傅立叶变换和反变换能从时间域和频率域对平稳信号进行分析,它是一种全局变换,不能同时保留时间和频率信息.而地震信号由于地下介质的不均匀性和地层的吸收衰减等各种原因,往往是一种非线性、非平稳信号,研究其频率的局部特性显得至关重要,这就需要用时频分析方法将一维时域信号转换到二维的时频平面.因此人们在傅立叶分析的基础上提出了很多时频分析方法:短时傅立叶变换(short-time Fourier transform,简写为STFT)、Gabor变换、Wigner-Ville分布、Cohen类、小波变换(wavelet transform,简写为WT)、S变换(S transform,简写为ST)和广义S变换(generalized S transform,简写为GST)等.
Wigner-Ville分布和Cohen类受交叉项干扰的影响(胡明顺等,2009).STFT由于其窗函数固定,一旦选定了窗函数也就固定了分辨率,只适用于分析带宽固定不变的非平稳信号.WT的分析精度可调,可是WT的结果不是一种真正的时频谱.而且WT不具有自适应性,一旦基本小波确定,就必须用它分析所有待分析的数据(邹文等,2004).S变换是以Morlet小波为基本小波的连续小波变换的延伸.它集中了STFT和WT的优点,又避免了两者不足(Pinnegar and Mansinha,2003a).S变换有其独特的优势:信号的时频分辨率和频率(尺度)有关,信号的S变换结果与其Fourier谱保持直接的联系,S变换中的相位因子保留了每个频率的绝对相位特征,基本小波不必满足容许性条件等(陈雨红等,2006).S变换是线性变换,相对于Wigner-Ville分布和Cohen类等双线性变换,不存在交叉项,具有较高的时频分辨率.在实际应用中,先把S变换从时间域转换到时频域,再转换到频率域,最后转换回时间域,故其具有无损可逆性,在变换中不存在任何信息的丢失.但是S变换中的基本小波固定,使其在应用中受到限制.因此,诸多学者对S变换中的基本小波或窗函数进行了改进,得到了广义S变换.McFaden等(1997)使用前部陡后部缓的非对称窗口,得到的GST可以提高同相轴出现时的分辨率;Pinnegar和Mansinha(2003a)提出了既可以调节窗口标准差又非对称的GST,用于滤波去噪并准确的检测到了P波到时;高静怀等(2003)在S变换的基础上,通过四个可调的属性参数控制基本小波,得到了可以根据实际需要构造基本小波的GST并将其用于薄层检测;Pinnegar和Mansinha(2004a)又提出了多尺度和非零相位复数窗的GST,用于研究信号频率随时间变化;陈学华等(2006)利用两个调节因子将S变换的高斯窗函数进行改造,可根据实际要求调节高斯窗函数对频率的变化趋势,具有更好的灵活性;齐春艳等(2010)采用时窗宽度随频率呈正比例变化的高斯窗函数,提出了一种改进的GST,更能满足吸收衰减分析的需要.
这些年来S变换被用于多学科的各个领域,如海洋学(Chu,1996),大气物理学(Fritts et al.,1998),医学(Varanini et al.,1997;Livanos et al.,2000;Assous and Boashash,2012),水文地质学(Eramian et al.,1999),机械工程学(McFadden et al.,1999),电力工程(Dash et al.,2003;Samantaray et al.,2007),电磁学(陈海燕等,2012;景建恩等,2012)等.而其在地球物理学中的应用(Pinnegar and Eaton,2003;高静怀等,2003;Askari and Siahkoohi,2008; Parolai,2009;Askari et al.,2011;Tselentis et al.,2012;Askari and Ferguson,2012;Tu et al.,2013;方荣新等,2014)则最为系统和广泛.本文就ST以及几种典型的GST理论和在地震资料处理中的应用进行综述,希望能够为从事该领域研究的人提供有益的参考与借鉴.
1 S变换与广义S变换1996年,美国地球物理学家Stockwell R G综合了STFT和WT的特点,提出了一种非平稳信号分析新方法——S变换(Stockwell et al.,1996).它可以表示成连续小波变换的“相位校正”.若h(t)为地震信号,则它的S变换定义为
其中t和τ是时间,τ为窗函数的中心点,控制窗函数在时间轴上的位置;f是频率.在S变换中,高斯窗函数和基本小波被分别定义为
由此可见,S变换的时窗宽度随频率呈反向变化,即在低频段时时窗较宽,从而获得较高的频率分辨率;而高频段时时窗较窄,可获得较高的时间分辨率.S变换中的基本小波由简谐波与Gaussian函数的乘积构成,基本小波中的简谐波在时间域仅作伸缩变换,而Gaussian函数则进行伸缩和平移.这一点与连续小波变换不同,在连续小波变换中,简谐波与Gaussian函数进行同样的伸缩和平移.S变换克服了STFT窗口固定不变的缺点,又引进了小波的多分辨率分析,结合了两者优点又克服了它们的不足.S变换与傅立叶谱有直接联系,其反变换可以通过求傅立叶反变换实现:
S变换的基本高斯窗函数固定,不能根据实际应用调整,缺乏灵活性,因而限制了它的应用.经过十多年的发展,诸多学者对S变换进行推广,提出了广义S变换.基本思想是通过改变S变换中的高斯窗函数和基本小波,引申出许多特定形式的广义S变换.
Mansinha等(1997)用f/γGS代替(2)式中的f对S变换进行了推广,提出了一种广义S变换.从而基函数表示为
其中参数γGS为常数,且γGS>0.当γGS=1时即为标准S变换.通过控制γGS值的大小就能控制窗口宽度从而改变频谱的时间分辨率或频率分辨率.如果在同相轴开始时用较窄的时窗,即让γGS取较小的值,就能提高S变换的时间分辨率,但它是以牺牲频率分辨率为代价的,而且S变换域整个同相轴的分辨率没有改善.基于时间分辨率和频率分辨率的对立性,在实际应用中利用Mansinha广义S变换时要合理选择γGS的值.
为了解决Mansinha方法中出现的问题,McFadden等人(1999)提出了一种非对称窗口的GST.他们采用非对称的窗口函数,使窗口的前部变换陡,后部变换缓,这样就提高了同相轴出现时刻的分辨率.并且把它应用于机械工程中齿轮箱振动数据的分解和分析.
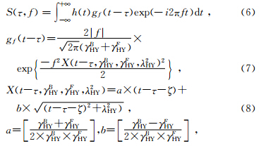
Pinnegar和Mansinha(2003a)用非对称的双曲线时窗gf(t-τ)代替高斯窗gf(t),给出了一种既可调节窗口标准差又非对称的GST方法:
式子(8)中的函数X(t-τ,γHYB,γHYF,γHY2)是一个关于(t-τ)的双曲线,形态取决于向后渐变参数γHYB、向前渐变参数γHYF,并且γHYB>γHYF>0.λHY为单位时间的正的曲率参数,平移参数ζ保证gf(t-τ)的峰值在(t-τ)=0处,
经验表明,γHYB=1.5,γHYF=0.5,λHY稍小于
(时间序列上,重要同相轴的峰值频率),GST的分辨率最好(路鹏飞等,2007).
高静怀等(2003)将S变换中的变换基函数gf(t)exp(-i2πft)统一考虑,采用4个可调的属性参数(振幅、能量衰减率、能量延迟时间和视频率)控制基本小波,得到GST并将其用于薄层分析(高静怀等,2003)和广义S变换域有色噪声与信号识别研究(高静怀等,2004).他将小波函数推广为
其中,A为基本小波的振幅,α为能量衰减率(α>0),β为能量延迟时间,f0为基本小波的视频率.在β=0时,式(10)与Mansinha方法的窗函数是一致的,即
.其中
是窗函数的方差,用于调整窗口的宽度,
用于调整窗口的高度.
