downhole process |
用磁芯制作的线圈其阻抗的测量结果同样也具有这样的特征.图 5是一个带磁芯的线圈的阻抗频谱测量结果.在20~40 kHz范围内,从上往下,第一条曲线是模,第二条曲线是实部,第三条曲线是虚部,实部和模也具有极大值.其变化形态与图 3相似,也可以用二阶网络对其进行描述.
![]() | 图 5 圆柱线圈次级开路所测量的初级的阻抗随频率的变化曲线 Fig. 5 The change curve of primary impedance with frequency when cylindrical coil is secondary open |
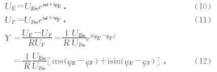
探头频谱的测量主要有两种:一种是通过测量电阻进行测量,另外一种是用电桥的方法进行测量.图 6所示为测量电阻方法.可以改变频率的正弦或者方波信号发生器S产生不同频率的正弦波,该正弦波通过测量电阻R加到探头T上,测量E点和F点的电压波形UE、UF,则待测探头T的导纳Y和阻抗Z分别为
![]() | 图 6 测量电阻原理图 Fig. 6 The schematic diagram of measuring resistance |
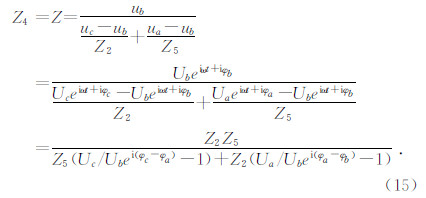
图 7所示为电桥测量方法,其中Z4是待测的探头阻抗,Z1 、Z2 、Z3是调整阻抗,主要用于调整测量电桥的平衡状态.通常情况下,电桥测量时,需要将电桥调整到平衡状态(a、b两点的电压相等,电位差为0).然后根据平衡以后Z1-Z4之间的比例关系获得Z4的测量值.但是,在探头频谱的测量过程中,调整Z1-Z3使电桥平衡的过程比较长,我们直接测量图 5所示abc三点的电压波形,用这三个电压波形直接计算阻抗Z4.
![]() | 图 7 电桥测量原理图 Fig. 7 The schematic diagram of bridge measurement |
测量a、 b、 c三点的电压 
,则所测量的阻抗为
这样,通过计算波形的幅度比和相位差便可得到相应的待测阻抗值Z4.相对于测量电阻方法来讲,电桥方法增加了电阻Z1和Z3,可以通过调整这两个阻值来调整测量精度.
5 相位差与幅度比的测量与处理相位差和幅度可以采用模拟的方法进行,其中,幅度处理有相应的幅度处理电路——用两个运算放大器配合电容的充放电过程形成一个直流电压,该电压与正弦波的幅度成正比.相位差则用模拟器件乘法器,两个正弦波相乘以后出现一个直流项和一个二倍频的正弦波为
将二倍频通过低通滤波器滤掉,则其直流项直接反应相位差,与相位差的余弦成正比.当用数字方法采集波形时,可以选择数字方法得到相位差和幅度.
6 探头频谱与测井响应频谱探头的频谱主要反映探头的基本特征——谐振频率、Q值以及谐振频率处的导纳值等等.这些是探头内部结构和材料参数的综合反映.在井条件下,探头对应的辐射阻抗与井的几何尺寸和地层物理参数有关.如何从不同条件下(辐射阻抗不同)测量到的频谱曲线计算辐射阻抗是频谱测井方法研究的主要内容之一,从辐射阻抗反演地层的物理参数——电阻率或者声波时差是频谱测井方法原理研究的主要内容之一.本文仅讨论复阻抗的测量方法.
设计什么结构的换能器才能够使其导纳曲线对辐射阻抗比较敏感是声电频谱测井换能器设计的主要任务.
测井响应频谱用探头接收到的正弦波形进行计算.实际上相当于对原始测井波形进行了一种新的处理,即不是直接得到地层的电阻率或声波时差等参数,而是借助于频谱这个概念,对测井响应及其方法进行了一些新的认识,通过所获得的频谱的实部和虚部建立测井响应信息的利用方法或者信号处理方法,所建立的方法可能使所测量到的信息更加丰富,或者从原始测量波形处理地层物理参数的方法更具有物理概念、更容易与信号处理方法建立联系.
