2. 南京师范大学地理科学学院, 南京 210046;
3. 中科院南京地理与湖泊研究所湖泊与环境国家重点实验室, 南京 210008;
4. 东北林业大学野生动物资源学院湿地科学系, 哈尔滨 150040
2. College of Geography, Nanjing Normal University, Nanjing 210046, China;
3. State Key Laboratory of Lake Science and Environment, Nanjing Institute of Geography and Limnology, Chinese Academy of Sciences, Nanjing 210008, China;
4. College of Wildlife Resource, Northeast Forestry University, Harbin 150040, China
太阳活动与行星系统的关系研究由来已久.Wood K. D.(1972)曾计算金星、地球、木星在太阳上引起的潮汐高度,得到了与太阳黑子11年周期相一致的演变曲线.Gribbin(1973)指出,太阳系行星全部处于太阳同一侧,由行星系统产生的太阳引潮力可以引发太阳活动的增强,并由此影响地球气候、自转速度和地震活动.Dingle(1973)等认为行星引潮力很微小,不足以影响太阳活动.任振球(1989)认为,行星对于太阳活动的影响,显然不是经典引力或经典引潮力的作用.Hantzsche E.(1978)也认为行星引潮力不是太阳活动的原因.De Jagerc et al(2005)根据计算得到的行星引潮力、太阳随行星系引力中心绕太阳系质心运动引起的太阳物质的加速度与观测到的加速度进行比较,发现后者是前两者的1000倍.因此认为,太阳活动的起源不可能是行星的吸引,放大太阳磁活动的源是太阳系的引力.行星系统对太阳造成的引潮力问题一般可以归结为两个方面:其一,对太阳造成引潮力的大小(主要是木星、金星、地球和水星);其二,行星系统会合或排成直列的程度及时间分布规律如何.解决这两个问题(前者不在此文讨论)最关键的是能否找到一种标识行星会合的有效方法.
1 I指数和K指数的构成 1.1 I指数的构成及其指代意义Ching-Cheh Hung(2007)给出衡量行星排成直列的I指数 [Alignment Index] 方法,对于某一行星A在 某一时刻与行星X排成直列时的指数被定义为
因为太阳引潮力主要由4颗行星引发,以4颗行星中的1颗行星A为方向基准,故其他方向的行星数量n≤3.当n=1时,因为是2颗行星排列,所以一定会出现准确的直列状态,这时一定会出现IA=1.当n=2时,再出现IA≈1的情况就相对困难.而当n=3时,IA≈1情况概率更小.Ching-ChehHung(2007)将(2)式各行星直列指数IA(A分别为Jupiter,Venus,Earth,Mercury)中的最小值作为衡量该时段行星的最终直列指数:
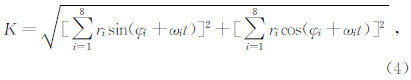
K指数是将8大行星轨道半径按质量权重构成的矢量和的模,除以一个天文单位得到的距离长度作为衡量行星会合的程度.K的取值在0和7.5105之间(刘复刚和王建,2014b).理论上,当8大行星日心经度近似相等,且位于太阳一侧,K值越大说明行星会合程度越高;当木星和其他行星日心经度近似相差180°时,K值越小说明行星会合程度越低.根据刘复刚等(2013a)文中表 2给出的ri质量权重值:水星、金星、地球、火星、木星、土星、天王星和海王星分别为0.000047、0.001319、0.002265、0.000365、3.698285、2.037572、0.627859、1.156534个天文单位.由于距太阳由近及远的前4颗行星的质量权重太小,所以据此可以推知这时的会合指数K主要反映的是地外4颗大质量的行星会合情况.根据刘复刚等(2013b)文中的图 5比较得知8颗行星会合指数图像与地外4颗大质量行星会合指数图像完全一致,这说明行星系统质心距太阳的位置完全是由地外4颗大质量行星的位置关系决定.为此将地外4颗大质量行星按实际质量权重获得的会合指数定义为行星质量权重会合指数KJ-N.因为行星系质心和太阳同步绕太阳系质心绕转,所以KJ-N指数也可以指代太阳绕太阳系质心的运动轨迹.
由K指数方程(4)式(刘复刚等,2013a)可得质量权重会合指数KJ-N,见(5)式,各表达式为
在行星会合指数运动学方程(4)式中,会合指数K≥0.当K=0时就是木星和其他行星相背离达到最大程度的情况,也是太阳系质心和太阳质心重合的时候.理论上,4颗大质量行星的位置关系构成的KJ-N=0的组合关系可以概括为以下4种情况,见图 1.
