2. 中兴通讯西安研究所, 西安 710065
2. ZTE Xi'an research institute, Xi'an 710065, China
随着各行各业对资源的需求持续增长,部分矿产资源已出现枯竭.再者,新探明矿山数量较少,接替矿山资源严重不足,因此对深部矿产进行勘探是当前研究的热点也是难点(刘光鼎和郝天珧,1995;严加永等,2008;曹令敏,2011;叶益信等,2011).由于我国工业基础薄弱,再加上受到“造仪器不如买仪器”思想的影响,所以仪器研制远落后于西方发达国家(赵国泽等,2007;滕吉文,2009;林君等,2010,刘光鼎,2013).目前,国内仪器的研制基本上处在仿制和跟随阶段,主要是突破在浅层金属矿勘探中发挥重要作用的轻型电法仪,而对深部电法勘探仪器的研制才开始(滕吉文,2005,2010;陆其鹄等,2007,2009;张树良等,2011).
采用增加输入电流的方法可在一定程度上提高电法仪器勘探深度,但远还不够,一是会大幅度增加发送机的额外质量,在山区则无法开展测量(底青云等,2006;张碧勇等,2014),二是电磁耦合感应会大幅度的增加.对于电磁耦合感应,其强度大致与勘探深度的平方成正比(Routh and Oldenburg,2001;白宜诚等,2003).如果我们把勘探深度从当前的200米增加到1000米,电磁耦合感应大致会增加25倍.所以,为提高观测结果的横向分辨率和便于采用信息多次覆盖技术以进一步增强二次源信号的强度,采用分布式采集系统对测区进行深部勘探是唯一的选择(底青云等,2013).对于分布式采集系统,主控站需要对多个采集站的数据进行汇总和分析.要准确知道每个采集站所测数据的差异,最关键的技术就是要解决系统的同步观测问题.所以同步授时就显得尤为重要.
全球定位系统(GPS,Global Position System)因具有精度高,覆盖范围广,快捷方便等授时优点,而在全球范围内被广泛应用(Lew and owski et al.,1999;Moreno-Muñoz et al.,2013).但它易受外界环境影响而导致失锁(黄翔和江道灼,2010).目前中南大学研制的激电(IP),大地电磁(MT)和音频大地电磁(AMT)分布式采集系统采用的采样率分别为64 Hz,2.4 KHz和24 KHz.同步精度一般为采样率的100倍,所以上述三种分布式系统所需的同步精度分别为156.25 us,4166 ns,416 ns.当GPS失锁时,GPS时钟误差最大可达到几百微秒(曾祥君等,2002),所以只采用GPS授时远不能满足分布式采集系统对同步授时的要求.
吴宁等采用IRIG-B码对时钟误差进行修正,可实现在GPS接收正常时授时误差不超过0.1 μs,丢失GPS信号6 h授时精度可达到55 μs(吴宁等,2008).Agarwal V和Graham W P采用高速DSP对GPS信号进行采样,并利用最优估计对信号中的噪声进行滤除,可提高GPS授时精度(Agarwal et al.,2009;Pulford,2010);李泽文等增加了数字锁相环来改善信号跟踪性能,并利用恒温晶振(OCXO,Oven Controlled Crystal Oscillator)可进一步提高GPS正常时的授时精度(李泽文等,2009). C. N. M. Marins和P. Kaufmann采用时间数字转换器产生时间编码序列,通过反复的比较和调节可使得OCXO的频率准确度达到10-11,但GPS失锁后,频率准确度变得很差(Marins et al.,2010).张斌等采用相位补偿算法在GPS锁定时同步精度可达到25 ns,但当GPS失锁后,同步精度则会变的很差(张斌和张东来,2012).Yan H K和Yu Morton采用互相关的方法对OCXO的频率准确度进行分析,使得OCXO的短期稳定度可达到10-11,但长期稳定性还有待验证,并且该方法计算量大,过程复杂,不适合用在野外仪器中(Kou and Morton,2013).王猛等和真齐辉等仅采用GPS同步,所以同步性能得不到保证(王猛等,2013;真齐辉等,2013).李怀良等利用UIP协议的广播模式来进行同步,虽有对该方法进行改进,但由于地震勘探对同步授时精度要求不高,所以该方法不能被借鉴到电法勘探中(李怀良等,2013).陈凯等采用OCXO,CPLD和MCU进行同步授时,增加了元器件的浪费和功耗的消耗,并且同步精度低(陈凯等,2013).刘明雍在DSP中采用线性回归和卡尔曼滤波来调节OCXO,当GPS锁定时,同步精度在100 ns以内.但GPS失锁后同步精度则没有做详细测量(刘明雍等,2013).
分析可知,上述基于GPS和晶振的授时方案要么算法复杂,功耗大,不适合用在野外仪器中,要么忽略了晶振自身漂移对时间偏差造成的影响,或者有对晶振频率进行校准,但对时钟偏差的测量精确度不高.由于晶振的漂移存在累计效应,如不进行校准,长时间观测同步授时精度会大为降低.
采用一般原子钟进行同步授时,虽然精度可行,但功耗太大,可达到几十瓦,并且体积也很大,所以当前尚不能应用到野外仪器设计中(张首刚,2009;屈勇晟等,2013).目前,虽然有一款商用芯片级原子钟(CSAC,Chip-Scale Atomic Clock)SA.45 s,但它的技术还不成熟,只是一款半成品(张志强等,2012;Straessle et al.,2013;Tan et al.,2013).首先是在GPS锁定的前提下,该原子钟与1PPS同步后,自身输出的秒脉冲与GPS产生的1PPS之间的同步精度为-100~+100 ns,而结合后文可知本文设计的方案可确保同步精度一直保持在-30~+30 ns左右.再者,该原子钟的相位噪声比文中所用的OCXO的大,如在10 KHz时,原子钟的相位噪声为-135 dBc/Hz max,OCXO的相位噪声为-150 dBc/Hz max.SA.45 s有窄温和宽温两种产品可选,应用到地球物理勘探中会选择宽温.对于宽温SA.45 s它的短期稳定度至多是1×10-11,OCXO的短期稳定度可达到2×10-11,已经满足分布式采集系统对同步精度的要求(IQD,2012;Symmetricom,2014).在GPS失锁后,虽然SA.45s的长期稳定性比OCXO好,但它的价格至少是OCXO的20倍,这让设计变得得不偿失.高昂的价格对大规模运用同步授时的分布式系统来说基本上很难实现,造成了资源的浪费,而且也没必要.