陈学华等(2006)引入两个参数λ和p对S变换的高斯窗进行改造,根据实际应用中非平稳信号的频率分布特点和时频分析的侧重点,改变高斯窗函数随频率的变化规律,对具体信号的分析处理有更高的适应性,从而避免了标准变换的时频分辨率变化趋势不变的问题.定义小波函数:
其中,λ和p为调节因子,虽然它们都有改变时窗宽度和幅值的作用,但是两者发挥的作用不同(陈学华等,2008).选定p值后,当|λ|>1时,时窗宽度随频率呈反比变化的速度加快,当|λ|<1时则减慢(史燕红等,2009).根据Heisenberg不等式,时间分辨率和频率分辨率具有对立性,选择频率窗较窄的窗函数时,可以获得较好的频率分辨率,但是时间分辨率降低;若选择时间窗较窄的窗函数,其频率窗较宽,不能获得很好的频率分辨率.因此要根据实际应用的需要,选择合适的λ和p值调节广义S变换的时频分辨率,使其具有更好的适应性和灵活性.
齐春艳等(2010)提出了一种改进的广义S变换(an improved generalized S transform,简写为NGST),其时窗宽度随频率f正比例变化,在低频时时窗窄具有较高的时间分辨率;在高频时时窗较宽,以获得更高的频率分辨率,满足了吸收衰减分析的需要.NGST时窗函数为
式中s和r为调节因子,且s>0,r>0.在地震波传播过程中,地震信号中的高频成分比低频成分衰减速度更快,因此导致地震记录主频偏低.但是高频成分的变化对地层吸收衰减特性更为敏感,因此时频分析时高频成分应具有更高的频率分辨率. NGST解决了传统时频分析方法在高频段频率分辨率较低的问题,能够更好的补偿吸收衰减损失的地震波能量和频率.
除了上述几种典型的GST形式之外,还有许多学者对窗函数进行简化和变形,得到了更加实用的GST形式(Pinnegar and Mansinha,2003b,2004a,2004b;周竹生和陈友良,2011).GST不仅具有ST所具有的特点和优势,而且弥补了ST的一些不足,具有更高的频率聚集能力.在实际应用中,考虑具体情况选择具有合适窗函数变化的GST具有重要意义.
2 S变换和广义S变换在地震资料处理中的应用地震波在地下介质中传播,其地震信号呈现出明显的时变、非平稳特征.这就需要用时频分析来处理,而S变换是一种很有效的时频分析方法,有很多重要性质.许多学者已经将ST和GST的方法用于地震资料的处理和解释中.本文主要就ST和GST在时频滤波去噪、地震属性分析研究地层特征、地层吸收衰减补偿和地层品质因子Q值求取、瑞利面波频散分析和提取面波频散曲线几个方面进行综述.
2.1 时频域滤波去噪提高信噪比是地震资料处理的永恒主题,其主要方法就是消除地震记录中的相关噪音和随机噪音.地震信号是非平稳信号,时频谱是时变的,其中的噪音随时间变化也具有差异性.S变换时频域滤波可用于有效波与干扰波在视速度或者频率等方面没有明显差异的情况,并且能够将各时段频谱不同的噪音准确干净的滤除又不影响有效信号(赵淑红和朱光明,2007).S变换滤波去噪方法通常是将单道地震信号用S变换映射到时频域内,在时频域中观察有效信号和干扰的差异并结合阈值方法设置合适的滤波器,将干扰区域充零,然后将滤波后的时频谱经S反变换变换到时间域.
S变换滤波去噪对第二阶段(如面波)分析在地震灾害研究中值得特别注意.图 1a为台站GU07记录的一个2级地震的地震记录垂直分量和它的S变换时频表示(椭圆区域指示了频散波).体波的主要频率影响大于1Hz,在15秒到35秒清晰的记录到了频散波,但是由于频散波的能量低于高频的体波能量,因而指示频散波的到达比较困难.图 1b为Parolai(2009)利用阈值滤波成功的滤除了干扰影响并且频散波得到了清晰成像.王云专等(2010)利用共中心点道集各道有效信号相似性,以ST为时频分析工具,在时频域设计二维滤波器很好的压制了随机噪声,提高了叠前地震资料的信噪比.Schimmel等(2011)则对背景噪声的区域性互相关图和全球性互相关图做了去噪处理,有效滤除了互相关图上不相关的噪声和孤立信号.李玲利等(2012)用S变换对天然地震面波数据和背景噪声进行去噪,发现其去噪效果优于相位匹配滤波.Mucciarelli等(2011)则通过应用S变换分析背景噪声和强震动观测结果研究了地震对钢筋混凝土建筑远场损害的影响.Ditommaso等(2012)利用S变换设计带宽可变的滤波器,从时频域分析研究了地震事件对土壤和建筑物造成的非平稳响应.
![]() | 图 1(a)实际地震记录垂直地震分量及S变换;(b)经时频滤波后的地震记录及其S变换(Parolai,2009)Fig. 1(a)The vertical component seismograms of earthquake and the corresponding ST;(b)Seismic records after application of time-frequency filter and the corresponding ST(Parolai,2009) |
地震记录中的面波是一种很强的规则干扰波,其频散严重,视速度较低.在炮集上呈线性分布,频率低、能量强、振动延续时间长.它在时频图上占据特定的区域,在地震资料处理中,可以设置滤波器将面波区域直接充零,再将滤波后的时频谱用S反变换变换到时间域,从而达到压制面波的目的.
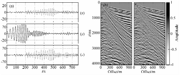
Pinnegar(2006)用S变换设计极化滤波器,将具有椭圆极化特性的面波滤除,而将具有线性极化的体波有效保留.如图 2a中灰线表示在加拿大Pembroke地区的PEMO台站在2003年6月23日记录到的一个三分量地震记录的一段,它包含有Love波和瑞利波.在经过ST极化滤波以后(见图 2a中黑线),可以清楚看到瑞利面波被有效去除.图 2b右图中垂向分量的炮集记录在自动增益前对每道都应用了极化滤波,和未经滤波的自动增益结果(图 2b左图)比较,几乎所有的瑞利波都被有效滤除.陈爱萍和邹文(2005)用ST对含有面波的实际资料处理,有效的压制了面波,而且不会出现空间假频.Askari和Siahkoohi(2008)介绍了一种数据适应性的S变换滤波,应用S变换在时频域对陆地地震炮集记录衰减其地滚波,面波被有效压制而有效波被很好的保留.Tan等(2013)则对Pinnegar提出的S变换极化滤波器进行改进,通过构造谱矩阵来计算各类极化属性,从而有效减小极化属性中方差和偏差,能够更加彻底的滤除面波.段俊等(2011)通过GST去除叠前地震资料的面波,得到了高信噪比和高分辨率的地震资料.
