20世纪以来,大西洋两侧被动大陆边缘盆地及墨西哥湾等地区屡获生物礁油气重大发现致使生物礁勘探成为当今全球油气勘探的热点.而南海是西太平洋最大的半封闭边缘海,其特殊的地形地貌条件以及沉积环境为生物礁的生长发育提供良好的场所,更为生物礁油气藏形成提供优越的储集条件,已相继也发现了Malampaya气田、LH11-1气田等一系列大型生物礁油气田(龚再升,2009).由于生物礁储层的特殊性,内部非均质性强,地震反射特征多呈杂乱丘状反射特征,致使预测存在很大的难度和不确定性(刘春园等,2007;陆亚秋和龚一鸣,2007;杨涛涛等,2011).在这种背景下,探索并发展一套针对碳酸盐岩生物礁储层评价的研究方法和技术显得尤为重要.
在传统地震勘探中,为了研究的简单化往往将地下地质体简化为均匀介质或连续介质等理想弹性体,容易忽略实际地质体的非均质性(孟凡顺等,2013),这显然不适应于复杂非均质强的碳酸盐岩生物礁储层研究.目前,储层建模主要有确定性建模和随机性建模两种方法,确定性建模即通过地震、钻井等资料获得确定控制点信息,并利用这些确定离散控制点来近似描述实际地质体,通过正演模拟等方法手段研究地震波在地下传播规律;随机性建模是一种对介质的平均速度没有影响的随机、等概率建模方法,是在确定控制点以外区域模型参数连续随机分布建立的介质模型.对于随机性建模前人做了大量的研究,Ikelle等人(Ikelle et al.,1993)最先提出随机性建模的概念,并认为地下实际介质的随机性满足均值为零的地质统计学规律;随后,在此基础上又发展了一系列不同自相关函数的随机建模方法,主要包括高斯型、指数型随机介质(Roth and Korn,1993;Mueller and Shapiro,1999).在国内,姚姚等人(姚姚和悉先,2004)又提出多尺度随机介质建模方法,更能精细描述复杂地质体的非均质性,并对随机介质的波场传播特征进行研究,取得一定的研究成果.现阶段随机建模技术主要基于连续随机过程,多应用于碎屑岩储层研究中(朱生旺等,2008;赵迎月等,2013),而对于碳酸盐岩储层研究鲜有成功的实例,尤其以孔缝非常发育的生物礁储层,研究仅仅局限于理论圆形孔洞模型(吴俊峰等,2007;曲寿利等,2012).
本文以L盆地北1凹陷碳酸盐岩生物礁储层为例,系统阐述了采用阈值截取法建立针对碳酸盐岩生物礁储层物性特征的孔洞随机介质模型,并引入了精细描述生物礁孔洞物性的孔洞率和孔洞半径两个模型特征参量.通过正演模拟结果分析,在中中新世北1凹陷生物礁储层由于海平面的升降变化,生物礁储层接受大气淋滤作用,展示了良好的高孔洞率的储层物性特征和广阔的勘探前景,从而进一步明确了盆地内寻找优质储层的方向.
1 随机介质建模方法原理随机介质是在满足实际介质统计学参数的基础上建立的一种介质模型,可以较为灵活、完整地描述实际介质的非均质性(李灿苹等,2010).随机介质主要分为大尺度非均匀性和小尺度非均匀性两部分:大尺度非均匀性一般用来表征介质的平均特性;而小尺度非均匀性则是加载在大尺度非均匀性上的随机扰动,借助于统计学上的自相关长度、均值以及方差就可以精细刻画这一随机扰动.