因此本文设计出一种基于GPS和OCXO的高精度校频和同步授时方案,以解决电法勘探分布式采集系统同步授时的问题.该方案仅采用一片FPGA来完成系统的设计,最大程度地简化了电路设计,提高了系统的稳定性.而且功耗低,价格廉价,性能优越,可为目前所有的分布式电磁采集系统提供一种精密的同步授时方案.
1 高精度校频和同步授时总体设计方案如图 1所示为高精度校频和同步授时总体设计方案
![]() | 图 1 高精度校频和同步授时总体设计方案Fig. 1 General scheme of the high precision frequency correction and synchronous timing |
如图 2所示为FPGA内部电路结构框图.
![]() | 图 2 FPGA内部电路结构框图Fig. 2 The structure block diagram of the internal circuit in FPGA |
如图 1中所示,GPS模块提供1PPS信号.OCXO作为时钟源给FPGA提供10MHz的时钟,经过图 2中DCM单元倍频至400 MHz.如图 2中所示,FPGA内部电路主要包括,复位模块,时间间隔测量模块,时间转化模块,GPS锁定检测模块,RAM缓存模块,1PPS计数模块,校频计算模块和同步输出模块.主要实现步骤可分为三部分:
时间间隔测量:每次1PPS脉冲到来时测量一次1PPS与本地秒脉冲(LPS,Local Pulses per Second)之间的时间间隔值.
校频计算:把均值滤波算法和校频算法分解成加减运算和左移运算,再根据1PPS计数模块和频率准确度的不同选择相应的调节频率和档位,并把控制信号输入到DA转换器,从而对恒温晶振进行校频.
同步输出模块:为满足GPS在任何时间失锁LPS都能很好的代替1PPS工作的要求,设计中采用每完成一次频率校准就对LPS与1PPS信号的同步修正一次的方法来解决.
2 时间间隔测量的硬件设计时间间隔测量的方法主要有电子计数法,时间间隔扩展法,延迟线内插法和游标法(张延和黄佩诚,2006;文暄等,2007;孙杰和潘继飞,2007).本次设计根据所选FPGA的内部电路结构,采用延迟线内插法对时间间隔进行精确测量.
2.1 时间间隔测量原理时间间隔测量原理如图 3所示,所要测得的时间是1PPS信号的上升沿与本地时钟的分频信号clk_10KHz的上升沿之间的时间差,即图中的T.T由“粗测量”时间加上“细测量”时间得到,即
式(1)中(M-N)T0为粗测量时间,nt0为细测量时间.T0为系统时钟周期,t0为1PPS在每个延迟单元上的传输时间,n为1PPS信号在延迟线上传输所进过的延迟单元的个数.由该式知,t0决定了该方法测量的最小精度,即最小时间分辨率.
![]() | 图 3 时间间隔测量原理图Fig. 3 The schematic of time interval measurement |
细测量是对nt0进行测量,本设计采用延迟线法对其进行测量.设计延迟线须满足三点:一是,延迟线必须是一条直线,尽可能使信号传输路径简单,二是,构造延迟线的各延迟单元的延迟时间必须相等,便于统计和计算,三是,延迟线的总体延迟时间必须大于一个系统时钟周期.针对上述三点,再结合FPGA内部结构的特点,最终选用Xilinx公司的xc6slx9作为本次设计的芯片.
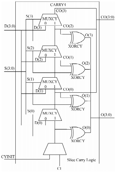
在FPGA内部构造延迟线的方法有很多种,一般是采用计数器,加法器或者乘法器等来构造,其中直接调用专用进位线单元来构造延迟线具有最高的测时分辨率.本次选用的芯片包含专用进位线单元CARRY4,所以直接调用即可.
如图 4所示是进位线单元(CARRY4)的结构图.从图中可看出进位线单元主要是由多路选择器(MUXCY)和专用异或门(XORCY)这两部分组成.
![]() | 图 4 进位线单元(CARRY 4)的结构图Fig. 4 The structure of carry line unit(CARRY 4) |
为便于对测得数据进行编码处理,对CARRY 4输入端配置如表 1所示参数.
| 表 1 CARRY 4的输入配置表Table 1 The input configuration of CARRY4 |
进位信号由CI输入,沿着延迟线传输.S(3:0)是配置信号的传输路径,当配为“1111”时,表明进位信号沿MUXCY的端口1传输.D(3:0)是为MUXCY的端口0配置相应的值.输出信号O和进位输出信号CO只由S和进位信号决定,所以D(3:0)的值不作考虑.当进位信号未到达时,异或门的输出信号O全为1.当进位信号在延迟线上传输时,CO就由低位到高位逐位由0变为1,再经过异或门,输出信号O(3:0)也从低位到高位逐位由1变为0.这就得到格式为“111……11000……00” 的输出信号O.
数据中的0表明进位信号在它之后的第一个系统时钟的上升沿到来前所经过的延迟单元,1表明1PPS信号未到达的区域.因此,只要统计出0的个数就可知道进位信号所经过的延迟单元数,从而计算细测量的时间值.
要计算细测量的时间间隔值,必须测得每个延迟单元的延迟时间.设计中采用Modesim6.5SE对电路进行布局布线后仿真来测得每个单元的延迟时间.测量中得到了每个输出由1变为0的时间节点,如表 2所示.
| 表 2 延迟线测量表Table 2 The measuring data through the delay line |
从上表格可以看出,每两个位组成一组一起变化,通过它们的延迟时间只有71 ps和10 ps两种情况.因此,结合0的个数就能计算出1PPS信号在延迟线上传输的时间,从而达到精确测量的目的.
xc6slx9这款FPGA芯片每个CLB里有一个slice单元,每个slice有一个CARRY4器件,纵向上一共有60个slice,那么该芯片最大能构造一条240位的延迟线.设计中系统时钟频率选为400 MHz,周期为2.5 ns.由于(71+10)×(240/4)=4860 ps>2.5 ns,所以构造一条长度为240位的延迟线来进行二次测量是完全可行的.
