2. 广州海洋地质调查局, 广州 510760;
3. 地下信息探测技术与仪器教育部重点实验室, 北京 100083
2. Guangzhou Marine Geological Survey, Guangzhou 510760, China;
3. Key Laboratory of Geo-detection, Ministry of Education, Beijing 100083, China
海洋可控源电磁方法(MCSEM)是近些年兴起的一种海底以下介质电性结构探测方法.目前已被验证并成功应用于洋壳扩张运动(Cox et al,1971;Filloux,1973;Chave et al,1991)、海底油气勘探(Srnka et al,2006)、水合物探测(Constable et al,2006)等地质调查领域.该方法在那些地震方法效果不明显的场合(如碳酸盐地区)发挥着独特的优势(Constable et al,2002).在油气勘探过程中,为减小钻井失败的风险,MCSEM已成为石油勘探服务公司钻探前必选手段(Jonny Hesthammer et al,2010;Ellingsrud et al,2002;Eidesmo et al,2002).因此MCSEM已成为国内众多地球物理工作者的研究热点之一(刘长胜等,2010;李予国等,2010;杨波等,2012;贾定宇等,2013).
MCSEM方法其海上作业主要调查设备包括专业勘探调查船、海底可控源电磁接收机(以下简称接收机)、海洋可控源电磁发射机(以下简称发射机)等(Constable,2007;王猛等,2013).如图 1所示,施工时借助调查船先将若干台接收机(通常为10~100台)按照预定的测线分布投放至海底,并对各台接收机进行声学定位;再将发射机通过船载深拖缆放置于距离海底20~50 m高度处,发送电流幅值为100~1000 App、频率为0.1~100 Hz的人工源电磁场信号,并按预定的航迹拖曳发射,对地速度保持1~2节,拖曳过程实时记录发射机及位于拖缆尾部的发射电极状态信息,包括声学定位数据、电流、离底高度、水深、三轴姿态信息等;位于海底的多台接收机同步采集多分量电磁场信号(Ex、Ey、Ez、Hx、Hy)以及其他状态信息(三轴姿态信息、电池电压、CTD信息等)(刘云鹤等,2012),拖曳作业结束后,通过船载甲板单元向位于海底的接收机发送声学命令,接收机执行电腐蚀后脱开混凝土锚系上浮;作业船打捞接收机并下载原始数据;根导航数据、发射机数据、接收机数据,经处理解释得到海底以下介质电性信息.![]() | 图 1 MCSEM工作示意图Fig. 1 MCSEM operation schematic diagram |
作为MCSEM方法观测设备的接收机,用于观测海底可控源电磁信号,其关键技术之一就是如何低噪声记录幅值微弱且动态范围大的海底大地电场信号(Constable,1998).这也是MCSEM方法亟需解决的关键技术问题(魏文博等,2001;邓明等,2003).
1 特定地电模型下人工源电场模拟计算
为获得特定地电模型条件下的海底大地电场信号幅值范围,借助预条件体积分方程法(Zhdanov,2000)对MCSEM场源信号进行数值模拟.图 2给出了数值模拟计算结果,其中右侧为预设的海底地电模型.为能够反映目标体异常,对于频率为2 Hz的MCSEM场源信号,收发距取4 km,异常归一化值取2.0,要求整个可控源电磁探测系统的本底噪声小于10-15VA/m2,以实际发送电流100 A、发送电极距100 m带入计算,要求接收机的本底噪声优于10-11 V/m.根据公式
,(其中en为系统本底噪声,Pn为信号功率,L为接收机电极距,ts为观测叠加窗口时间长度),接收机极距10 m计算,对于1 Hz发射频率采集叠加窗口时间为100 s,可计算得到Pn应大于10-18 V2/ Hz,系统噪声功率谱密度应小于为1 nV/sqrt(Hz)@2 Hz.