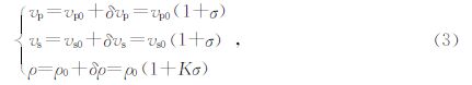
1.1 连续随机介质原理连续随机介质即在确定控制点以外区域储层参数连续随机分布建立的介质模型.以二维弹性随机介质为例,设在点(x,z)处的随机介质纵横波速度及密度分别为vp(x,z)、vs(x,z)、ρ(x,z),与其相对应的小尺度非均匀随机扰动量分别为δvD(x,z)、δvs(x,z)、δρ(x,z),则有
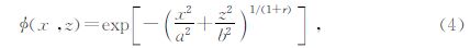
由于实际地层介质的泊松比变化范围不大(通常泊松比多近似为0.25左右),与泊松比有关的纵横波速度比近似约为1.73,而在较小范围内密度与速度又具有一定的线性关系(马中高和解吉高,2005).由此假定纵横波速度的相对扰动相同与密度存在一定线性关系,设
根据实际储层介质的物性特征的不同,随机介质的自相关函数的选择也不同.而描述实际介质的自相关函数主要有三种类型,分别为指数型、高斯型以及混合型(奚先和姚姚,2002),其自相关函数表达式可表示为
由于实际地下介质沉积环境的多样性,介质有时会呈现出一定的方向性(如透镜体等),这里还可以引入方向因子,即矢量型自相关函数,使得随机介质模型能更加灵活、准确地描述实际介质,其表达式为:
在实际地震勘探中,碳酸盐岩储集空间通常分为原生孔隙、溶洞和裂缝三类(王世星等,2005).这种孔隙、溶洞和裂缝组成的储集体在空间上分布具有随机性,因此需要发展相对应的特殊随机介质建模方法.在连续随机介质建模的基础上,利用阈值截取法可构建出具有一定地质统计学特征的复杂随机孔洞介质模型.具体原理如下:从上述连续随机介质模型出发,首先给定阈值截取初始参数(孔洞率和孔洞半径),其次确定连续随机介质模型速度或密度的极值,取速度极值的平均值作为初始阈值,截取孔洞直到该孔洞分布区的孔洞率达到预设孔洞率为止,详细步骤参见孔洞随机介质建立流程图,如图 1所示.这里需要说明的是自相关函数选取不同,相对应的孔洞随机介质的模型都有所不同,对于带有方向因子的自相关函数其构建的孔洞随机介质模型也具有一定方向性.
|
图 1 孔洞随机介质建模流程图 Fig. 1 The flow chart of hole r and om medium model |
图 2为建立的不同自相关函数随机介质模型,可以看出不同自相关函数随机介质适合于不同类型地质体.指数 型和高斯型随机介质适用于描述碎屑岩储层和侵入岩的物性特征,如底辟构造、火成岩等;矢量型随机介质适用于具有一定倾角的地质体,如倾斜裂隙、透镜体等;而孔洞型随机介质适用于孔洞裂缝异常发育的碳酸盐岩储层,这里以生物礁储层最为典型.另外,根据实际介质的复杂性和多尺度性有时需要不同类型随机介质的加权叠合来描述其物性特征.
|
图 2 不同自相关函数随机介质模型 (a)指数型;(b)高斯型;(c)矢量型;(d)孔洞型. Fig. 2 Different autocorrelation function of r and om medium models |
本文主要研究孔缝发育的生物礁储层,故选择孔洞型随机介质模型.由于生物礁储层的孔缝发育规模、纵横向非均匀尺度、倾角以及孔缝中充填流体性质等都会在一定程度上影响储层的非均质性,孔缝的形成一方面会造成强烈的横向不均匀性,另外一方面还可形成较强的各向异性,都会从微观上影响地震波的运动学和动力学参数的变化.因此,在孔洞型随机介质建模过程中,应考虑以上非均质影响因素.图 3为分别考虑这些因素的不同孔洞型随机介质模型,并在相应孔洞内充填需要的物性参数,其中a为不同孔洞率的孔洞型随机介质模型,b为不同自相关长度的孔洞随机介质模型,c为不同孔缝倾角的孔洞型随机介质模型.图 4为按照加权叠加的方式构建的多尺度孔缝随机介质,可以更好地反映实际地下地质构造的宏观和微观特征,为后期多尺度地震资料(包括高精度三维资料、VSP及井间地震等)进一步准确认识地下地质信息提供可能.