![]() | 图 2(a)径向分量(x)横向分量(y)和垂向分量(z)地震记录极化滤波前(灰线)和滤波后(黑线)瑞利波压制;(b)自动增益控制后的炮集记录滤波前(左)和滤波后(右)(Pinnegar,2006)Fig. 2(a)(x)Radial,(y)transverse,(z)vertical components of a segment of a three-component earthquake seismogram before(grey lines) and after(black lines)application of the polarization filter;(b)Automatic gain corrected shot gather before(left) and after(right)application of the filter(Pinnegar,2006) |
初至拾取的准确性在地震资料处理中至关重要,它是折射波资料分析、VSP处理和井间地震资料处理的基础工作,并为其他处理工作提供可靠参数.地震信号在初至起跳前后存在明显的频率差异,致使在时频图上形成明显的振幅能量的突变.常规的初至拾取方法对信噪比较低的地震记录存在较大误差,ST的时频聚集性可有效解决低信噪比地震记录初至拾取困难的问题.Tselentis等(2012)在对无源微震数据的自动化分析中,利用S变换结合Otsu阈值法对连续记录的单道地震数据进行滤波去噪,如图 3a为加地震噪声的模拟地震信号在自动拾取时与实际P波初至存在偏差造成误拾取,经过S变换滤波去噪之后再经自动拾取则和实际P波初至重合(见图 3c),从而能够更加准确的得到P波到时.Pinnegar和Mansinha(2003a)用GST在有噪声的地震图中检测地震P波初至,在时频域内能很好的指示出P波初至,经过时频滤波能清晰的看到P波到时.Bannister等(2010)通过S变换将Rotokawa地区水库地震具有强烈极化特性的背景噪声滤除,从而得到更加精确的P波和S波到时,实现对微震的定位.为了检测ST识别初至的容噪能力,陈昕等(2009)使用GST进行初至拾取,通过合理设置GST的时窗宽度因子,不论地震信号的信噪比多低,地震信号的时频谱均有明显的能量聚集,能准确检测地震信号的初至.
![]() | 图 3(a)加实际地震噪声的模拟地震信号;(b)对原始的模拟地震信号进行峰值计算;(c)经过S变换时频滤波的地震信号;(d)对滤波后的地震信号进行峰值计算.虚线表示通过峰值准则自动拾取P波初至,点线则表示P波初至的准确位置(Tselentis et al.,2012)Fig. 3(a)Synthetic seismogram with addition of real seismic noise;(b)Kurtosis calculated for the initial synthetic seismogram;(c)Seismogram filtered in the time-frequency domain using the S-transform;(d)Kurtosis calculated for the filtered synthetic seismogram.The dashed line is the automatic pick as calculated using the HOS(kurtosis)criterion,and the dotted line is the actual position of the P-phase arrival(Tselentis et al.,2012) |
地震波的波形变化与地下介质岩性及产状等信息密切相关,从而可以指示地下地层的变化特征.应用ST的良好时频聚集性,提取地震信号的属性参数,就能识别和解释隐含在地震剖面中的各种特征信息,从而实现地震资料的高分辨率分析和处理.实际地震波常常是地下多个薄层的综合响应,但是每个薄层产生的地震反射在频率域都对应一个特定的频率成分,而这个频率成分可以用来指示薄层的时间厚度.频率的横向变化代表了岩性的横向变化,频率横向变化快说明岩性变化大,属高能沉积环境;频率横向变化小则说明岩性稳定,属低能或稳定沉积环境.频率的横向变化也能有效指示油气存在,当地震波通过含油气地层时,主频向低频方向移动,在浅层频率移动范围较大,深层频率移动范围小.
基于时频分析的地震谱分解技术提供了一种在频率域分析、解释地震数据的新途径(杨海涛等,2009).它在空间横向上分辨率高,是一种利用三维地震资料的多尺度信息检测储层时间厚度变化及对储层进行高分辨率成像的工具.地震数据振幅谱可以识别地层的时间厚度变化,相位谱可以检测地质体横向不连续性,频谱成像技术在确定油藏边界、计算地层厚度方面比传统地震属性研究方法具有更大的优势(路鹏飞等,2007).
杨海涛等(2009)证明了ST谱分解可以识别低频异常进而识别储层.图 4为某地区过井剖面,黑线表示两口井CDP(common depth point,简写为CDP)位置,产气层在700~800 ms时间段.对该剖面做ST谱分解并提取18 Hz、26 Hz、35 Hz的单频剖面,图中黑圈为有井位置的产气层段.对比单频剖面可以看出高频能量被气层吸收,含气储层的主频向低频移动并出现了低频异常.图中白圈可能为储层区.陈学华等(2008)提出了基于GST的地震资料高效时频谱分解方法,从谱分解后的若干共频率数据体中抽取振幅极大值的频率数据合成一个谱极大值数据体,减少了数据的存储量,提高了信噪比.GST的谱分解技术在实际资料的处理中,不仅具有较高的信噪比,而且能准确的描述储层的岩性、空间展布和地质构造(郭爱华等,2008).
![]() | 图 4 过井剖面及(a)18 Hz频率剖面;(b)26 Hz频率剖面;(c)35 Hz频率剖面(杨海涛等,2009)Fig. 4 Logging profile and (a)18 Hz profile;(b)26 Hz profile;(c)35 Hz profile(Yang et al.,2009) |
沉积旋回是自然界周期性海平面升降的结果,在时间上具有周期性,在成因上具有相似性,在地质上表现出旋回性,在地球物理上表现出一定响应特点,如地震波场中地震波频谱特性的规律变化(刘振峰等,2004).地震波场中的频率变化能够指示一定的沉积旋回.根据沉积岩物性变化特点可将沉积旋回分为:正旋回、反旋回、正反旋回和反正旋回4种类型.在时频谱上,正旋回表现为振幅减弱、频率减小、能量团减弱;反旋回表现为振幅增强、频率增大、能量团增强;正反旋回表现为振幅先减弱后增强、频率先减小后增大、能量团先减弱后增强;反正旋回表现为振幅先增强后减弱、频率先增大后减小、能量团先增强后减弱.周强等(2009)将ST引入到地震地层学的研究中,并通过实例验证了应用ST得到地震时频谱划分沉积旋回识别基准面的可行性.刘喜武等(2006a)用GST提取地震道的主能量和主极值频率,对沉积旋回进行了分析和研究.魏学强等(2013)应用GST对地震剖面进行时频分析,依据地层厚度、速度和密度随深度变化准确的划分了沉积旋回.他对实际井旁地震道数据进行旋回分析并和录井测井分析结果对比,说明了利用GST进行旋回识别的准确性和可靠性.
地震信号瞬时参数(瞬时振幅、瞬时频率、瞬时相位)可以解释并获得许多有关地层、岩性变化、断层和裂缝等重要特征信息,对地下地质特征进行正确认识以及对地震剖面进行精确解释具有重要意义.而地震波的主参数(如主振幅、主频率、主相位)分析,特别是主频率分析得到的主频率剖面,则有利于地震资料的精细处理和解释.周怀来和李录明(2008)应用GST对数据进行时频显示,抽取得到的瞬时频率振幅谱剖面具有很高的信噪比和分辨率,而且准确的指示出了断层,具有较强的抗干扰能力.李宏伟和姜镭(2009)则利用GST对地震资料时频分解,提取不同的单频剖面来细致研究局部层位,识别地震剖面中特征信息.熊晓军等(2007)采用基于GST的主频率分析方法得到的主频率剖面有效的突出了反射同相轴,不仅具有很强的分辨薄层的能力,而且具有很高的纵向分辨率,有利于地震资料的精细处理和解释.
地层的影响通常使得到的地震波主频偏低,为了准确研究地下地质构造,通常在保证较高信噪比基础上,尽可能提高地震剖面的分辨率.图 5为许平和雷芬丽(2012)对地震信号用GST分解,进行频率补偿再进行重建,从而得到高分辨率地震剖面(图中黑色圈中部分可能的小断层在高分辨地震剖面上显示更为清晰).其不仅有效的提高了地震波的主频,而且较好的保持了剖面的振幅信息.为下一步地震资料解释反演奠定了良好的基础.熊晓军等(2006)考虑从时频分析角度,利用GST进行地震高分辨处理,获得基于GST的高分辨剖面.由此得到的高分辨剖面不仅有效地提高了地震波的主频,而且可以通过提取单频曲线或单频剖面,细致地研究局部构造的层位信息,为地震资料处理和解释提供了一种有效的工具.