如图 5所示为细测量模块的电路原理图.
![]() | 图 5 细测量模块的电路原理图Fig. 5 The schematic of the accurate measuring circuit |
由图可知,设计中以1PPS作为D触发器的时钟,在1PPS上升沿到来时产生的进位信号代替1PPS进入延迟线.当得到细测量的数据后,在系统时钟上升沿到来时会被触发器一致锁存.Q0为最低位触发器的输出信号,经非门后得到使能信号enable1.图中的第二排触发器的作用是防止亚稳态的产生,以确保数据被编码时已进入稳定的状态.由于延迟线数据位有240位,为方便后续处理必须对数据进行编码.设计中编码器采用8位优先编码器,最低位为最高优先级.
2.3 时间间隔粗测量的设计粗测量是对(M-N)T0进行测量,该模块采用计数器来完成.由于系统时钟为400 MHz,如果把系统时钟clk分频至1 s来进行1PPS与分频秒脉冲之间的时间间隔测量,则至少需要一个29位的计数器来进行记数,扩大了数据位数,容易产生亚稳态,不利于后续的数据处理.为避免上述问题,设计中以clk进行4000的分频得到10 KHz的信号clk_10KHz代替分频秒脉冲进行时间间隔测量.由于1PPS信号存在几十纳秒的随机抖动,为防止抖动打乱粗细测量的顺序,设计中采用计数的方法,让1PPS的上升沿落到clk_10 KHz一个周期的中间区域后才开始分频.
clk的频率为400 MHz,clk_10 KHz的频率为10 KHz,所以计数器的位数选为16位.如图 6所示为粗测量电路原理图.
![]() | 图 6 粗测量电路原理图Fig. 6 The schematic of the coarse measuring circuit |
图中使能信号enable1由细测量模块产生,使能信号enable2由如图 7所示电路产生.计数器在系统时钟的作用下一直记数,当使能信号信号enable1和enable2为高电平时,则对应的触发器分别锁存相应的计数值.为防止锁存的数据被覆盖,使能信号enable1和enable2只能持续一个周期的高电平.
![]() | 图 7 使能信号enable2产生模块Fig. 7 The enable signal enable2 generating module |
为获得精确的时间信息,需要把粗细测量中相同的误差部分全部减去.粗测量整合模块是对计数值counter1和counter2进行差分运算.做差分运算存在两种情况,一种是counter2大于counter1,另一种是counter2小于counter1.第一种情况,整合值counter=counter2-counter1,第二种情况,整合值counter=counter2+16’hffff+1’b1-counter1.
如图 7所示为使能信号enable2产生电路图.clk_10KHz的高电平只持续一个时钟周期.第二个触发器的作用是确保信号enable2能持续一个时钟周期.由于FPGA是并行处理的,这样设计可以确保细测量和粗测量的先后顺序.
3 时间转化模块时间转化模块是把细测量和粗测量的时间信息通过运算转化为具体的时间值.Clk_10 KHz的频率为10 KHz,所以粗测量模块的最大时间间隔值为105 ns.设计中采用32位的二进制数对时间进行量化,最小单位表示1 ps,则32位的二进制数最大可表示4.3×106 ns,这满足要求.
实际设计中,如果时钟频率过高,再加上乘数的位数过大,直接做乘法运算很容易产生亚稳态,从而导致数据的不准确.为解决上述问题,设计中把乘法运算分解为左移的方式来进行计算,这充分利用FPGA内部结构的特性.
4 RAM缓存模块RAM缓存模块中的RAM存储器是调用Xilinx 公司提供的IP核BlockRAM,设计中设定存储器深度为256,数据位宽为32位,数据操作模式为NO_CHANGE.结合后文的均值滤波算法可知,每次计算都需要读取地址相距为255的两个数据,然后再写一个数据,所以需要额外设计一个RAM控制器.该控制器采用状态机来完成.如图 8所示为状态机程序流程图.
![]() | 图 8 状态机程序流程图Fig. 8 The flow chart of the state machine |
系统采用低电平复位,复位后状态机一直处于空闲状态idle.在GPS锁定的前提下,当完成一次时间转化模块的计算后,状态机被启动一次.GPS锁定表明完成一次有效的测量,才对测得数据进行存储,否侧视为无效测量,不存储.实际设计中GPS芯片选用U-BLOX LEA-6T,该芯片与FPGA之间采用UART串口通讯.GPS锁定检测模块是对FPGA内UART串口接收的数据进行检测.当锁定时为A,则置位标志位gps_lcok,未锁定时为V,则gps_lcok为0.
状态机启动后首先进入读状态,总体使能信号ena置为1,写使能信号wea置位0.为确保每次读取的两个数据地址相差255位,设计中先保存一份初始地址值,再把初始地址值赋值给RAM的地址.读第二个数据与第一个类似,只是地址需在初始地址的基础上加255.为便于校频计算模块对数据的提取,设计中每读一个数据后均置位一次标志信号,并持续一个时钟周期.完成读操作后,则进入写状态.把先前保存的初始地址作为写操作的地址,完成写操作后,则进入整合状态.在该状态,完成初始地址加1以作为下一次操作的初始值,完成RAM时钟拉低,ena=0,wea=0等操作.最后返回空闲状态idle,等待下一次的操作.
5 频率校准5.1 频率校准的原理频率准确度可以被定义为实际频率与标准频率的偏差,校准则是把这一偏差缩小到一定的范围内,公式为
式中f1为实际频率,f0为标准频率.