![]() | 图 2 特定模型下MCSEM异常Fig. 2 MCSEM abnormal area in specific model |
根据特殊的海底工作环境以及海底电磁场信号的特征,为完成多台接收机同步低噪声观测电磁场信号,设计的硬件电路原理如图 3所示(陈凯等,2012).采集硬件电路主要分为压力罐内部电路和甲板控制盒两部分,其中压力罐内部电路包括三通道前端E AMP(低噪声斩波放大器)、两通道H AMP(磁场前置放大器)、五通道24位ADC(模数转换电路)、MCU(微控制器)电路以及电池组等部件.低噪声斩波放大器对Ex、Ey、Ez方向上3对电极变送的电压信号进行低噪声放大,-3 dB带宽为0.01~40 Hz,增益为60 dB;磁场前置放大器对Hx、Hy方向磁传感器输出的电压信号进行低噪声放大,-3 dB带宽为DC~40 Hz,增益为1、8、64可选,采集电路为磁传感器提供低噪声直流稳压电源;24位ADC完成五通道电压信号的同步大动态范围模数转换;MCU电路集成32位嵌入式ARM控制器、OCXO(恒温晶体振荡器)、CPLD(复杂可编程逻辑器件)、三轴姿态传感器、RTC(实时钟)和电源管理电路等,控制电路运行2.6.13版本Linux操作系统;OCXO为系统提供高稳时钟源,典型频率稳定度为±10 ppb;SD为系统提供原始时间序列存储,标配16 GB,最大支持32 GB,支持FAT文件系统.甲板控制盒集成GPS模块,信号发生电路,完成压力罐内部采集电路的精确授时、电源管理、自检等功能.
![]() | 图 3 接收机硬件电路原理框图Fig. 3 Hardware functional block diagram of receiver |
影响电场信号观测的噪声主要来自外界干扰和接收机本底噪声.根据海底特殊观测环境,可以认为深水条件下厚厚的海水层屏蔽了外界干扰,是“安静”的电场信号观测场所,外界人文干扰可忽略不计(邓明等,2004).对于接收机自身而言,噪声主要来源于海底电场传感器本底噪声、斩波放大器本底噪声、ADC电路动态范围、供电电源噪声以及接收机内部电路串扰等方面,以上几方面又以前三者影响最为突出.以下对该三方面进行论述.
3.1 低噪声海底电场传感器目前主流的Ag/AgCl电极制备工艺有粉末冶金法(邓明等,2002)、电解法.粉末冶金法由Ag粉与AgCl粉末经提纯、高温烧结工艺得到,有较好的均匀性和稳定性,关键技术之一在于制备合适的AgCl粉末(张燕等,2008;张翼等,2009;卫云鸽等,2012),其电化学特征直接影响了电极本底噪声,不足之处在于工艺复杂,成本较高,各环节参数不易控制,导致成品率较低.电解法制备Ag/AgCl电极工艺广泛应用于医学生物、电化学领域,区别于前述的粉末冶金法,关键步骤在于通过电解法在大面积的Ag箔基体表面沉积上一层致密、均匀的AgCl(Gondran et al,1996),并为银箔包裹保护罩、引出连接线、解决密封问题.经验证,此工艺能大幅度降低传感器噪声水平,并且成品率高,性价比好.图 4给出了海底电场传感器结构图.为进一步降低电极本底噪声,在以往电极制备工艺(陈凯等,2013)基础上进行了优化改进,焊接封装工艺、电解参数、工艺流程均进行了修订.电场传感器实物图见图 4.
![]() | 图 4 海底电场传感器实物图Fig. 4 Seafloor electric field sensor picture |
目前市场流通的超低噪声集成放大器的电压噪声水平可接近1 nV/sqrt(Hz),且具有小体积简单易用的优势.但其最佳工作频段多在1 kHz附近,且低频1/f噪声较大,功耗较大,难以满足海底电场的低频低噪声、低功耗的特殊要求.斩波放大器的设计针对低频微弱信号观测(Enz et al,1987,1996;Drung,2011),其原理是先将低频微弱信号调制至几kHz频段,再对调制后的信号进行低噪声放大,因调制信号频段较高,可以忽略放大器自身1/f噪声的影响,经放大的调制信号再经解调后还原成低频信号,此时信噪比大大改善,因此斩波放大器可以获得良好的低频低噪声特性(陈凯等,2013).
利用分立元件设计并自主搭建的低噪声斩波放大器原理图如图 5所示,包括斩波器、变压器、交流放大器、同步解调、低通滤波和直流放大器等单元电路.放大器在调制与AC放大电路之间引入了变压器耦合电路,目的在于将放大器的最佳源阻抗与海底电场传感器较小的源阻抗匹配,进一步提升信噪比.
![]() | 图 5 斩波放大器原理简图Fig. 5 Chopper amplifier schematic diagra |
所设计的低噪声斩波放大器斩波频率为2 kHz,-3 dB带宽为0.01~40 Hz,通频带增益为60 dB,输入信号范围为10 mVpp,单通道功耗约为30 mW.