![]() | 图 5(a)江苏地区原始地震剖面;(b)河南地区原始地震剖面;(c)江苏地区高分辨率处理剖面;(d)河南地区高分辨率处理剖面(许平和雷芬丽,2012)Fig. 5(a)Jiangsu original seismic profile;(b)Henan original seismic profile;(c)Jiangsu high-resolution processing profile;(d)Henan high-resolution processing profile(Xu and Lei,2012) |
地震波在地层中传播时,地层对地震波的吸收是引起地震子波时变的主要因素,也严重影响了分辨率的提高.要提高地震波的分辨率就需要消除地层吸收的影响,进行地层吸收补偿.目前补偿的主要方法是进行反Q滤波.该方法需要精确获得地层吸收的Q值,但在实际中却无法精确求得Q值.而利用GST进行地层吸收补偿(马见青等,2010a),无需直接求取Q值,并且有效提高了地震资料的分辨率.其基本思路是:若没有地层吸收,深、浅层反射波具有相同的振幅谱,相位谱仅相差一线性相位;如果把地震记录分成不同的频率,所对应时间的能量关系具有相似性.刘喜武等(2006b,2006c)用加权方法对地层吸收造成的各频率能量对时间分布的不同进行补偿,从而实现了应用GST对地层吸收的补偿.
张固澜等(2010)利用NGST对实际VSP数据进行地层吸收衰减补偿,补偿后的数据可明显看到振幅差异,而在原始剖面上不连续,甚至无法识别的同相轴得到恢复(图 6b).图 7是抽取第50道资料补偿前后的频谱,补偿后各频率频谱明显增强,主频有所提高,频带明显变宽.并且补偿过程中每个采样点都可以提取等效Q值(图 8).地震波的衰减通常用地层品质因子Q值来度量.品质因子对衡量地震波传播过程中的能量衰减以及预测油气具有重要意义.付勋勋等(2012,2013)利用ST和NGST的时频特性,提取地层上下界面对应的瞬时频谱,并通过拟合振幅比与频率的关系得到地层的品质因子Q值.王小杰等(2011)利用ST提出了对叠前地震资料地层Q值的估算方法,王小杰和印兴耀(2011)则讨论了地震子波作为一般零相位子波时在时频域的地层品质因子的估算.李雪英等(2009)则给出了一种利用扫描分析技术与GST相结合求取Q值的新方法.
![]() | 图 6 地层吸收衰减补偿前(a)后(b)地震记录Fig. 6 Seismic records before(a) and after(b)the stratigraphic absorption attenuation compensation |
![]() | 图 7 地层吸收补偿前(a)后(b)第50道时频谱(张固澜等,2010)Fig. 7 The time-frequency spectrum of 50th trace before(a) and after(b)the stratigraphic absorption attenuation compensation(Zhang et al.,2010) |
![]() | 图 8 时变Q值(张固澜等,2010)Fig. 8 Time-varying Q values(Zhang et al.,2010) |
瑞利波勘探是进行工程地质勘探的一项重要技术,它是基于瑞利波的频散特征来进行工作的.其核心是利用层状介质中面波的频散特性和传播速度与岩土物理力学性质的相关性来达到勘探目的,即不同的频率成分具有不同的相速度(周竹生等,2012).层状介质瑞利面波频散曲线的正演分析表明,曲线的高频部分对应于浅层介质,曲线的低频部分则对应于深层介质,曲线的拐点对应于介质的分层界面,由此来确定岩土介质的分层情况.因此如何处理原始瑞利波信号提取准确可靠的频散曲线,是瑞利波勘探技术的关键问题.
传统的相位谱法求取相速度是建立在简谐波理论基础上的,因此有其固有缺陷.ST和GST具有时频特性并且和傅立叶变换直接相关,因此相速度可以由时频域脊线间的绝对相位值求得,群速度则可由变换脊线的时间差异来求取(Askari and Ferguson,2012).Askari等(2011)基于GST在时频域内使用倾斜叠加的方法用来计算多模态地滚波的群速度,如图 9b即为对包含两个模态地滚波的合成记录求取的群速度值,和理论值(实线和虚线)吻合较好.马见青等(2010b)利用ST在时频域中计算相邻两道面波记录同一频率的时间差,再利用道间距除以该时间差来得到该频率对应的相速度,从而提取到了比较准确的瑞利面波频散曲线.但是ST窗函数固定使得所得到频散曲线信息缺失或错误,王佳文等(2012)利用GST提出了一种基于多道瑞利波的改进方法,从而得到更加光滑稳定的频散曲线,比理论频散曲线和基于单道法获得频散曲线更能准确反映地层变化情况.鉴于ST和GST不能全时段兼顾频率分辨率和时间分辨率的缺点,周竹生等(2012)提出了含可变因子GST进行瑞利面波频散曲线的提取方法,能够更准确的反映时间和频率的对应关系,从而提高了瑞利面波频散曲线的提取精度.
![]() | 图 9(a)包含两个模态地滚波的合成数据;(b)倾斜叠加GST方法估算群速度(实线和虚线表示理论值)(Askari et al.,2011)Fig. 9(a)A synthetic data containing a two modal ground roll;(b)The estimated group velocities for the record in(a).The solid and dashed lines correspond to the theoretical values(Askari et al.,2011) |
3.1 ST集中了STFT和WT的优点,又避免了两者不足,ST中的相位因子保留了每个频率的绝对相位特征,基本小波不必满足容许性条件,并且它与傅里叶变换有着直接的联系.ST的线性性质保证了其不受交叉项的影响.ST的独特性质使其在地球物理和其他许多领域中已经取得了很多成果. 但仍有许多的应用前景,例如上面提到的在地震资料处理中的应用都是利用时间与频率联合表示的信息,没有用到相位信息.可以考虑在以后的研究中利用S变换分析相位谱来检测地质体的横向不连续性.
3.2 ST为人们提高地震资料信噪比提供新的思路,在去噪降噪方面具有独特优势.从压制面波到提取面波,对环境噪声滤波提高层析成像精度.从地震勘探寻找石油天然气资源,到工程地质划分地下结构都取得了很好效果.ST应用到天然地震中能更加准确的获取P波和S波到时,震相识别,进而实现对地震进行定位.ST还被应用于分析地震前后的应变变化,从而提取出异常信号的信息,对地震前兆进行研究(刘琦和张晶,2011).张小红等(2012)提出利用S变换进行高频GPS地震波的震相识别,但测量精度有待提高.Tu等(2013)提出用低通滤波和线性校正来对低频漂移去趋势并用ST对高频噪声去噪,从而将高频GNSS得到的同震位移和同震速度得到很好的恢复.方荣新等(2014)则用S变化对高频GPS测得的同震位移去噪,对利用高频GPS确定大地震震中和震级进行了研究.因此高频和超高频GPS的精确定位结合ST滤波去噪以提高震相识别精度,对大地震进行实时定位和震级快速确定,将成为一种有效的观测手段.另外重复地震研究是地震学研究的一个重要方面(王伟涛和王宝善,2011).如果应用ST对台站接收到的小地震进行滤波去噪,然后应用到重复地震的识别技术,从而对地震应急和地震预警以及震后趋势预测等地震学应用提供新的技术手段和更加科学的决策依据.
3.3 GST较ST有更好的尺度性质,使其具有更好的频率聚集能力.而且GST 可以更加灵活的控制窗函数的变化对地震信号的特定成分进行分析处理,从而得到更加精确的局部化特征.可根据实际地震资料,依据识别目标体的实际需要选取合适的小波基函数,具有更高的适应性和实用性.