测量频率准确度的方法有测频率法,测周期法和测相位法三种方法,其中测周期法是运用最广泛也是最容易实现的一种方法.本次设计采用测周期法来进行测量.T1和T2分别是前后两次被测信号与标准信号的时间差.因此,频率准确度的表达式可写为(刘娅等,2013)
影响频率准确度主要有两个因素,一是OCXO自身频率漂移的特性,记为Q0,另一个是1PPS信号受外界环境影响而引入的随机噪声,记为Q1.那么所测的时间间隔值可表示为
设计中采用均值滤波的方法来对噪声进行压制.均值滤波公式为
式中,M为滑动窗口,X(j)为测得的时间间隔值,Y(i)为M个点的平均值.由于1PPS信号的周期为1 s,则式中T取1012 ps.结合公式(3)(5)得滤波后的频率准确度A为
把式(4)带入式(6)可得,
由式(7)可知,通过均值滤波算法,两种噪声均被被削减为原来的1/M.实际验证表明,该滤波算法能很好的压制噪声.
6 校频控制方法和同步输出单元6.1 OCXO校频控制方法在对测得数据进行滤波处理后,就需要结合OCXO的压控灵敏度和DA转换器的分辨率来对OCXO进行校频控制.实际设计中选用的OCXO为LFOCX053627,价格为800元.该OCXO的输出频率在-1000~1000 ppb之间变化,标准输出频率为10 MHz,所以频率的调节范围为-10~10 Hz.再者恒温晶振的可调电压范围为0~5 V,根据恒温晶振的压控线性特征,可估算压控灵敏度为20/5=4 Hz/V.设计中采用的DA转换器为16位,那么频率调节的最小步进量为3.04×10-5 h,最小稳定度步进量为3.04×10-11.这满足调节要求.
实际设计中是以频率准确度为准则来进行校频.为防止数据突变产生过校频,校频采用定步长的方法.一共设5个档位,并且每个档位的调节步长和调节频率均不同.如表 3所示为各调节阶段所对应的参数.表中x表示十六进制.
| 表 3 各调节阶段所对应的参数表Table 3 The correcting parameters in different stage |
为避免除法运算,把式(6)变成如下形式,并设定新的调节标量为A0.
可以看出每次调节只需对先后两次读取的RAM数据做比较运算,简化了程序设计.根据频率校准效率和滤波效果,设计中滑动窗口值选为255.这也是存储器RAM的深度设定为256的原因.根据式(8)可得新的参数对应表,如表 4所示.当准确度A0处在不同的范围内时,调节的频率不一样.这是因为OCXO存在输出频率稳定时间,就是当两端电压升高或者降低时,输出频率不是立刻就稳定下来的,而需要一个稳定时间.当准确度越高,所需的稳定时间就越久.设计中1PPS计数模块根据校频计算模块反馈的档位信息来进行相应的计数,以达到不同的调节频率.
| 表 4 变形后各调节阶段所对应的参数表Table 4 The new correcting parameters in different stage |
在对频率进行校准时,如果第一次读取的数据大于第二次,那么频率较高,根据表 4所处的范围从而选定对应的调节频率和步长.调节是用开始设定的AD初始值减去选定的步长.如果第一次读取的数据小于第二次,那么频率较低,则需加上相应的步长.由于恒温晶振在中间电压最为稳定,再由于才上电时RAM需要4.3 min才能写满,这段时间读取的第一个数均为0,系统判断频率准确度偏低,所以这段时间会一直做加法.为避免过校频,AD初始值一般设为稍微小于x“ffff”一半的值.设计中初始值设为x“7eff”.
实测表明,采用此方法从系统上电到频率校准锁定需要45 min左右,其中恒温晶振启动加热15 min.当频率锁定一次后,失锁再锁定只需200 s左右.如表 5所示为当频率锁定一次后,断开GPS天线不同的时间,频率再次锁定所需要的时间.
| 表 5 频率再次锁定所需时间Table 5 The time of frequency locking again |
由表中数据可以得出,当频率完成校准一次后,在GPS失锁1 h和失锁24 h后,频率再次校准需要的时间基本一致.这表明,GPS失锁后,BlockRAM中存储的数据仍然有效,进而也从一方面验证了,1PPS信号引入的噪声为随机噪声,长时间运行不会积累.
6.2 同步输出模块的设计当GPS失锁后,系统会自动切换到LPS来代替1PPS信号,这就需要LPS时刻与1PPS信号具有高精度的同步.设计中采用每完成一次频率校准就对同步修正一次的方法来解决上述问题.如图 9所示为同步输出模块框图.
![]() | 图 9 同步输出模块Fig. 9 The diagram of Synchronous outputting module |
频率锁定计数器采用1 bit信号对频率锁定标志freq_lock进行计数.设计中规定,在GPS锁定的前提下,每完成频率校准一次再经过5 min才对freq_lock进行计数.其中5 min为OCXO的频率稳定时间.当GPS失锁后则不进行频率校准,并且一直保持当前各数据.当频率锁定计数器计到1时,把enable1_div置为1,enable2_div置为0,当计到0时,把enable1_div置为0,enable2_div置为1,按照这样的方式一直循环下去.当enable1_div为0时,复位D触发器和计数分频模块.当enable1_div为1时,使能第一路的D触发器和分频模块.分频模块在1PPS后的第一个时钟上升沿到来时,置位秒脉冲信号,高电平持续0.1 s(与1PPS一样),从而完成一次同步校频.这种设计方案可使得分频秒脉冲与1PPS的初始同步精度至少达到2.5 ns.第二路功能与第一路一样.这两路信号通过第一个mux选择输出.当enable1_div为1时输出sync_second1,当enable1_div为0时输出sync_second2.秒脉冲信号sync_second3再经过第二个mux,该开关通过GPS锁定信号gps_lock选择输出.设计中优先采用GPS提供的1PPS信号,所以当gps_lock=1时,输出1PPS信号.当GPS失锁后,选择输出本地秒脉冲.
7 协同授时方案的效果如图 10所示,为实体调试图.从图中可以看出,外围电路很简单.
![]() | 图 10 实体调试图Fig. 10 The debugging diagram of the model machine |
图 11所示,是频率锁定后通过chipscope抓取的内部信号数据图.