测井响应通常是一个可以测量的物理量,如电压或者时差等.在一阶近似的情况下,该量与地层物理参数有一个相对简单的关系,如感应测井响应虚部的一阶近似与地层的电导率成正比等.一般情况下通过刻度将这些测量值与地层的物理参数建立一个简单的线性关系,从该关系所得到的物理参数称为视参数,例如视电阻率等.实际上测井响应与地层的物理参数之间的关系是非常复杂的.这些复杂性最终表现在测井曲线的形状上.即在一个具体的测量点虽然只有一个值,但是,不同测量点会得到不同的值,这些值随深度变化构成一个曲线,测井曲线的反演的任务之一就是用这些曲线形状所包含的测井响应信息去获得或估算地层的真正物理参数.
而测井响应频谱则是其响应的一个主要特征,所提供的频率域上的频谱曲线给出了测井方法和地层的更多信息.根据测井方法的二维谱选择所测量的频率区间,可以为我们提供更加丰富、更反应地层物理参数的曲线形状,利用这些曲线形状可以更容易获得所测地层的物理参数.较之于一个深度点只测量一个值的现有测井方法而言,其原始测量信息更加丰富.相应于对所测量的物理量的处理精度也会越高.从测量的角度讲,声电频谱测井是现有测井技术的延伸.以频谱测量为基础对现有的测井方法进行改造,可以产生更加精确的测量方法.另外,声电频谱测井通过不同频率的响应曲线,有可能使地层物理参数与频谱之间的关系简化,更容易得到所对应的地层物理参数.
7 声电频谱之间的一致性声电频谱测井所测量的是声电的频谱,这里既有电的频谱,也有声的频谱.因为在实际所测量到的信号中,声和电的信号是无法区分开的.这也是声电频谱测井不同于现有测井一个主要特征.
感应测井发射一个单频的正弦波(冯启宁,1991;袁吉祥等,2010),接收也是正弦波,通过线圈进行发射和接收.用线圈只能够测量到单个频率的感应测井响应的频谱或者线圈的频谱.
声波探头则就完全不一样了.声波的产生需要振动器件,大多数采用压电器件或者磁致伸缩器件(林书玉等,2013).这些器件激发时靠大的电压或者电流进行冲击,在冲击的瞬间,探头内需要流过很大的电流.即流过的冲击电流越大,激发的振动能量就越大.当这些电流在探头中产生冲击时,同样也在井中产生了电的冲击,这些电冲击在井中同样会激发电响应.只是这些电响应与声响应在空间和时间上是分离的,测量声响应时,尽量通过接地的方式将电响应信号去掉.
但是,当进行频谱测量时,由于单频正弦信号很长,时间域上没有结束,从时间和空间域上无法再分开,这样所测量的频谱既有电响应也有声响应,两者是叠加在一起的,是两种响应的频谱.
在声振动激发时,同时伴随着电信号的激发(张元中等,2005),因此,用瞬变电磁场的响应(任士房等,2012;朱留方等,2014;臧德福等,2014)可以获得地层的电参数—如电阻率,用瞬态声波可以获得地层的纵横波速度参数(Cheng et al.,1992;王建华,2006).声电频谱测井将两者有机地结合在了一起,形成了一种新的声、电测井方法.这种方法在时间域响应中,分别对应瞬态声波波形和电干扰波形.在频率域响应中对应于声电频谱测井.在时域中,声瞬变响应与电瞬变响应波形是分离的.由于激发声波的频率比较低,相应地激发的电响应频率也比较低,主要是电磁感应的响应.在现有的声波测井仪器中,电响应信号主要是通过声系外壳和内部金属连接件传播的,与地层的物理参数关系不密切.声电组合仪器应该用非金属材料加工制作.
8 结 论8.1 在测井响应的二维谱中,实部和虚部刻画了测井响应的主要特征.用不同频率的正弦波或者方波激发,从接收探头的正弦波幅度和相位中可以获得测井响应频谱的实部和虚部.该测井方法与感应测井的单个离散频率响应相比,增加了测量频率范围和原始测井信息,将离散的频率响应测量变成了连续的频率响应曲线,原来只获得一个测量值,现在是两条连续的频谱曲线.这样便可以对测井响应进行更加深入的分析,从这些测量信息中获得更加准确的地层物理参数.
8.2 由于频谱测量时采用单频正弦波形,声、电测井响应的频谱是同时在频谱中被测量的.因此,我们称其为声电频谱测井.在对声电频谱进行测量时,采用不同的测量波形进行处理,可以获得不用的频谱.当用不同源距的接收波形和激发波形处理时,获得的是测井响应的频谱.当用同一源距的探头通过测量电阻或者电桥进行测量和处理时,获得的是探头的频谱.电桥测量时,因为有另一桥臂可以调节,其测量范围更广、适应性更强.