3.3 大动态范围ADC为保证通道的动态范围,ADC电路选用Cirrus Logic公司生产的CS5372A+CS5376A套片,其典型指标为120 dB@(fs=1000 Hz).集成两片CS5376A与三片CS5372A搭建ADC电路,完成5通道电磁信号同步高精度模数转换,并为之配备了低噪声参考电压源与模拟供电电源.为保证通道的动态范围,该ADC电路输入范围根据前放输入信号范围调整为10 Vpp.
4 测 试根据低噪声指标要求,主要进行了斩波放大器和电场传感器的室内噪声测试,以及实际MCSEM作业的系统噪声特性评估.
4.1 放大器与电场传感器噪声室内测试评价电场传感器噪声水平的主要指标是极差稳定性及电极对的本底电压噪声(胡鹏等,2011).极差稳定性测试过程中,将所研制的7支电极泡入3.2% NaCl溶液中,以其中一支作为参考电极,用多路万用表观测其余6支电极漂移情况.室温下连续观测约8天,采样间隔1 min,测试结果见图 6.可知,所研制的海底电场传感器极差均小于100 uV,极差漂移约为10 uV/day.
![]() | 图 6 海底电场传感器极差漂移曲线Fig. 6 Seafloor E-field sensor potential drifting curve |
测量电极本底电压噪声则分为两步,首先测定斩波放大器自身噪声、然后测定电极与斩波放大器两者叠加噪声,并计算得到电极本底电压噪声.首先将斩波放大器输入端短接,增益设置为60 dB,150 Hz采样率连续采集30 min,其输入短接噪声约为40 nVpp;放大器最大量程为10 mVpp,计算得到动态范围约为115 dB.对噪声时间序列进行PSD计算,图 7给出了其计算结果,放大器输入短接噪声PSD约为0.4 nV/sqrt(Hz)@1 Hz,转角频率约为0.02 Hz.然后将待测电极对浸入盛有3.2% NaCl溶液的大烧杯中,接入低噪声放大器及采集电路,同时将整个采集系统放入电磁屏蔽桶中,150 Hz采样率连续采集30 min,计算得到电极与放大器叠加噪声PSD结果见图 7;可知,电极与放大器叠加噪声约为0.6 nV/sqrt(Hz)@1 Hz,其中电极噪声贡献约为0.5 nV/sqrt(Hz)@1 Hz,转角频率约为0.1 Hz.
![]() | 图 7 电极与放大器本底噪声测量结果Fig. 7 Background noisemeasuring result of sensor and amplifier |
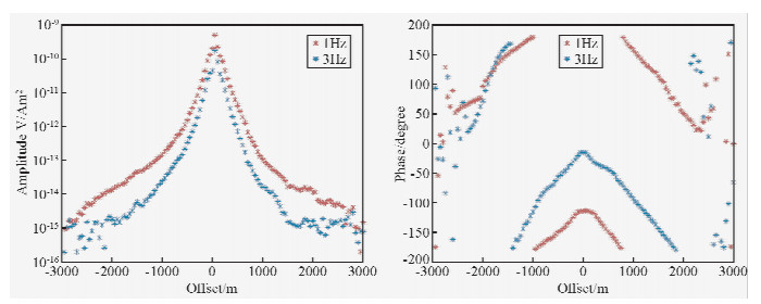
课题组于2012至2014年在南海北部海域进行了多次海洋可控源电磁探测试验,累计进行了21个站位、96 km拖曳测线工作,水深900~1800 m不等.图 8给出的某点位的海试结果,该测点的整个拖曳过程中,发射电流约为200 App,发射偶极距120 m.将接收机观测到的电场信号经场分量旋转、发送电流偶极矩归一化、导航数据校准、姿态数据校准等一系列处理之后可以得到幅值偏移距(MVO)与相位偏移距(PVO)结果(何展翔等,2009).图 8为1 Hz及其谐波3 Hz发送作业时Ex分量所观测的MVO与PVO曲线,Ex分量1 Hz频点信号最大值约为5×10-10 V/Am2,系统本底噪声约为10-15 V/Am2;受趋肤效应影响,3 Hz频点信号幅值相比1 Hz整体偏小,衰减更为迅速.计算得到通道动态范围已达到114 dB.PVO数据表明在-2.5~2 km区间内曲线连续光滑,信噪比高,其他区间数据离散.综上可知,有效观测范围约为-2.5~2 km处.