3.4 总之,ST是一种同时具有时域和频域分辨率的数据处理方法,在地震资料处理中有广泛应用.而目前国内研究主要将ST应用于勘探地震学和工程地质方面,应用ST对天然地震资料处理还比较欠缺.我国正在大规模开展天然地震台阵观测,积累了大量天然地震资料.基于这些资料,中国科学家有望在天然地震领域对于S变换的应用、方法和理论等方面做出更大贡献.
致 谢 感谢两位匿名审稿人对论文提出的建设性意见.感谢中国地震局地球物理研究所地震观测与地球物理成像重点实验室的李璐博士和王芳博士对文章写作中的帮助.
| [1] | Askari R, Ferguson R J. 2012. Dispersion and the dissipative characteristics of surface waves in the generalized S-transform domain[J]. Geophysics, 77(1): V11-V20, doi: 10.1190/geo2012-0330.1. |
| [2] | Askari R, Ferguson R J, DeMeersman K. 2011. Estimation of phase and group velocities for multi-modal ground roll using the 'phase shift' and 'slant stack generalized S transform based' methods[J]. CREWES Research Report, 23: 1-11. |
| [3] | Askari R, Siahkoohi H R. 2008. Ground roll attenuation using the S and x-f-k transforms[J]. Geophysical Prospecting, 56(1): 105-114, doi: 10.1111/j.1365-2478.00659.x. |
| [4] | Assous S, Boashash B. 2012. Evaluation of the modified S-transform for time-frequency synchrony analysis and source localisation[J]. EURASIP Journal on Advances in Signal Processing, 2012: 49, doi: 10.1186/1687-6180-2012-49. |
| [5] | Bannister S, Sherburn S, Bourguignon S, et al. 2010. Preprocessing for Reservoir Seismicity Location: Rotokawa Geothermal Field, New Zealand[C].//Proceedings World Geothermal Congress 2010.Bali, Indonesia. |
| [6] | Chen A P, Zou W. 2005. Surface wave suppression technique based on S-transform[J]. Global Geology (in Chinese), 24(1): 82-86, doi: 10.3969/j.issn.1004-5589.2005.01.015. |
| [7] | Chen H Y, Wei W B, Jing J E, et al. 2012. The generalized S-transform and its application in the processing of magnetotelluric sounding data[J]. Progress in Geophys. (in Chinese), 27(3): 988-996, doi: 10.6038/j.issn.1004-2903.2012.03.020. |
| [8] | Chen X, Li X A, Liu W X, et al. 2009. Methodology and application of first break picking based on S-transform[J]. Coal Geology of China (in Chinese), 21(11): 59-63, doi: 10.3969/j.issn.1674-1803.2009.11.018. |
| [9] | Chen X H, He Z H, Huang D J. 2006. Signal extracting and denoising based on generalized S transform[J]. Journal of Chengdu University of Technology(Science & Technology Edition) (in Chinese), 33(4): 331-335, doi: 10.3969/j.issn.1671-9727.2006.04.001. |
| [10] | Chen X H, He Z H, Huang D J. 2008. High-efficient time-frequency spectrum decomposition of seismic data based on generalized S transform[J]. Oil Geophysical Prospecting (in Chinese), 43(5): 530-534. |
| [11] | Chen Y H, Yang C C, Cao Q F, et al. 2006. The comparison of some time-frequency analysis methods[J]. Progress in Geophys. (in Chinese), 21(4): 1180-1185, doi: 10.3969/j.issn.1004-2903.2006.04.019. |
| [12] | Chu P C. 1996. The S-transform for obtaining localized spectra[J]. Marine Technology Society Journal, 29: 28-38. |
| [13] | Dash P K, Panigrahi K B, Panda G. 2003. Power quality analysis using S-transform[J]. IEEE Transactions on Power Delivery, 18(2): 406-411, doi: 10.1109/TPWRD.2003.809616. |
| [14] | Ditommaso R, Mucciarelli M, Ponzo F C. 2012. Analysis of non-stationary structural systems by using a band-variable filter[J]. Bull. Earthq. Eng., 10(3): 895-911, doi: 10.1007/s10518-012-9338-y. |
| [15] | Duan J, Zhang B L, Pan S L. 2011. Generalized S-transform and its application to remove surface wave[J]. Computing Techniques for Geophysical and Geochemical Exploration (in Chinese), 33(3): 280-285, doi: 10.3969/j.issn.1001-1749.2011.03.010. |
| [16] | Eramian M G, Schincariol R A, Mansinha L, et al. 1999. Generation of aquifer heterogeneity maps using two-dimensional spectral texture segmentation techniques[J]. Math. Geol., 31(3): 327-348, doi: 10.1023/A:1007578305616. |
| [17] | Fang R X, Shi C, Wang G X, et al. 2014. Epicenter and magnitude of large earthquake determined from high-rate GPS observations: A case study of the 2008 M8.0 Wenchuan Earthquake[J]. Science China: Earth Sciences, 57(7): 1645-1652, doi: 10.1007/s11430-013-4803-2. |
| [18] | Fritts D C, Riggin D M, Balsley B B, et al. 1998. Recent results with an MF radar at McMurdo, Antarctica: Characteristics and variability of motions near 12-hour period in the mesosphere[J]. Geophys. Res. Lett., 25(3): 297-300, doi: 10.1029/97GL03702. |
| [19] | Fu X X, Xu F, Qin Q R, et al. 2012. Estimation of quality factor based on improved generalized S-transform[J]. Oil Geophysical Prospecting (in Chinese), 47(3): 457-461. |
| [20] | Fu X X, Zhang J X, Chen Z, et al. 2013. The estimation of Q quality factor based on S-transform[J]. Geophysical & Geochemical Exploration (in Chinese), 37(1): 113-116. |
| [21] | Gao J H, Chen W C, Li Y M, et al. 2003. Generalized S transform and seismic response analysis of thin interbeds[J]. Chinese Journal of Geophysics (in Chinese), 46(4): 526-532, doi: 10.3321/j.issn:0001-5733.2003.04.015. |
| [22] | Gao J H, Man W S, Chen S M. 2004. Recognition of signals from colored noise background in generalized S-transformation domain[J]. Chinese Journal of Geophysics (in Chinese), 47(5): 869-875, doi: 10.3321/j.issn:0001-5733.2004.05.019. |
| [23] | Guo A H, Lu P F, Liu P, et al. 2008. Spectral decomposition technique for seismic data based on generalized S transform (GST)[J]. Journal of Oil and Gas Technology(JJPI) (in Chinese), 30(3): 83-86, doi: 10.3969/j.issn.1000-9752.2008.03.019. |