8.3 声电频谱测井将声、电测量在现有的声波测井仪器中被统一.采用非金属材料设计、制作新的声波测井仪器,有可能实现声、电参数的同时测量.由于声波测井的频率在几十千赫兹区域,电响应主要依据电磁感应原理,测量的地层电参数只能够是电阻率.
致 谢 感谢黑龙江兰德功率超声有限公司提供的帮助.| [1] | Cheng C H, Pennington W D, Paillet F L. 1992. Acoustic waveform logging-advances in theory and application[R]. Massachusetts Institute of Technology. Earth Resources Laboratory. |
| [2] | Feng Q N. 1991. The Theory of Logging Instrument (in Chinese)[M]. Dongying:Petroleum University Press. |
| [3] | Guan W, Hu H S, Tang T Z, et al. 2011. The ratio of the acoustoelectric field to the acoustic pressure in the borehole and its dependence on permeability[J]. Chinese J. Geophys. (in Chinese), 54(6):1660-1671, doi:10.3969/j.issn.0001-5733.2011.06.026. |
| [4] | Hsu C -J, Sinha B K. 1998. Mandrel effects on the dipole flexural mode in a borehole[J]. J. Acoust. Soc. Am., 104(4):2025-2039. |
| [5] | Li C W, Yu C H, Wang W X. 1997. Full wavetrain processing of array acoustic logging data and its applications[J]. Well Logging Technology (in Chinese), 21(1):1-8. |
| [6] | Li M, Li Y H, Chu Z H. 2003. Research evolution of acoustic spectrum logging methods[J]. Progress in Geophysics (in Chinese), 18(2):229-233, doi:10.3969/j.issn.1004-2903.2003.02.009. |
| [7] | Lin S Y. 2004. The Theory and Design of Ultrasonic Transducer (in Chinese)[M]. Beijing:Science Press. |
| [8] | Lin S Y, Wang S J, Fu Z Q, et al. 2013. Radial vibration for a radially polarized piezoelectric composite transducer[J]. Acta Acustica (in Chinese), 38(3):354-363. |
| [9] | Luan G D, Zhang J D, Wang R Q. 2005. The Piezoelectric Transducer and Transducer Array (Revision) (in Chinese)[M]. Beijing:Peking University Press. |
| [10] | Rama Rao V N, Vandiver J K. 1999. Acoustic of fluid-filled boreholes with pipe:Guided propagation and radiation[J]. J. Acoust. Soc. Am., 105(6):3057-3066. |
| [11] | Ren S F, Liu Z P, Xiong Z Y, et al. 2012. An application of seismoelectric effect to the tunnel seismic modelling[J]. Progress in Geophysics (in Chinese), 27(5):2240-2247, doi:10.6038/j.issn.1004-2903.2012.05.052. |
| [12] | Shen J G, Chen Y, Yu F W, et al. 2002. The calculation of P-and S-wave velocities from acoustic waveform logs with only two receivers in different ranges[J]. Geophysical Prospecting for Petroleum (in Chinese), 41(1):115-120. |
| [13] | Shen Y J, Shen J G, Han Q B, et al. Features of waveforms of acoustic logging in the low permeability sandstone formation[J]. Progress in Geophysics (in Chinese), 27(2):809-816, doi:10.6038/j.issn.1004-2903.2012.02.050. |
| [14] | Wang J H. 2006. A summary of sonic logging techniques[J]. Chinese Journal of Engineering Geophysics (in Chinese), 3(5):395-400. |
| [15] | Wu J P, Qiao W X, Che X H. 2012. The finite element analysis of a piezoelectric bender used in acoustic logging[J]. Applied Acoustics (in Chinese), 31(2):86-92. |
| [16] | Yuan J X, Wu S W, He H M, et al. 2010. The scale The scale theory and method of induction logging instrument[J]. Petroleum Instruments (in Chinese), 25(1):42-45. |