|
图 3 孔洞随机介质非均质性影响因素 a1: 10%,a2: 20%,a3: 30%,a4: 40%; b1:a=10,b=10,b2:a=30,b=30,b3:a=50,b=10,b4:a=10,b=50; c1:θ=30°,c2:θ=60°,c3:θ=120°,c4:θ=150° Fig. 3 The heterogeneity factors of hole r and om medium a1: 10%,a2: 20%,a3: 30%,a4: 40%; b1:a=10,b=10,b2:a=30,b=30,b3:a=50,b=10,b4:a=10,b=50; c1:θ=30°,c2:θ=60°,c3:θ=120°,c4:θ=150° |
|
图 4 多尺度孔洞裂缝随机介质模型 Fig. 4 The Multi-scale hole and crack r and om medium |
在晚渐新世到早中新世时期L盆地从华南大陆裂离,呈孤立台地环境,远离大陆物源供给,同时这一时期伴随着海平面的缓慢上升,为盆地台地碳酸盐岩生物礁的生长创造了有利条件.图 5为过L盆地典型生物礁的偏移成果剖面(左为海平面相对变化曲线),由于生物礁顶面与 上覆围岩存在较大的波阻抗差,在地震剖面上多表现为“两谷夹一峰”的强反射特征,而在生物礁复合体内部地震相特征也存在较大差异,既有强振幅丘状地震相,也有弱振幅地震相,不同地震相是否因岩溶性孔洞发育程度的不同使得生物礁内部岩石物性存在较大差异变化造成,因此需要通过正演模拟来进一步对生物礁的地球物理响应特征进行分析.
|
图 5 典型生物礁地震剖面 Fig. 5 The migration of typical reefs section |
孔洞型随机介质模型的建立大致分为两步:
1 )首先依据高频层序划分及地质沉积相分析技术,结合相对阻抗反演技术(图 6)以及钻井资料岩石地球物理分析参数,建立符合实际储层结构的储层框架模型.
|
图 6 相对阻抗反演剖面 Fig. 6 The profile of relative impedance inversion |
2)在储层框架模型的基础上,利用本文的孔洞随机介质建模技术对目标区充填的溶蚀性孔洞进行精细雕刻,最后通过数值模拟等手段获取反应储层物性特征参数.
表 1给出了研究区S-1井所揭示的中新统地层的速度和密度参数,中中新统顶与上中新统盖层为区域不整合接触关系.本文生物礁储层框架模型参数采用表 1岩石物理参数,在此基础上针对目标区建立的孔洞型随机介质模型,分别充填10%~40%不等的孔洞随机介质,孔洞采用多尺度孔洞随机介质模型进行充填,孔洞内介质速度为3650m/s(图 7).
|
|
表 1 L盆地S-1井中新世岩石物理参数 Table 1 The well S1 rock physics parameters in the Miocene of L basin |
|
图 7 不同孔洞率随机介质模型 Fig. 7 Different hole r and om medium models |
为了能 与实际地震资料对比,这里正演模拟参数选取采用与实际地震采集参数相近的观测系统参数:炮间距50 m,道间距12.5 m,道数480道,最小偏移距175 m,接收排列长度6000 m,时间采样间隔为2 ms,满足覆盖次数为60次,另外通过对实际地震资料目标区生物礁储层的频谱特征进行分析,确定数值模拟所用子波为主频35 Hz的Ricker子波.
将不同孔洞率随机介质模型正演模拟炮集记录进行叠前深度偏移,偏移结果如图 8所示.与图 5所示实际地震剖面对比可见,岩溶性孔洞发育区地震反射能量有所增强,而对于岩溶性孔洞不发育区相应反射能量较弱,因此地震波反射能量与实际生物礁储层的岩溶性孔洞发育情况有关;另外,在岩溶性孔洞发育区,30%~40%孔洞率的随机介质模型模拟结果与实际地震资料的反射特征比较接近,初步认为该期生物礁储层的物性较为有利.究其原因,主要由于Ⅱ期生物礁随着海平面的下降,生物礁出露水面接受大气淋滤作用,该时期生物礁发育大量溶蚀性孔洞,储层物性特征较为优越.
|
图 8 不同孔洞率地震响应特征分析 Fig. 8 Analysis of characteristics of seismic response for different hole models |
针对南海L盆地生物礁储层,根据生物礁地震相特征及地震层序学原理有效建立了地层结构模型,结合相对阻抗反演技术建立储层框架模型,采用孔洞型随机介质模拟技术对储层内部孔洞裂缝进行精细雕刻,建立符合实际地质情况的随机介质模型,有效解决了碳酸盐岩生物礁储层评价问题.通过分析主要得到以下几点认识:
(1)孔洞型随机介质能精细刻画碳酸盐岩储层内强烈非均质性及裂缝孔隙发育的物性特征,分别选取合适的自相关长度、孔洞率、倾角以及孔洞中充填的流体性质等可以构建适合不同碳酸盐岩储层的孔洞随机介质,能较好地描述实际介质的非均质特性.