| [24] | Hu M S, Pan D M, Xu H L, et al. 2009. The comparative study and application of several time-frequency analysis methods in the coal field[J]. Geophysical & Geochemical Exploration (in Chinese), 33(6): 691-695. |
| [25] | Jing J E, Wei W B, Chen H Y, et al. 2012. Magnetotelluric sounding data processing based on generalized S transformation[J]. Chinese Journal of Geophysics (in Chinese), 55(12): 4015-4022, doi: 10.6038/j.issn.0001-5733.2012.12.013. |
| [26] | Li H W, Jiang L. 2009. Time-frequency analysis and frequency decomposition display based on generalized S-transform seismic profile data[J]. Inner Mongolia Petrochemical Industry (in Chinese), (19): 57-59. |
| [27] | Li L L, Wang Q D, Shen W Y, et al. 2012. Application of S transform in surface wave denoising[J]. Acta Seismologica Sinica (in Chinese), 34(6): 830-840, doi: 10.3969/j.issn.0253-3782.2012.06.009. |
| [28] | Li X Y, Sun D, Jing Y Q, et al. 2009. Scanning analysis of effective Q using generalized S transform[J]. Progress in Geophysics (in Chinese), 24(5): 1696-1702, doi: 10.3969/j.issn.1004-2903.2009.05.020. |
| [29] | Liu Q, Zhang J. 2011. Application of S transform in analysis of strain changes before and after Wenchuan earthquake[J]. Journal of Geodesy and Geodynamics (in Chinese), 31(4): 6-9, doi: 10.3969/j.issn.1671-5942.2011.04.002. |
| [30] | Liu X W, Nian J B, Huang W S. 2006a. Seismic cycles extraction using generalized S-transform[J]. Geophysical Prospecting for Petroleum (in Chinese), 45(2): 129-133, doi: 10.3969/j.issn.1000-1441.2006.02.003. |
| [31] | Liu X W, Liu H, Li Y M, et al. 2006b. Study on characteristics of seismic stratigraphy by generalized S-transform[J]. Progress in Geophysics (in Chinese), 21(2): 440-451, doi: 10.3969/j.issn.1004-2903.2006.02.016. |
| [32] | Liu X W, Nian J B, Liu H. 2006c. Generalized S-transform based compensation for stratigraphic absorption of seismic attenuation[J]. Geophysical Prospecting for Petroleum (in Chinese), 45(1): 9-14, doi: 10.3969/j.issn.1000-1441.2006.01.002. |
| [33] | Liu Z F, Hao T Y, Fan G Z. 2004. Geophysical study of sedimentary cycles[J]. Petroleum Geology & Experiment (in Chinese), 26(3): 258-262, doi: 10.3969/j.issn.1001-6112.2004.03.008. |
| [34] | Livanos G, Ranganathan N, Jiang J. 2000. Heart sound analysis using the S-transform[C].//IEEE Computers in Cardiology. Cambridge, MA: IEEE, 587-590, doi: 10.1109/CIC.2000.898590. |
| [35] | Lu P F, Yang C C, Guo A H.2007. The present research on frequency-spectrum imaging technique[J]. Progress in Geophysics (in Chinese), 22(5): 1517-1521, doi: 10.3969/j.issn.1004-2903.2007.05.025. |
| [36] | Ma J Q, Li Q C, Wang M D.2010a. Stratigraphic absorption-compensation based on the generalized S-transform[J]. Coal Geology & Exploration (in Chinese), 38(4): 65-68, doi: 10.3969/j.issn.1001-1986.2010.04.015. |
| [37] | Ma J Q, Li Q C, Fan J S, et al. 2010b. Rayleigh wave dispersion analysis based on S transform[J]. Journal of Earth Sciences and Environment (in Chinese), 32(3): 319-323 doi: 10.3969/j.issn.1672-6561.2010.03.019. |
| [38] | Mansinha L, Stockwell R G,Lowe R P, et al. 1997. Local S-spectrum analysis of 1-D and 2-D data[J]. Physics of the Earth and Planetary Interiors, 103(3-4): 329-336, doi: 10.1016/S0031-9201(97)00047-2. |
| [39] | McFadden P D, Cook J G, Forster L M. 1999. Decomposition of gear vibration signals by thegeneralised S transform[J]. Mechanical Systems and Signal Processing, 13(5): 691-707, doi: 10.1006/mssp.1999.1233. |
| [40] | Mucciarelli M, Bianca M, Ditommaso R, et al. 2011. Far field damage on RC buildings: the case study of Navelli during the L'Aquila (Italy) seismic sequence, 2009[J]. Bull. Earthq. Eng., 9(1): 263-283, doi: 10.1007/s10518-010-9201-y. |
| [41] | Parolai S. 2009. Denoising of seismograms using the Stransform[J]. Bulletin of the Seismological Society of America, 99(1): 226-234, doi: 10.1785/0120080001. |
| [42] | Pinnegar C R. 2006. Polarization analysis and polarization filtering of three-component signals with the time-frequency S transform[J]. Geophys. J. Int., 165(2): 596-606, doi: 10.1111/j.1365-246X.2006.02937.x. |
| [43] | Pinnegar C R, Eaton D E.2003. Application of the S transform to prestack noise attenuation filtering[J]. Journal of Geophysical Research, 108(B9), doi: 10.1029/2002JB002258. |
| [44] | Pinnegar C R, Mansinha L. 2003a. The S-transform with windows of arbitrary and varying shape[J]. Geophysics, 68(1): 381-385, doi: 10.1190/1.1543223. |
| [45] | Pinnegar C R, Mansinha L. 2003b. The bi-Gaussian S-transform[J]. SIAM J. Sci. Comput., 24(5): 1678-1692, doi: 10.1137/S1064827500369803. |
| [46] | Pinnegar C R, Mansinha L. 2004a. Time-local Fourier analysis with a scalable, phase-modulated analyzing function: the S-transform with a complex window[J]. Signal Processing, 84(7): 1167-1176, doi: 10.1016/j.sigpro.2004.03.015. |
| [47] | Pinnegar C R, Mansinha L. 2004b. Time-frequency localization with the Hartley S-transform[J]. Signal Processing, 84(12): 2437-2442, doi: 10.1016/j.sigpro.2004.08.007. |
| [48] | Qi C Y, Li Y P, Peng J X, et al. 2010. An improved generalized S-transform[J]. Oil Geophysical Prospecting (in Chinese), 45(2): 215-218. |
| [49] | Samantaray S R, Panigrahi B K, Dash P K, et al. 2007. Power transformer protection using S-transform with complex window and pattern recognition approach[J]. IET Gener. Trans. Distrib., 1(2): 278-286, doi: 10.1049/iet-gtd:20060206. |