| [17] | Zang D F, Zhu L F, Shen Y J, et al. 2014. Study on transient electromagnetic logging theory Ⅱ:the response for exact solution[J]. Well Logging Technology (in Chinese), 38(3):267-272. |
| [18] | Zhang H L, Xiao B X. 2000. Numerical study on the influence of the logging tools on the acoustic field of boreholes[J]. Acta Acustica (in Chinese), 25(5):435-439. |
| [19] | Zhang Q, Qu M, Shen J G. 2005. The design and realization of piezoelectric crystal admittance circle measurement machine[J]. Piezoelectrics & Acoustooptics (in Chinese), 27(1):21-23, 26. |
| [20] | Zhang R, Cai C P, Yu Y J, et al. 2008. Orthogonal cross dipole sonic logging system[J]. Petroleum Instruments (in Chinese), 22(6):33-34, 37. |
| [21] | Zhang Y Z, Xiao L Z, Chu Z H, et al. 2005. The converted electromagnetic wave characteristics of seismoelectric conversion effect in borehole[J]. Chinese J. Geophys. (in Chinese), 48(2):452-458, doi:10.3321/j.issn:0001-5733.2005.02.032. |
| [22] | Zhu L F, Shen J G. 2006. The new method of processing the slowness of P and S-wave from waveforms of array sonic logging[J]. Progress in Geophysics (in Chinese), 21(2):483-488. |
| [23] | Zhu L F, Zang D F, Shen Y J, et al. 2014. The theory study on transient electromagnetic logging I:Doll geometric factor[J]. Well Logging Technology (in Chinese), 38(2):150-157. |
| [24] | 冯启宁. 1991.测井仪器原理[M].东营:石油大学出版社. |
| [25] | 关威,胡恒山,汤天知,等. 2011.声电效应测井电声比及其与地层渗透率的关系[J].地球物理学报, 54(6):1660-1671, doi:10.3969/j.issn.0001-5733.2011.06.026. |
| [26] | 李长文,余春昊,王文先. 1997.阵列声波测井资料的分波处理及应用[J].测井技术, 21(1):1-8. |
| [27] | 李铭,李艳华,楚泽涵. 2003.声频谱测井方法研究进展[J].地球物理学进展, 18(2):229-233, doi:10.3969/j.issn.1004-2903.2003.02.009. |
| [28] | 林书玉. 2004.超声换能器的原理及设计[M].北京:科学出版社. |
| [29] | 林书玉,王帅军,付志强,等. 2013.径向极化压电陶瓷长圆管复合超声换能器的径向振动[J].声学学报, 38(3):354-363. |
| [30] | 栾桂冬,张金铎,王仁乾. 2005.压电换能器与换能器阵(修订版)[M].北京:北京大学出版社. |
| [31] | 任士房,刘争平,熊自英,等. 2012.声电效应在隧道地震波场物理模拟实验中的应用[J].地球物理学进展, 27(5):2240-2247, doi:10.6038/j.issn.1004-2903.2012.05.052. |
| [32] | 沈建国,陈宇,袁福文,等. 2002.用两个不同源距的声波测井全波波形计算纵波和横波波速[J].石油物探, 41(1):115-120. |
| [33] | 沈永进,沈建国,韩庆邦,等. 2012.低渗砂泥岩地层的声波测井波形特征[J].地球物理学进展, 27(2):809-816, doi:10.6038/j.issn.1004-2903.2012.02.050. |
| [34] | 王建华. 2006.声波测井技术综述[J].工程地球物理学报, 3(5):395-400. |
| [35] | 吴金平,乔文孝,车小花. 2012.声波测井压电振子的有限元分析[J].应用声学, 31(2):86-92. |
| [36] | 袁吉祥,吴少威,贺红民,等. 2010.感应测井仪器的刻度原理及方法[J].石油仪器, 25(1):42-45. |
| [37] | 臧德福,朱留方,沈永进,等. 2014.瞬变电磁测井原理研究Ⅱ:精确解的响应[J].测井技术, 38(3):267-272. |
| [38] | 张海澜,萧柏勋. 2000.测井仪器对井孔声场影响的数值研究[J].声学学报, 25(5):435-439. |
| [39] | 张强,瞿敏,沈建国. 2005.压电晶体导纳圆测量仪的设计与实现[J].压电与声光, 27(1):21-23, 26. |
| [40] | 张蕊,蔡朝鹏,于瀛蛟,等. 2008.正交偶极子探头导纳圆测量系统[J].石油仪器, 22(6):33-34, 37. |
| [41] | 张元中,肖立志,楚泽涵,等. 2005.井孔声电效应转换电磁波的特征[J].地球物理学报, 2005, 48(2):452-458, doi:10.3321/j.issn:0001-5733.2005.02.032. |
| [42] | 朱留方,沈建国. 2006.从阵列声波测井波形处理地层纵、横波时差的新方法[J].地球物理学进展, 21(2):483-488. |
| [43] | 朱留方,臧德福,沈永进,等. 2014.瞬变电磁测井原理研究I:Doll几何因子[J].测井技术, 38(2):150-157. |
2015, Vol. 30