![]() | 图 11 频率锁定后内部信号图Fig. 11 The diagram of internal data when frequency corrected |
图中data_temp是读取的BlockRAM中的一个32位的时间间隔值,data_in_temp1为与data_temp地址位相差255的时间间隔值.data_in_temp2是它们的时间间隔差值,为x”0000_49b7”,小于x”0000_639c”,表明频率准确度达到了校准的范围.
如图 12所示为GPS锁定时,LPS与1PPS每隔3小时的同步效果对比图.
![]() | 图 12 不同时段同步效果对比图(GPS锁定)Fig. 12 The synchronous comparison at different times(GPS lock) |
由上图可知,LPS与1PPS信号的同步精度一直保持在50 ns左右.再由于1PPS本身存在几十纳秒的随机抖动,所以本文设计的方案在GPS锁定时,LPS与1PPS 同步精度可达到30 ns,甚至更高.长时间运行同步效果会更好.所以这时不管采用LPS授时还是1PPS授时均可满足电法分布式采集系统对同步授时的要求.
如图 13所示,(1)为频率锁定后,断开GPS天线,1PPS信号与LPS的同步对比图,(2)为断开GPS天线后,OCXO漂移410 ns与1PPS信号同步对比图.
![]() | 图 13 OCXO漂移400 ns图Fig. 13 Diagram of OCXO drifting 400 ns |
由上图(1)(2)可知,当频率锁定后,从断开GPS天线到OCXO漂移410 ns需要158 min.也就是说,在采用AMT分布式采集系统对测区进行勘探时,当GPS失锁后,OCXO产生的LPS可代替1PPS信号工作158 min.由于OCXO的漂移具有不定向性,统计表明一般可替代工作150 min左右.这段期间只要GPS重新锁定又可以对OCXO进行校准.
如图 14所示为频率完成校准后,断开GPS,LPS与1PPS的不同时段的同步效果对比图.
![]() | 图 14 不同时段的同步对比图(GPS失锁)Fig. 14 The synchronous comparison at different times(GPS unlock) |
图 14中(1)(2)(3)(4)分别为断开GPS天线初始时刻,6 h,12 h和24 h后的同步对比图.由图可知,6小时OCXO漂移1.6 us,12小时漂移2 us,24漂移33 us.这表明,频率完成校准一次,在GPS失锁后,MT仪器至少可同步采集12小时,IP仪器至少可同步采集24时.这一精度为在隧道或井下等GPS完全长时间失锁的环境中进行电法同步采集提供了解决方案.
目前加拿大凤凰公司最先进的电磁接收机是V8和V5-2000,二者均采用GPS和OCXO协同授时,所以与本方案的对比性极强.由于受实验条件的限制,本次只与V5-2000进行了同步精度的对比.通过软件多次测试表明,V5-2000 在GPS失锁24 h后同步精度为50 us左右,而本方案在GPS失锁24 h后,同步精度为33 us.所以本文设计的授时方案明显优于V5-2000.
图 15中(1)(2)分别为不同时段不同温度下的LPS与1PPS上升沿的时间间隔值和间隔值变化的梯度.由图可知,才断开GPS天线时,OCXO的频率准确度很高,没有累计误差,LPS可以代替1PPS进行同步授时.当连续工作12 h后,OCXO的累计误差和温度的变化对自身频率的影响越来越明显.
![]() | 图 15 同步精度和梯度图Fig. 15 The accuracy of Synchronization and the gradient |
8.1 本文研究了GPS与OCXO协同授时中频率准确度校准和提高同步精度等问题,并在FPGA中实现了该同步授时方案.通过长期实测表明,该方案能很好的结合GPS授时和OCXO授时的优点,从而有效地解决GPS同步授时易失锁这一问题.
8.2 该方案在FPGA内部构造延迟线来对时间间隔进行测量,使时间测量精度可达到71 ps和10 ps,这提供了一种高精度的时间间隔测量技术.设计中把OCXO的频率准确度校准到10-11,达到几十皮秒级,所以频率准确度高.在每完成一次频率校准,同步输出单元就修正一次LPS与1PPS的同步,确保了任何时候失锁时都具有很高的初始同步精度.设计中采用的均值滤波算法能很好的压制1PPS信号引入的随机噪声,省去了仪器中繁琐的滤波算法.在GPS分别失锁150 min,6 h,12 h,24 h,同步精度仍可达到410 ns,1.6 us,2 us和33 us,优于V5-2000的同步精度.该设计不仅满足所有电法的分布式采集系统对同步授时的要求,还可满足其它高精度同步授时的工业领域.再者该系统用到的OCXO价格为800元,而芯片级原子钟的价格为16000元到20000元,是OCXO的20到25倍,这在价格上具有很大的优势.该系统所有的程序设计均在一片FPGA内完成,这最大限度的简化了外围电路,降低了仪器成本和功耗.这为大规模运用同步授时的分布式采集系统的设计提供了可能.该系统的性能受制于当前的硬件水平,所以再进行下一次升级时只需更换相应的硬件即可,这也极大的缩短了开发周期.
致 谢 感谢审稿专家提出的修改意见和编辑部的大力支持!