| [50] | Schimmel M, Stutzmann E, Gallart J. 2011. Using instantaneous phase coherence for signal extraction from ambient noise data at a local to a global scale[J]. Geophys. J. Int., 184(1): 494-506, doi: 10.1111/j.1365-246X.2010.04861.x. |
| [51] | Shi Y H,Bian L E, He Z H. 2009. Optimal generalized S-transform and its application to hydrocarbon detection[J]. Oil & Gas Geology (in Chinese), 30(2): 236-239, doi: 10.3321/j.issn:0253-9985.2009.02.016. |
| [52] | Stockwell R G, Mansinha L, Lowe R P. 1996. Localization of the complex spectrum: the S transform[J]. IEEE Transactions on Signal Processing, 44(4): 998-1001, doi: 10.1109/78.492555. |
| [53] | Tan Y Y, He C, Wang Y D, et al. 2013. Ground roll attenuation using a time-frequency dependent polarization filter based on the S transform[J]. Applied Geophysics, 10(3): 279-294, doi: 10.1007/s11770-013-0383-3. |
| [54] | Tselentis G, Martakis N, Paraskevopoulos P, et al. 2012. Strategy for automated analysis of passive microseismic data based on S-transform, Otsu's thresholding, and higher order statistics[J]. Geophysics, 77(6): KS43-KS54, doi: 10.1190/geo2011-0301.1. |
| [55] | Tu R, Wang R J, Zhang Y, et al. 2013. Real-time coseismic velocity and displacements retrieving and de-noising process by high-rate GNSS[C].//China Satellite Navigation Conference(CSNC) 2013 Proceedings, Lecture Notes in Electrical Engineering Volume 244. Berlin Heidelberg: Springer,523-537, doi: 10.1007/978-3-642-37404-3_42. |
| [56] | Varanini M, de Paolis G, Emdin M, et al. 1997. Spectral analysis of cardiovascular time series by the S-transform[C].//IEEE Computers in Cardiology. Lund: IEEE, 383-386, doi: 10.1109/CIC.1997.647913. |
| [57] | Wang J W, Chai D M, Fan Y H, et al. 2012. Study on extraction method of dispersion curve by generalized S-transform[J]. Progress in Geophysics (in Chinese), 27(4): 1615-1623, doi: 10.6038/j.issn.1004-2903.2012.04.039. |
| [58] | Wang W T, Wang B S. 2011. Review on study of repeating earthquake[J]. Northwestern Seismological Journal (in Chinese), 33(3): 305-311, doi: 10.3969/j.issn.1000-0844.2011.03.020. |
| [59] | Wang X J, Yin X Y, Wu G C. 2011. Estimation of stratigraphic quality factors on pre-stack seismic data[J]. Oil Geophysical Prospecting (in Chinese), 46(3): 423-428. |
| [60] | Wang X J, Yin X Y. 2011. Estimation of layer quality factors based on zero-phase wavelet[J]. Progress in Geophysics (in Chinese), 26(6): 2090-2098, doi: 10.3969/j.issn.1004-2903.2011.06.025. |
| [61] | Wang Y Z, Lan J T, Long Y S. 2010. The method for attenuating random noise based on S transform[J]. Progress in Geophysics (in Chinese), 25(2): 562-567, doi: 10.3969/j.issn.1004-2903.2010.02.026. |
| [62] | Wei X Q, Li H F, Yang C. 2013. Study on sedimentary cycle analysis method based on generalized S transform[J]. Journal of Xi'an Shiyou University(Natural Science Edition) (in Chinese), 28(4): 35-40, doi: 10.3969/j.issn.1673-064X.2013.04.006. |
| [63] | Xiong X J, He Z H, Huang D J, et al. 2006. Application of generalized S transform in seismic high resolution processing[J]. Progress in Exploration Geophysics (in Chinese), 29(6): 415-418. |
| [64] | Xiong X J, He Z H, Huang D J. 2007. Dominating frequency analysis based on generalized S transform[J]. Chinese Journal of Engineering Geophysics (in Chinese), 4(6): 525-528, doi: 10.3969/j.issn.1672-7940.2007.06.002. |
| [65] | Xu P, Lei F L. 2012. Study on seismic high resolution processing based on generalized S transform[J]. Site Investigation Science and Technology (in Chinese), (4): 20-23, doi: 10.3969/j.issn.1001-3946.2012.04.006. |
| [66] | Yang H T,Zhu S J, Wen Z P, et al. 2009. Effectiveness analysis of spectral decomposition based on S transform[J]. Journal of Oil and Gas Technology(JJPI) (in Chinese), 31(5): 267-270, doi: 10.3863/j.issn.1674-5086.2009.06.011. |
| [67] | Zhang G L, Xiong X J, Rong J J, et al. 2010. Stratum absorption and attenuation compensation based on improved generalized S-transform[J]. Oil Geophysical Prospecting (in Chinese), 45(4): 512-515. |
| [68] | Zhang X H, Guo F, Guo B F, et al. 2012. Coseismic displacement monitoring and wave picking with high-frequency GPS[J]. Chinese Journal of Geophysics (in Chinese), 55(6): 1912-1918, doi: 10.6038/j.issn.0001-5733.2012.06.012. |
| [69] | Zhao S H, Zhu G M. 2007. Timefrequency filtering to denoise by S transform[J]. Oil Geophysical Prospecting (in Chinese), 42(4): 402-406. |
| [70] | Zhou H L, Li L M. 2008. Application of generalized S-transform to extraction of seismic signal characteristic information[J]. Xinjiang Petroleum Geology (in Chinese), 29(6): 758-760, doi: 10.3969/j.issn.1001-1986.2011.06.015. |
| [71] | Zhou Q, Zhu S J, Wen Z P, et al. 2009. Application analysis of S transform in high-resolution sequence stratigraphy[J]. Journal of Oil and Gas Technology (JJPI) (in Chinese), 31(2): 259-262. |
| [72] | Zhou Z S,Chen Y L. 2011. Generalized S-transform with variable-factor and its time-frequency filtering[J]. Coal Geology & Exploration (in Chinese), 39(6): 63-66, doi: 10.3969/j.issn.1001-1986.2011.06.015. |
| [73] | Zhou Z S, Yang P K, Chen Y L. 2012. The method of Rayleigh wave dispersion curve extraction based on generalized S-transform with variable factors[J]. Computing Techniques for Geophysical and Geochemical Exploration (in Chinese), 34(5): 518-522, doi: 10.3969/j.issn.1001-1749.2013.05.11. |