(2)利用孔洞随机介质建模技术对目标区分别充填不同孔洞率的随机介质进行模拟分析,模拟结果表明,孔洞率30%~40%模拟结果与实际地震剖面比较吻合,初步认为该时期生物礁储层物性较为有利,从定量上拓展了针对生物礁储层评价的技术和方法.L盆地北1凹陷中中新世生物礁成群成带分布,是盆地未来重要的勘探领域.对于如何寻找优质生物礁储层,同样可以借鉴基于随机介质建模的生物礁储层评价方法,结合传统地震相分析,寻找有利储层发育带,提高储层预测的精度,为勘探目标的寻找与优选提供科学的理论指导.
致 谢 感谢审稿专家提出的宝贵修改意见和编辑部的大力支持!
| [1] | Gong Zai-sheng. 2009. Reef: an important exploration realm in the deepwater areas, the northern South China Sea[J]. China Offshore Oil and Gas (in Chinese), 21(5): 289-295. |
| [2] | Ikelle L, Yung S K, Daube F. 1993. 2-D random media with ellipsoidal autocorrelation functions[J]. Geophysics, 58(9): 1359-1372. |
| [3] | Li Can-ping, Wang Nan-ping, Li Zhi-hong. 2010. The application of Von Karman type autocorrelation function to modeling random media[J]. Geophysical and Geochemical Exploration (in Chinese), 34(1): 98-102. |
| [4] | Liu Chun-yuan, Wei Xiu-cheng, Xu Sheng-feng, et al. 2007. The overview of geophysical techniques in prediction of carbonate rock reservoir[J]. Progress in Geophys. (in Chinese), 22(6): 1815-1822, doi: 10.3969/j.issn.1004-2903.2007.06.021. |
| [5] | Lu Ya-qiu, Gong Yi-ming. 2007. On Reefs in association with marine oilfields: Actuality, problems and prospects[J]. Earth Science——Journal of China University of Geosciences (in Chinese), 32(6): 871-878. |
| [6] | Ma Zhong-gao, Xie Ji-gao. 2005. Relationship among compressional wave, shear wave velocities and density in rocks[J]. Progress in Geophysics (in Chinese), 20(4): 905-910, doi: 10.3969/j.issn.1004-2903.2005.04.004. |
| [7] | Meng Fan-shun, Li Yang-sen, Wang Lu, et al. 2013. Based on variable and staggered grids seismic numerical simulation[J]. Progress in Geophys. (in Chinese), 28(6): 2936-2943, doi: 10.6038/pg20130614. |
| [8] | Mueller T M, Shapiro S A. 1999. Green’s function construction for 2D and 3D elastic random media[C].// 69th Internat. Mtg. SEG, Expanded Abstracts, 18: 1797-1800. |
| [9] | Qu Shou-li, Zhu Sheng-wang, Zhao Qun, et al. 2012. Analysis of seismic reflection characters for carbonate Karst reservoir[J]. Chinese J. Geophys. (in Chinese), 55(6): 2053-2061, doi: 10.6038/j.issn.0001-5733.2012.06.027. |
| [10] | Roth M, Korn M. 1993. Single scattering theory versus numerical modelling in 2-D random media[J]. Geophys. J. Int., 112(1): 124-140. |
| [11] | Wang Shi-xing, Cao Hui-lan, Jin Wenfang, et al. 2005. Seismic response and prediction of fracture-cavity system in carbonate reservoir: A case study in the Ka-1 field[J]. Geophysical Prospecting for Petroleum (in Chinese), 44(5): 421-427. |
| [12] | Wu Jun-feng, Yao Yao, Sa Li-ming. 2007. Analysis on seismic response of special cavernous structure of carbonate[J]. Oil Geophysical Prospecting (in Chinese), 42(2): 180-185. |