![]() | 图 8 某站位实测MVO与PVO数据Fig. 8 MVO and PVO tests result |
海洋可控源电磁接收机的关键技术之一是解决海底电场信号低噪声观测技术难题.本文根据特定地电模型的模拟计算结果,给出了海底电场低噪声指标的具体要求.通过电解法制备Ag/AgCl海底电场传感器,并开发低噪声斩波前置放大器及大动态范围ADC电路.经过室内测试及海洋试验,证明系统噪声优于0.6 nV/sqrt(Hz)@1 Hz,动态范围达到114 dB.测试结果验证了该技术的可行性与先进性,表明其成功克服了海洋电磁法的电场低噪声观测技术难题.
致 谢 海洋试验得到广州海洋地质调查局“海洋六号”及“海洋四号”调查船全体工作人员的支持,没有他们的配合,无法完成海洋试验,在此表示诚挚的谢意.
| [1] | Chen K, Deng M, Wu Z L. 2012. Low Time Drift Technology for Marine CSEM Recorder[J]. Geoscience.(in Chinese), 26(6):1312-1316. |
| [2] | Chen K,Deng M,Zhang Q S et al. 2010. Design of linux drivers for seafloor CSMT instrument[J]. Progress In Geophysics, 24(4):1499-1506. |
| [3] | Chen K, Jing J E, Wei W B. 2013. Numerical simulation and electrical field recorder development of the marine electromagnetic method using a horizontal towed-dipole source[J]. Chinese J. Geophys. (in Chinese), 56(11):3718-3727. |
| [4] | Constable S. 2006. Marine electromagnetic methods-a new tool for offshore exploration[J]. The Leading Edge, 25(4):438-444. |
| [5] | Constable S, OrangeA,Hoversten G M, et al. 1998. Marine magnetotellurics for petroleum exploration Part I:A seafloor instrument system[J]. Geophysics, 63(3):816-825. |
| [6] | Constable S, Srnka L J. 2007. An introduction to marine controlled-source electromagnetic methods for hydrocarbon exploration[J]. Geophysics, 72(2):WA3-WA12. |
| [7] | Chave A D, Constable S C, Edwards N. 1991. Electrical exploration methods for the seafloor, in Nabighian M et al. Electromagnetic Methods in Applied Geophysics, SEG, Tulsa Okla, 2:931-966. |
| [8] | C.C. Enz, G.C. Temes. 1996. Circuit techniques for reducing the effects of op-ampimperfections:autozeroing, correlated double sampling, and chopper stabilization, Proc. IEEE, 84 (11):1584-1614. |
| [9] | C.C. Enz, E.A. Vittoz, F. Krummenacher. 1987. A CMOS chopper amplifier, IEEE J. Solid-State Circuits, 22 (3):335-342. |
| [10] | C. Gondran, E. Siebert, S. Yacoub, et al. 1996. Noise of surface bio-potentialelectrodes based on NASICON ceramic and Ag-AgCl, Med. Biol. Eng. Comput. 34:460-466. |
| [11] | Cox C S,Filloux J H,Larsen J. 1971. Electromagnetic studies of ocean currents and electrical conductivity below the ocean floor. in:Maxwell A E. The Sea. New York:Wiley-Interscience, 637-693. |
| [12] | D. Drung, J.H. Storm.2011.Ultralow-noise chopper amplifier with low input chargeinjection, IEEE Trans. Instrum. Meas. 60 (7):2347-2352. |
| [13] | Deng M, Liu Z G, Bai Y C, et al. 2002. The theory and development technology of the sea-floor electric field sensor[J]. Geology & Prospect, (in Chinese). 38 (6):43-47. |
| [14] | Deng M, Wei W B, Tan H D, et al. 2003. Collector for Seafloor Magnetotelluric data[J]. Chinese J. Geophys. (in Chinese), 46(2):217-223 |
| [15] | Deng M,Du G,Zhang Q S.2004.The Characteristic and Prospecting Technology of the Marine Magnetotelluric Field[J].Chinese Journal of scientific instrument, (in Chinese), 25(6):742-746. |
| [16] | Deng M, Wei W B, Sheng Y.2013.Several theoretical points and instrument technology of magnetotelluric data acquisition in deep water[J]. Chinese J. Geophys. (in Chinese), 56 (11):3610-3618. |