| [1] | Agarwal V, Arya H, Bhaktavatsala S. 2009. Design and development of a real-time DSP and FPGA-based integrated GPS-INS system for compact and low power applications[J]. IEEE Transactions on Aerospace and Electronic Systems, 45(2):443-454. |
| [2] | BAI Yi-Chen, ZUO Heng LUO Wei-Bin. 2003. Several technique problems in dual-frequency IP method used in reconnaissance survey[J]. Mineral Resource and Geology,17(z1):451-454,doi:10.3969/j.issn.1001-5663. 2003. z1.054. |
| [3] | CAO Ling-Min. 2011. The application and expectation of the geophysical methods to deep metal mine exploration[J]. Progress in Geophysics, 26(2):701-708, doi:10.3969/j.issn.1004-2903.2011.02.040. |
| [4] | CHEN Kai, JING Jian-En, WEI Wen-Bo, et al. 2013.Numerical simulation and electrical field recorder development of the marine electromagnetic method using a horizontal towed-dipole source[J]. Chinese Journal Geophysics, 56 (11):3718-3727,doi:10.6038/cjg20131113. |
| [5] | DI Qing-Yun, WANG Guang-Jie, et al.2006.Geophysical exploration of a long deep tunnel on the west route of South to North Water Diversion Project[J].Chinese Journal Geophysics,49(6):1836-1842, doi:10. 3321/j. issn:0001-5733.2006.06.032. |
| [6] | DI Qing-Yun, FANG Guang-You, ZHANG Yi-Ming. 2013. Research of the Surface Electromagnetic Prospecting (SEP) system[J]. Chinese Journal Geophysics,56(11):3629-3639,doi:10.6038/cjg20131104. |
| [7] | IQD. 2012. IQOV-70-6 Datasheet[EB/OL]. http://www. richardsonrfpd.com/resources/RellDocuments/SYS_27/IQOV-70-6%20Iss%201.pdf. |
| [8] | HUANG Xiang,JIANG Dao-Zhuo. 2010. A high accuracy time keeping scheme based on GPS[J]. Automation of Electric Power Systems,2010,34(18):74-77. |
| [9] | Kou Yanhong, Morton Y. 2013. Oscillator frequency offset impact on software GPS receivers and correction algorithms[J]. IEEE Transactions on Aerospace and Electronic Systems, 49(4):2158-2178. |
| [10] | Lewandowski W, Azoubib J, Klepczynski W J. 1999. GPS:Primary tool for time transfer[J]. Proceedings of the IEEE, 87(1):163-172. |
| [11] | LI Huai-Liang, TUO Xian-Guo, LIU Ming-Zhe.2013. Key techniques of wireless telemetry digital seismograph[J]. Chinese Journal Geophysics, 56(11):3673-3682, doi:10.6038/cjg20131108. |
| [12] | LI Ze-Wen, YAO Jian-Gang, ZENG Xiang-Jun. 2009. New Method of Generating GPS High Accuracy Synchronous Clock Based on the Digital Phase-lock Principle[J]. Automation of eletric power systems, 33(18):82-86, doi:10.3321/j.issn:1000-1026.2009.18.017. |
| [13] | LIN Jun, WANG Yan-Zhang, LIU Chang-Sheng. 2010. The research progress and industrialization status in our country of High-technology geophysical instrumentation[J]. Chinese journal of scientific instrument, 31(z8):174-180. |
| [14] | LIU Guang-Ding, HAO Tian-Yao. 1995. Searching of hidden mineral deposits by geophysical methods. Chinese Journal of Geophysics, 38(6):850-854. |
| [15] | LIU Guang-Ding.2013.Developing earth exploration technology in three dimension, improving the performance of instruments for geosciences[J]. Chinese Journal of Geophysics, 56(11):3607-3609, doi:10.6038/cjg20131101. |
| [16] | LIU Ming-Yong, ZHANG Bing-Yu, ZHANG Li-Chuan.2013.Design and implementation of clock synchronization control algorithm for Multi-AUV collaboration missions[J]. Journal of Northwestern Polytechnical University, 31(6):848-852, doi:10.3969/j.issn.1000-2758.2013.06.004. |
| [17] | LIU Ya, LI Xiao-Hui, TANG Sheng, et al.2013.Study on the on-line performance monitoring method of multiple atomic clocks[J]. Chinese Journal of Scientific Instrument, 34(10):2177-2183, doi:10.3969/j.issn.0254-3087. 2013.10.003. |
| [18] | LU Qi-Hu, PENG KE-Zhong, YI Bi-Jin. 2007. The development of geophysical instrumentation in China[J]. Process in geophysics, 22(4):1332-1337, doi:10.3969/j.issn.1004-2903.2007.04.045. |
| [19] | LU Qi-Hao,WU Tian-Biao,LIN Jun. 2009. A research report on development of instrument science for geophysics. Process in geophysics, 24(2):750-758, doi:10.3969/j.issn.1004-2903.2009.02.053. |
| [20] | Marins C N M, Kaufmann P, Ferreira A A Jr, et al. 2010. Precision clock and time transfer on a wireless telecommunication link[J]. IEEE Transactions on Instrumentation and Measurement, 59(3):512-518, doi:10.1109/TIM.2009.2023103. |
| [21] | Moreno-Muñoz A, Pallarés-López V, Moreno-García I M, et al. 2013. Embedding synchronized measurement technology for smart grid development[J]. IEEE Transactions on Industrial Informatics, 9(1):52-61, doi:10.1109/TⅡ.2012.2209659. |