| [74] | Zou W, Chen A P, Gu H M. 2004. Joint time-frequency analysis and its application in seismic prospecting[J]. Progress in Exploration Geophysics (in Chinese), 27(4): 246-250. |
| [75] | 陈爱萍, 邹文. 2005. 基于S-变换的面波压制技术[J]. 世界地质, 24(1): 82-86, doi: 10.3969/j.issn.1004-5589.2005.01.015. |
| [76] | 陈海燕, 魏文博, 景建恩,等. 2012. 广义S变换及其在大地电磁测深数据处理中的应用[J]. 地球物理进展, 27(3): 988-996, doi: 10.6038/j.issn.1004-2903.2012.03.020. |
| [77] | 陈昕, 李新安, 刘威序,等. 2009. 基于S变换的初至拾取方法及应用[J]. 中国煤炭地质, 21(11): 59-63, doi: 10.3969/j.issn.1674-1803.2009.11.018. |
| [78] | 陈学华, 贺振华, 黄德济. 2006. 基于广义S变换的信号提取与抑噪[J]. 成都理工大学学报(自然科学版), 33(4): 331-335, doi: 10.3969/j.issn.1671-9727.2006.04.001. |
| [79] | 陈学华, 贺振华, 黄德济. 2008. 基于广义S变换的地震资料高效时频谱分解[J]. 石油地球物理勘探,43(5): 530-534. |
| [80] | 陈雨红, 杨长春, 曹齐放,等. 2006. 几种时频分析方法比较[J]. 地球物理学进展, 21(4): 1180-1185, doi: 10.3969/j.issn.1004-2903.2006.04.019. |
| [81] | 段俊, 张白林, 潘树林. 2011. 广义S变换去除面波技术及应用[J]. 物探化探计算技术, 33(3): 280-285, doi: 10.3969/j.issn.1001-1749.2011.03.010. |
| [82] | 方荣新, 施闯,王广兴,等. 2014. 利用高频GPS确定大地震震中和震级研究: 2008年汶川8.0级地震应用结果[J]. 中国科学: 地球科学, 44(1): 90-97, doi: 10.1007/s11430-013-4803-2. |
| [83] | 付勋勋, 徐峰, 秦启荣,等. 2012. 基于改进的广义S变换求取地层品质因子Q值[J]. 石油地球物理勘探, 47(3): 457-461. |
| [84] | 付勋勋, 张君学, 陈阵,等. 2013. 基于S变换求取地层的品质因子Q值[J]. 物探与化探, 37(1): 113-116. |
| [85] | 高静怀, 陈文超, 李幼铭,等. 2003. 广义S变换与薄互层地震响应分析[J]. 地球物理学报, 46(4): 526-532, doi: 10.3321/j.issn:0001-5733.2003.04.015. |
| [86] | 高静怀, 满尉仕, 陈树民. 2004. 广义S变换域有色噪声与信号识别方法[J]. 地球物理学报, 47(5): 869-875, doi: 10.3321/j.issn:0001-5733.2004.05.019. |
| [87] | 郭爱华, 路鹏飞, 刘鹏,等. 2008. 基于广义S变换的地震资料谱分解技术研究[J]. 石油天然气学报(江汉石油学院学报), 30(3): 83-86, doi: 10.3969/j.issn.1000-9752.2008.03.019. |
| [88] | 胡明顺, 潘东明, 徐红利,等. 2009. 几种时频分析方法对比及在煤田地震勘探中的应用[J]. 物探与化探, 33(6): 691-695. |
| [89] | 景建恩, 魏文博, 陈海燕,等. 2012. 基于广义S变换的大地电磁测深数据处理[J]. 地球物理学报, 55(12): 4015-4022, doi: 10.6038/j.issn.0001-5733.2012.12.013. |
| [90] | 李宏伟, 姜镭. 2009. 基于广义S变换地震剖面数据时频分析及分频显示[J]. 内蒙古石油化工, (19): 57-59. |
| [91] | 李玲利, 王清东, 沈文渊,等. 2012. S变换在面波去噪中的应用[J]. 地震学报, 34(6): 830-840, doi: 10.3969/j.issn.0253-3782.2012.06.009. |
| [92] | 李雪英, 孙丹, 井涌泉,等. 2009. 利用广义S变换进行等效Q值扫描分析[J]. 地球物理学进展, 24(5): 1696-1702, doi: 10.3969/j.issn.1004-2903.2009.05.020. |
| [93] | 刘琦, 张晶. 2011. S变换在汶川地震前后应变变化分析中的应用[J]. 大地测量与地球动力学, 31(4): 6-9, doi: 10.3969/j.issn.1671-5942.2011.04.002. |
| [94] | 刘喜武, 年静波, 黄文松. 2006a. 利用广义S变换提取地震旋回的方法[J]. 石油物探, 45(2): 129-133, doi: 10.3969/j.issn.1000-1441.2006.02.003. |
| [95] | 刘喜武, 刘洪, 李幼铭,等. 2006b. 基于广义S变换研究地震地层特征[J]. 地球物理学进展, 21(2): 440-451, doi: 10.3969/j.issn.1004-2903.2006.02.016. |
| [96] | 刘喜武, 年静波, 刘洪. 2006c. 基于广义S变换的吸收衰减补偿方法[J]. 石油物探, 45(1): 9-14, doi: 10.3969/j.issn.1000-1441.2006.01.002. |
| [97] | 刘振峰, 郝天珧, 范国章. 2004. 沉积旋回的地球物理研究[J]. 石油实验地质, 26(3): 258-262, doi: 10.3969/j.issn.1001-6112.2004.03.008. |
| [98] | 路鹏飞, 杨长春, 郭爱华. 2007. 频谱成像技术研究进展[J]. 地球物理学进展, 22(5): 1517-1521, doi: 10.3969/j.issn.1004-2903.2007.05.025. |
| [99] | 马见青, 李庆春, 王美丁. 2010a. 基于广义S变换的地层吸收补偿[J]. 煤田地质与勘探, 38(4): 65-68, doi: 10.3969/j.issn.1001-1986.2010.04.015. |
| [100] | 马见青, 李庆春, 樊金生,等. 2010b. 基于S变换的瑞利面波频散分析[J]. 地球科学与环境学报, 32(3): 319-323, doi: 10.3969/j.issn.1672-6561.2010.03.019. |
| [101] | 齐春艳, 李彦鹏, 彭继新,等. 2010. 一种改进的广义S变换[J]. 石油地球物理勘探, 45(2): 215-218. |
| [102] | 史燕红, 边立恩, 贺振华. 2009. 最优化广义S变换及其在油气检测中的应用[J]. 石油与天然气地质, 30(2): 236-239, doi: 10.3321/j.issn:0253-9985.2009.02.016. |
| [103] | 王佳文, 柴冬梅, 凡友华,等. 2012. 广义S变换在瑞利波频散曲线提取中的应用[J]. 地球物理学进展, 27(4): 1615-1623, doi: 10.6038/j.issn.1004-2903.2012.04.039. |
| [104] | 王伟涛, 王宝善. 2011. 重复地震研究综述[J]. 西北地震学报, 33(3): 305-311, doi: 10.3969/j.issn.1000-0844.2011.03.020. |
| [105] | 王小杰, 印兴耀, 吴国忱. 2011. 基于叠前地震数据的地层Q值估计[J]. 石油地球物理勘探, 46(3): 423-428. |
| [106] | 王小杰, 印兴耀. 2011. 基于零相位子波地层Q值估计[J]. 地球物理学进展, 26(6): 2090-2098, doi: 10.3969/j.issn.1004-2903.2011.06.025. |
| [107] | 王云专,兰金涛, 龙玉沙. 2010. 基于S变换的随机噪声压制方法[J]. 地球物理学进展, 25(2): 562-567, doi: 10.3969/j.issn.1004-2903.2010.02.026. |
| [108] | 魏学强, 李辉峰, 杨超. 2013. 基于广义S变换的沉积旋回分析方法研究[J]. 西安石油大学学报(自然科学版), 28(4): 35-40, doi: 10.3969/j.issn.1673-064X.2013.04.006. |
| [109] | 熊晓军, 贺振华, 黄德济,等. 2006. 广义S 变换在地震高分辨处理中的应用[J]. 勘探地球物理进展, 29(6): 415-418. |
| [110] | 熊晓军, 贺振华, 黄德济. 2007. 基于广义S变换的主频率分析[J]. 工程地球物理学报, 4(6): 525-528, doi: 10.3969/j.issn.1672-7940.2007.06.002. |
| [111] | 许平, 雷芬丽. 2012. 基于广义S变换的地震高分辨处理研究[J]. 勘察科学技术, (4): 20-23, doi: 10.3969/j.issn.1001-3946.2012.04.006. |
| [112] | 杨海涛, 朱仕军, 文中平,等. 2009. 基于S-变换的谱分解效果分析[J]. 石油天然气学报(江汉石油学院学报), 31(5): 267-270, doi: 10.3863/j.issn.1674-5086.2009.06.011. |
| [113] | 张固澜, 熊晓军, 容娇君,等. 2010. 基于改进的广义S变换的地层吸收衰减补偿[J]. 石油地球物理勘探, 45(4): 512-515. |
| [114] | 张小红,郭斐, 郭博峰,等.2012. 利用高频GPS进行地表同震位移检测及震相识别[J]. 地球物理学报, 55(6): 1912-1918, doi: 10.6038/j.issn.0001-5733.2012.06.012. |
| [115] | 赵淑红, 朱光明. 2007. S变换时频滤波去噪方法[J]. 石油地球物理勘探, 42(4): 402-406. |
| [116] | 周怀来, 李录明. 2008. 广义S变换在地震信号特征信息提取中的应用[J]. 新疆石油地质, 29(6): 758-760, doi: 10.3969/j.issn.1001-1986.2011.06.015. |
| [117] | 周强, 朱仕军, 文中平,等. 2009. S变换在高分辨率层序地层学中的应用分析[J]. 石油天然气学报(江汉石油学院学报), 31(2): 259-262. |
| [118] | 周竹生, 陈友良. 2011. 含可变因子的广义S变换及其时频滤波[J]. 煤田地质与勘探, 39(6): 63-66, doi: 10.3969/j.issn.1001-1986.2011.06.015. |
| [119] | 周竹生, 杨朋凯, 陈友良. 2012. 基于含可变因子广义S变换的瑞雷面波频散曲线提取方法[J]. 物探化探计算技术, 34(5): 518-522, doi: 10.3969/j.issn.1001-1749.2013.05.11. |
| [120] | 邹文, 陈爱萍, 顾汉明. 2004. 联合时频分析技术在地震勘探中的应用[J]. 勘探地球物理进展, 27(4): 246-250. |
2015, Vol. 30