| [13] | Xi Xian, Yao Yao. 2002. Simulations of random medium model and intermixed random medium[J]. Earth Science——Journal of China University of Geosciences (in Chinese), 27(1): 67-71. |
| [14] | Xi Xian, Yao Yao, Gu Han-ming. 2005. Random cavity medium model and the wave field simulation[J]. Progress in Geophysics (in Chinese), 20(2): 365-369, doi: 10.3969/j.issn.1004-2903.2005.02.018. |
| [15] | Yang T T, Lv F L, Wang B, et al. 2011. Geophysical features and hydrocarbon exploration prospection of reef in Xisha offshore[J]. Progress in Geophys. (in Chinese), 26(5): 1771-1778, doi: 10.3969/j.issn.1004-2903.2011.05.032. |
| [16] | Yao Yao, Xi Xian. 2004. Regionalized multi-scale random medium model and its wavefield analysis[J]. Geophysical Prospecting for Petroleum (in Chinese), 43(1): 1-7. |
| [17] | Zhao Ying-yue, Gu Han-ming, Wang Yong, et al. 2013. Research on constructing clastic reservoir seismic geologic model under no well condition[J]. Chinese J. Geophys. (in Chinese), 56(6): 2055-2064, doi: 10.6038/cjg20130626. |
| [18] | Zhu Sheng-wang, Wei Xiu-cheng, Qu Shou-li et al. 2008. Description of the carbonate Karst reservoir with random media model[J].Acta Geologica Sinica(in Chinese),82(3):420-427. |
| [19] | 龚再升. 2009. 生物礁是南海北部深水区的重要勘探领域[J]. 中国海上油气, 21(5): 289-295. |
| [20] | 李灿苹, 王南萍, 李志宏. 2010. Von Karman型自相关函数模拟随机介质[J]. 物探与化探, 34(1): 98-102. |
| [21] | 刘春园, 魏修成, 徐胜峰,等. 2007. 地球物理方法在碳酸盐岩储层预测中的应用综述[J]. 地球物理学进展, 22(6): 1815-1822, doi: 10.3969/j.issn.1004-2903.2007.06.021. |
| [22] | 陆亚秋, 龚一鸣. 2007. 海相油气区生物礁研究现状、问题与展望[J]. 地球科学——中国地质大学学报, 32(6): 871-878. |
| [23] | 马中高, 解吉高. 2005. 岩石的纵、横波速度与密度的规律研究[J]. 地球物理学进展, 20(4): 905-910, doi: 10.3969/j.issn.1004-2903.2005.04.004. |
| [24] | 孟凡顺, 李洋森, 王璐,等. 2013. 基于可变交错网格的地震波数值模拟[J]. 地球物理学进展, 28(6): 2936-2943, doi: 10.6038/pg20130614. |
| [25] | 曲寿利, 朱生旺, 赵群,等. 2012. 碳酸盐岩孔洞型储集体地震反射特征分析[J]. 地球物理学报, 55(6): 2053-2061, doi: 10.6038/j.issn.0001-5733.2012.06.027. |
| [26] | 王世星, 曹辉兰, 靳文芳,等. 2005. 碳酸盐岩缝洞系统地震响应特征分析和塔中卡1区缝洞储层预测[J]. 石油物探, 44(5): 421-427. |
| [27] | 吴俊峰, 姚姚, 撒利明. 2007. 碳酸盐岩特殊孔洞型构造地震响应特征分析[J]. 石油地球物理勘探, 42(2): 180-185. |
| [28] | 奚先, 姚姚. 2002. 随机介质模型的模拟与混合型随机介质[J]. 地球科学——中国地质大学学报, 27(1): 67-71. |
| [29] | 奚先, 姚姚, 顾汉明. 2005. 随机溶洞介质模型及其波场模拟[J]. 地球物理学进展, 20(2): 365-369, doi: 10.3969/j.issn.1004-2903.2005.02.018. |
| [30] | 杨涛涛, 吕福亮, 王彬,等. 2011. 西沙海域生物礁地球物理特征及油气勘探前景[J]. 地球物理学进展, 26(5): 1771-1778, doi: 10.3969/j.issn.1004-2903.2011.05.032. |
| [31] | 姚姚, 奚先. 2004. 区域多尺度随机介质模型及其波场分析[J]. 石油物探, 43(1): 1-7. |
| [32] | 朱生旺, 魏修成, 曲寿利,等. 2008. 用随机介质模型方法描述孔洞型油气储层[J]. 地质学报, 82(3): 420-427. |
| [33] | 赵迎月, 顾汉明, 汪勇,等. 2013. 无井条件下建立碎屑岩储层地震地质模型研究[J]. 地球物理学报, 56(6): 2055-2064, doi: 10.6038/cjg20130626. |
2015, Vol. 30