| [22] | Pulford G W. 2010. Analysis of a nonlinear least squares procedure used in global positioning systems[J]. IEEE Transactions on Signal Processing, 58(9):5426-4534, doi:10.1109/TSP.2010.2050061. |
| [23] | QU Yong-Cheng, LIU Yong, ZHU Hong, et al. 2013. Dicussion on development of space atomic clocks for navigation satellites[J]. Journal of Navigation and Positioning, 1(4):55-60, doi:10. 3969/j.issn.2095-4999. 2013.04.013. |
| [24] | Routh P S, Oldenburg D W. 2001. Electromagnetic coupling in frequency-domain induced polarization data:a method for removal[J]. Geophysical Journal International, 145:59-76. |
| [25] | Straessle R, Pellaton M, Affolderbach C, et al. 2013. Low-temperature indium-bonded alkali vapor cell for chip-scale atomic clocks[J]. Journal of Applied Physics, 113(6):4501-4509, doi:10.1063/1.4789942. |
| [26] | SUN Jie, Pan Ji-Fei. 2007. Methods of High Precision Time-Interval Measurement[J].Computer Measurement & Control,2007,(02). 2007,15(02):145-148, doi:10.3321/j.issn:1671-4598.2007.02.002. |
| [27] | Symmetricom. 2014. Quantum SA.45s CSAC Datasheet[EB/OL]. http://www.symmetricom.com/resources/download-library/documents/datasheets/quantum-sa45s-csac/. |
| [28] | Tan Bozhong, Yun Peter, Yang Jing, et al. 2013. A chip scale lin⊥lin quasi-bichromatic laser scheme[J]. Applied Physics Letters, 102(16):1117-1121, doi:10.1063/1.4803481. |
| [29] | TENG Ji-Wen.2005.The development and guide direction of Research and manufacture of Geophysical instruments and experimental equipment in China[J]. Process in geophysics, 20(2):276-281, doi:10.3969/j.issn.1004-2903. 2005,02.002. |
| [30] | TENG Ji-Wen.2009. 2009.Specific proposals with regard to set up a "Zang Heng Project":for research development and industrialization of Geophysical instruments of China[J]. Process in geophysics, 24(4):1155-1166, doi:10. 3969/j.issn.1044-2903.209.04.001. |
| [31] | TENG Ji-Wen. 2010. Strengthening exploration of metallic minerals in the second depth space of the crust, accelerating development and industrialization of new geophysical technology and instrumental equipment[J]. Process in geophysics,25(3):729-748, doi:10.3969/j.issn.1004-2903.2010.03.001. |
| [32] | WANG Meng, ZHANG Han-Quan, WU Zhong-Liang, et al. 2013.Marine controlled source electromagnetic launch system for natural gas hydrate resource exploration[J]. Chinese Journal of Geophysics, 56(11):3708-3717, doi:10.6038/cjg20131112. |
| [33] | WEN Xuan, DENG Jia-Hao, Li Yue-Qin. 2007. Data-processing of high accuracy pulse laser range measurement[J]. Infrared and laser engineering,36(z2):150-153, doi:10.3969/j.issn.1007-2276.2007.z2.036. |
| [34] | WU Ning, PAN Xiao-Long, YU Jie-Xia. 2008. Research and Realization of the High Accuracy GPS Synchronization Clock[J]. Automation of electric power systems,32(10):61-65, doi:10.3321/j.issn:1000-1026. 2008.10.014. |
| [35] | YAN Jia-Yong, TENG Ji-Wen, Lu Qing-Tian. 2008. Geophysical exploration and application of deep metallic ore resources[J]. Process in Geophysics, 23(3):871-891. |
| [36] | YE Yi-Xin, DENG Ju-Zhi, LI Man,et al. 2011. Application status and vistas of electromagnetic methods to deep ore prospecting[J]. Progress in Geophysics, 26(1):327-334, doi:10.3969/j.issn.1004-2903.2011.01.039. |
| [37] | ZENG Xiang-Jun, YIN Xiang-Gen, Li K K, et al. 2002.Methods for monitoring and correcting GPS-clock[J]. Proceedings of the Chinese Society for Electrical Engineering,2002,22(12):41-46, doi:10.3321/j.issn:0258- 8013.2002.12.009. |
| [38] | ZHANG Bi-Yong, HE Gang, WANG Jun. 2014.New High-density Electrical Instrument Measuring System[J]. Instrument Technique and Sensor,(1):24-26, doi:10.3969/j.issn.1002-1841.2014.01.009. |
| [39] | Zhang Bin, Zhang Dong-Lai. 2012. GPS-based precision clock online frequency calibration and time service[J],Proceedings of the Chinese Society for Electrical Engineering, 2012,32(10):160-167. |
| [40] | ZHANG Shou-Gang. 2009. Progress of Novel Atomic Clocks[J].Journal of time and frequency, 32(2):81-91, doi:10. 3969/j.issn. 1674- 0637. 2009.02.001 |
| [41] | ZHANG Shu-Liang,WANG Hui, ZHANG Zhi-Qiang, et al. 2011.Analysis of international proprietary technology development of geophysical instrument[J].Progress in Geophysics. 26(3):1120-1130, doi:10.3969/j.issn.1004- 2903.2011.03.043. |