| [17] | Ellingsrud S, EidesmoT,Johansen S, et al.2002.Remote sensing of hydrocarbon layers by seabed logging (SBL):Results from a cruise offshore Angola[J]. The Leading Edge, 21(10):972-982. |
| [18] | Eidesmo T, Ellingsrud S, L. M. MacGregor, et al. 2002. Sea Bed Logging (SBL), a new methods for remote and direct identification of hydrocarbon filled layers in deep water areas[J]. First Break, 20(3):144-152. |
| [19] | He Z X,Wang Z G,Meng CXetal.2009.Data processing of marine CSEM based on 3D modeling[J]. Chinese J. Geophys. (in Chinese), 52 (8):2165-2173. |
| [20] | Hu P, Tan H G, et al. 2011. Measurement of Ag/AgCl electrode's self-noise[J]. Journal of naval university of engineering. (in Chinese), 23(2),68-71. |
| [21] | Jonny Hesthammer, ArisStefatos, Mikhail Boulaenko, et al. 2010. CSEM performance in light of well results[J]. The Leading Edge,29(1):34-41. |
| [22] | J.H. Filloux. 1973. Techniques and instrumentation for study of natural electromagnetic induction at sea, Phys[J]. Earth Planet. Inter. 7 (1973) 323-338. |
| [23] | Jia D Y, Weng A H, Liu Y H, et al. 2013. Propagation of electromagnetic fields from a horizontal electrical dipole buried in ocean[J]. Progress In Geophysics, 28(1):507-514. |
| [24] | Li Y G, Steven CONSTABLE. 2010. Transient Electromagnetic In Shallow Water:Insights From 1d Modeling[J]. Chinese J. Geophys. (in Chinese), 53(3):737-742. |
| [25] | Liu Y H, Yin C C, Weng A H. 2012. Attitude effect for marine CSEM system[J]. Chinese J. Geophys. (in Chinese), 55(8):2757-2768. |
| [26] | Liu C S, Mark E. Everett, Lin J. 2010. Modeling of seafloor exploration using electric-source frequency-domain CSEM and the analysis of water depth effect[J]. Chinese J. Geophys. (in Chinese), 53(8):1942-1950. |
| [27] | Luo W B, Tang J T. 2008. Identification of seafloor hydrocarbon reservoir and gas hydrate using controlled-source electromagnetics in time and frequency domain[J]. Progress In Geophysics, 23(6):1841-1848. |
| [28] | MacGregor L M, Sinha M, Constable S C. 2001. Electrical resistivity structure of the ValuFa Ridge, Lau Basin, from marine controlled source electromagnetic sounding[J]. Geophysical Journal International, 146(1):217-236. |
| [29] | R.F. Corwin.1973.Offshore application of self-potential prospecting, in:Ph.D. Thesis, University of California, Berkeley, Scripps Institution of Oceanography, UC SanDiego, CA. |
| [30] | Srnka L J, James J, CarazzoneJ, et al. 2006. Remote reservoir resistivity mapping[J].The Leading Edge, 25(8):972-975. |
| [31] | Shen J S, Zhan L S, Wang P F, et al. 2012. Theoretic analysis and numerical simulation of effects of air wave interaction on the marine controlled source electromagnetic exploration[J]. Chinese J. Geophys. (in Chinese), 55 (7):2473-2488. |
| [32] | Teleki P G, Dobson M R, Moore J R, et al. 1979. Electricalmethods in the exploration of seafloor mineral deposits[M]. Germany:Springer Pub Co Inc,413-420. |