| [42] | Zhang Yan, Huang Pei-Cheng. High-Precision Time Interval measurement techniques and Methods[J].Progress in astronomy,2006,24(01):1-15, doi:10.3969/j. issn.1000- 8349.2006.01.001. |
| [43] | Zhang Zhi-Qiang, Xu Jing, Li Shao-Liang, et al. 2012. Hermeticity simulation of chip-scale atomic clock[J]. Journal of Vacuum Science and Technology. 32(2):132-139, doi:10.3969/j.issn.1672-7126.2012.02.10. |
| [44] | Zhao Guo-Ze, Chen Xiao-Bin, Tang Ji. 2007. Advanced geo-electromagnetic methods in China[J]. Process in Geophsics, 2007,22(4):1171-1180, doi:10.3969/j.issn.1004-2903.2007.04.024. |
| [45] | ZHEN Qi-Hui, DI Qing-Yun, LIU Han-Bei. 2013.Key technology study on CSAMT transmitter with excitation control[J].Chinese Journal Geophysics,56(11):3751-3760,doi:10.6038/cjg20131116. |
| [46] | 白宜诚,左恒,罗维斌. 2003.双频激电在普查找矿工作中应注意的几个技术问题[J].矿产与地质, 17(增刊):451-454, doi:10.3969/j.issn.1001-5663.2003.z1.054. |
| [47] | 曹令敏. 2011.地球物理方法在金属矿深部找矿中的应用及展望[J].地球物理学进展, 26(2):701-708, doi:10.3969/j.issn.1004-2903.2011.02.040. |
| [48] | 陈凯,景建恩,魏文博,等. 2013.海洋拖曳式水平电偶源数值模拟与电场接收机研制[J].地球物理学报, 56(11):3718-3727, doi:10.6038/cjg20131113. |
| [49] | 底青云,王光杰,安志国,等. 2006.南水北调西线千米深长隧洞围岩构造地球物理勘探[J].地球物理学报, 49(6):1836-1842, doi:10.3321/j.issn:0001-5733.2006.06.032. |
| [50] | 底青云,方广有,张一鸣. 2013.地面电磁探测系统(SEP)研究[J].地球物理学报,56(11):3629-3639, doi:10.6038/cjg20131104. |
| [51] | 黄翔,江道灼. 2010. GPS同步时钟的高精度守时方案[J].电力系统自动化, 34(18):74-77. |
| [52] | 李怀良,庹先国,刘明哲. 2013.无线遥测式数字地震仪关键技术[J].地球物理学报, 56(11):3673-3682, doi:10.6038/cjg20131108. |
| [53] | 李泽文,姚建刚,曾祥君,等. 2009.基于数字锁相原理的GPS高精度同步时钟产生新方法[J].电力系统自动化, 33(18):82-86, doi:10.3321/j.issn:1000-1026.2009.18.017. |
| [54] | 林君,王言章,刘长胜. 2010.高端地球物理仪器研究及我国产业化现状[J].仪器仪表学报, 31(8增刊):174-180. |
| [55] | 刘光鼎,郝天珧. 1995.应用地球物理方法寻找隐伏矿床[J].地球物理学报, 38(6):850-854. |
| [56] | 刘光鼎. 2013.发展地球立体探测技术,提高地学仪器装备水平[J].地球物理学报, 56(11):3607-3609, doi:10.6038/cjg20131101. |
| [57] | 刘明雍,张兵宇,张立川. 2013.多AUV协作时钟同步控制算法设计与实现[J].西北工业大学学报, 31(6):848-852, doi:10.3969/j.issn.1000-2758.2013.06.004. |
| [58] | 刘娅,李孝辉,唐升,等. 2013.多台原子钟性能在线监测方法研究[J].仪器仪表学报, 34(10):2177-2183, doi:10.3969/j.issn.0254-3087.2013.10.003. |
| [59] | 陆其鹄,彭克中,易碧金. 2007.我国地球物理仪器的发展[J].地球物理学进展, 22(4):1332-1337, doi:10.3969/j.issn.1004-2903.2007.04.045. |
| [60] | 陆其鹄,吴天彪,林君. 2009.地球物理仪器学科发展研究报告[J].地球物理学进展, 24(2):750-758, doi:10.3969/j.issn.1004-2903.2009.02.053. |
| [61] | 屈勇晟,刘昶,朱虹,等. 2013.导航卫星星载原子钟研发方向探讨[J].导航定位学报, 1(4):55-60, doi:10.3969/j.issn.2095-4999.2013.04.013. |
| [62] | 孙杰,潘继飞. 2007.高精度时间间隔测量方法综述[J].计算机测量与控制, 15(2):145-148, doi:10.3321/j.issn:1671-4598.2007.02.002. |
| [63] | 滕吉文. 2005.中国地球物理仪器和实验设备研究与研制的发展与导向[J].地球物理学进展, 20(2):276-281, doi:10.3969/j.issn.1004-2903.2005.02.002. |
| [64] | 滕吉文. 2009.关于设立"张衡计划"的建议-为中国地球物理仪器研发和产业化[J].地球物理学进展, 24(4):1155-1166, doi:10.3969/j.issn.1044-2903.209.04.001. |
| [65] | 滕吉文. 2010.强化第二深度空间金属矿产资源探查,加速发展地球物理勘探新技术与仪器设备的研制及产业化[J].地球物理学进展, 25(3):729-748, doi:10.3969/j.issn.1004-2903.2010.03.001. |
| [66] | 王猛,张汉泉,伍忠良,等. 2013.勘查天然气水合物资源的海洋可控源电磁发射系统[J].地球物理学报, 56(11):3708-3717, doi:10.6038/cjg20131112. |
| [67] | 文暄,邓甲昊,李月琴. 2007.脉冲激光高精度测距的数据处理方法研究[J].红外与激光工程, 36(增刊):150-153, doi:10.3969/j.issn.1007-2276.2007.z2.036. |
| [68] | 吴宁,潘小龙,虞皆侠. 2008.高精度GPS同步时钟的研究与实现[J].电力系统自动化, 32(10):61-65, doi:10.3321/j.issn:1000-1026.2008.10.014. |
| [69] | 严加永,滕吉文,吕庆田. 2008.深部金属矿产资源地球物理勘查与应用[J].地球物理学进展, 23(3):871-891. |
| [70] | 叶益信,邓居智,李曼,等. 2011.电磁法在深部找矿中的应用现状及展望[J].地球物理学进展, 26(1):327-334, doi:10.3969/j.issn.1004-2903.2011.01.039. |
| [71] | 曾祥君,尹项根, Li K K,等. 2002. GPS时钟在线监测与修正方法[J].中国电机工程学报, 22(12):41-46, doi:10.3321/j.issn:0258-8013.2002.12.009. |
| [72] | 张碧勇,何刚,王君. 2014.新型高密度电法探地仪测量系统[J].仪表技术与传感器, (1):24-26, doi:10.3969/j.issn.1002-1841.2014.01.009. |
| [73] | 张斌,张东来. 2012.基于GPS的高精度时钟在线校频与授时研究[J].中国电机工程学报, 32(10):160-167. |
| [74] | 张首刚. 2009.新型原子钟发展现状[J].时间频率学报, 32(2):81-91, doi:10.3969/j.issn.1674-0637. 2009.02.001. |
| [75] | 张树良,王辉,张志强,等. 2011.国际地球物理仪器专利技术研发态势分析[J].地球物理学进展, 26(3):1120-1130, doi:10.3969/j.issn.1004-2903.2011.03.043. |
| [76] | 张延,黄佩诚. 2006.高精度时间间隔测量技术与方法[J].天文学进展, 24(1):1-15, doi:10.3969/j.issn.1000-8349.2006.01.001. |
| [77] | 张志强,徐静,李绍良,等. 2012.芯片级原子钟的气密性能分析[J].真空科学与技术学报, 32(2):132-139, doi:10.3969/j.issn.1672-7126.2012.02.10. |
| [78] | 赵国泽,陈小斌,汤吉. 2007.中国地球电磁法新进展和发展趋势[J].地球物理学进展, 22(4):1171-1180, doi:10.3969/j.issn.1004-2903.2007.04.024. |
| [79] | 真齐辉,底青云,刘汉北. 2013.励磁控制的CSAMT发送机若干技术研究[J].地球物理学报, 56(11):3751-3760, doi:10.6038/cjg20131116. |
2015, Vol. 30
