| [33] | Wang M, Zhang H Q, Wu Z L, et al. 2013. Marine controlled source electromagnetic launch system for natural gas hydrate resource exploration[J]. Chinese J. Geophys. (in Chinese), 56(11):3708-3717. |
| [34] | Wei Y G, Cao Q X, Huang Y X, et al.2012. Performance of Ag/AgCl porous electrode based on marine electric field measurement[J], Rare Met. Mater. Eng(in Chinese). 41 (12):2173-2177. |
| [35] | Wei W B, Deng M, Tan H D. 2001. Development of Marine Magnetotel Uric Prospecting Technique in China[J]. Seismology and Geology (in Chinese), 23(2):131-137. |
| [36] | Wei W B, Deng M, Wen Z H, et al. 2009. Experimental study of marine magnetotellurics in southern Huanghai[J]. Chinese J. Geophys. (in Chinese), 52(3):740-749. |
| [37] | Yang B, Xu Y X, He Z X, et al. 2012. 3D frequency-domain modeling of marine controlled source electromagnetic responses with topography using finite volume method[J]. Chinese J. Geophys. (in Chinese), 55(4):1390-1399 |
| [38] | Zhdanov M S, Dmitriev V I, Fang Set al.2000.Quasi-analytical approximations and series in electromagnetic modeling.Geophysics,65(6):1746-1757. |
| [39] | Zhang Y, Cao Q X. 2009. Theory and Technology of Electrochemical Noise of the Marine Electrode[J]. Electronic and sciences technology (in Chinese), 22(4):66-68. |
| [40] | Zhang Y, WANG Y S, Song Y S. 2008. Preparation of Steady Solid Ag/AgCl Electrode by AgCl Nano-powders[J]. Journal of wuhan university of technology. (in Chinese), 30(9):32-35. |
| [41] | 陈凯,邓明,伍忠良,等. 2012.海底可控源电磁采集站的低时漂技术研究[J].现代地质,26(6):1312-1316. |
| [42] | 陈凯,景建恩,魏文博,等.2013.海洋拖曳式水平电偶源数值模拟与电场接收机研制[J].地球物理学报,56(11):3718-3727. |
| [43] | 陈凯,邓明,张启升,等.2009.海底可控源电磁测量电路的Linux驱动程序[J].地球物理学进展,24(4):1499-1506. |
| [44] | 邓明,刘志刚,白宜诚,等.2002.海底电场传感器原理及研制技术[J].地质与勘探, 38(6):43-47. |
| [45] | 邓明,魏文博,谭捍东,等.2003.海底大地电磁数据采集器[J].地球物理学报, 46(2):217-223. |
| [46] | 邓明,杜刚,张启升,等.2004.海洋大地电磁场的特征与测量技术[J].仪器仪表学报,25(6):742-746. |
| [47] | 邓明,魏文博,盛堰,等.2013.深水大地电磁数据采集的若干理论要点与仪器技术[J].地球物理学报, 56 (11):3610-3618. |
| [48] | 何展翔,王志刚,孟翠贤,等.2009.基于三维模拟的海洋CSEM资料处理,球物理学报[J], 52 (8):2165-2173. |
| [49] | 胡鹏,谭浩,龚沈光.2011.Ag/AgCl电极自噪声的测定[J].海军工程大学学报. 23(2):68-71. |
| [50] | 刘云鹤,殷长春,翁爱华,等.2012.海洋可控源电磁法发射源姿态影响研究[J].地球物理学报, 55(8):2757-2768. |
| [51] | 刘长胜,Mark E. Everett,林君,等. 2010.海底电性源频率域CSEM勘探建模及水深影响分析[J].地球物理学报, 53(8):1942-1950. |
| [52] | 罗维斌,汤井田.2008.海底油气藏及天然气水合物的时频电磁辨识[J].地球物理学进展,23(6):1841-1848. |
| [53] | 李予国, Steven Constable.2010.浅水区的瞬变电磁法:一维数值模拟结果分析[J].地球物理学报, 53(3).737-742. |
| [54] | 贾定宇,翁爱华,刘云鹤,等. 2013.海洋环境中水平电偶极子电磁场特征分析[J].地球物理学进展, 28(1):507-514. |
| [55] | 沈金松,林森,王鹏飞,等.2012.海洋电磁勘探中空气波影响的理论分析和数值模拟[J],地球物理学报, 55 (7):2473-2488. |
| [56] | 魏文博,邓明,谭捍东,等.2001.我国海底大地电磁测深技术研究的进展[J].地震地质, 23(2):131-137. |
| [57] | 魏文博,邓明,温珍河,等.2009.南黄海海底大地电磁测深试验研究[J].地球物理学报, 52(3):740-749. |
| [58] | 卫云鸽,曹全喜,黄云霞,等.2009.海洋电场传感器低噪声Ag/AgCl电极的制备及性能[J].人工晶体学报, 38(8):394-398. |
| [59] | 杨波,徐义贤,何展翔,等.2012.考虑海底地形的三维频率域可控源电磁响应有限体积法模拟[J].地球物理学报, 55(4):1390-1399. |
| [60] | 王猛,张汉泉,伍忠良,等.2013.勘查天然气水合物资源的海洋可控源电磁发射系统[J].地球物理学报,56(11):3708-3717. |
| [61] | 张翼,曹全喜.2009.海洋电极电化学噪声原理及工艺探讨[J].电子科技,22(4):66-68. |
| [62] | 张燕,王源升,宋玉苏.2008.纳米AgCl粉末制备高稳全固态Ag/AgCl电极[J].武汉理工大学学报, 30(9):32-35. |
2015, Vol. 30