![]() | 图 1 地外4颗大行星所决定的行星系统质心与矢径始端重合的四种情况示意图 Fig. 1 Four overlap case of schematic diagram between planetary system center of mass and radius vector on all four Jovian planets |
1)A情况显示的4颗行星位置关系
土星、海王星和天王星在理论上成直线状态,且位于木星的另一侧.当土星、海王星和天王星3行星会合且与木星矢径近似成180°交角,这时地外4颗行星所决定的行星系统质心的矢径方向背离了木星矢径方向,见图 1中A处超出最外侧大圆的小箭头.因为:Kmin =3.698773-(2.029153+1.154458+0.623955)=-0.108793.
这说明此时行星系质心位置和矢径始端近似重合(即表明太阳质心和太阳系质心亦近似重合).实际上,土星、海王星和天王星矢径很难达到共线状态,而实际和理论之误差可以抵消掉小箭头超出木星权重半径的长度(0.10879AU).见图 2,极小值中的最小者Kmin≈0就证实了这一点.因此,在行星会合指数运动学方程中设定K大于等于0是合理的.
![]() | 图 2 行星系统质心绕日运动轨迹图像(刘复刚等, 2013b) Fig. 2 The path of planetary system mass center orbiting the Sun (Liu F G. et al., 2013b) |
2)B情况显示的4颗行星位置关系
土星和天王星会合,二者矢径和形成新矢量,再加上海王星的矢径,这时三者的矢径和恰巧等于木星矢径长度,且方向相反(也可以是海王星和天王星会合再加上土星矢径向量).
3)C情况显示的4颗行星位置关系
土星、海王星和天王星矢径都不重合,但它们都与木星矢径的反方向的夹角非常小,相当3颗行星的夹角很小,也可近似看成是A情况.
4)D情况显示的4颗行星位置关系
土星和海王星两者矢径会合,且与木星矢径方向的反方向夹角很小,这时再加上天王星的矢径,最终的矢径和与木星矢径方向相反,大小相等.
在刘复刚等(2013b)文中图 5的D图(3万年时间跨度),会合指数K始终没有出现 K=0和K=Kmax的极端情况,这说明行星系统理论上排成直列的状态,实际上几乎是不存在的.以2403年为1个周期的统计结果表明,发现行星系统的最大会合和最大分离程度是相对理论上排成直列程度的82.49%(6.2068/7.5105)和82.95%[(7.5105-1.2831)/7.5242](刘复刚和王建等,2014a).这说明行星系统在太阳一侧排成近似直列的概率要比木星和其他行星分居在太阳两侧近似排成直列程度的概率略显小些.
2 I指数和K指数的比较两个指数都不指代行星系统对太阳引潮力大小的具体数值,而是从指代造成太阳引潮力极大值的行星系统近似排成直列的时间分布上探寻行星系统对太阳活动规律的可能影响.I值和K值越大,则说明行星直列的状态越好,同时指代对太阳造成的引潮力越大.但二者是有区别的,I指数的极大值包含行星系统高度分离状态,而K(或KJ-N)指数极大值只能标识地外4颗大质量行星会合的极大值,K(或KJ-N)指数极小值则指代地外4颗大质量行星的高度分离状态.
I指数越大指代行星系统对太阳造成的引潮力越大,这似乎是合理的,其实不然.因为I指数没有区分不同行星对太阳引潮力大小的作用,例如,当水星和地球的直列指数达到极大值,而此时木星和金星直列指数不是极大值,或木星和金星与水星(或地球)的直列指数不是极大值,这时I值虽然很大,也不能说明此时太阳引潮力具有极大值.因为太阳引潮力主要取决于木星和金星,其次是地球和水星.木星(J)和金星(V)的引潮力是同一数量级(2个引潮力单位),地球(E)和水星(M)的引潮力是同一个数量级(1个引潮力单位)(刘复刚和王建等,2014a).如果考虑对太阳造成的最大引潮力就应该确保IJV≈1.因为如果木星和金星的日心交角θJV=90°,4颗行星的总体指数I仍然和前者的位置关系下的I值近似相等,这时相同的I值是不能指代相同引潮力的. Ching-ChehHung(2007)文中I指数没能注意到这种情况.虽然用IX中最小者作为最终指标,一定程度上反映了每一个行星位置对I指数整体水平的贡献,但难以科学表达4颗行星构成的会合指数的连续变化过程.I指数之所以选取行星排成直列的程度作为指代行星系统对太阳造成的引潮力,是因为始终把太阳参考系视为非惯性系获得的结果(方俊,1980; 李晓明等,1998; 张三慧,1999; 赵娟等,1999; 张晶等,2007; 许厚泽等,2010).然而,太阳和行星系质心共同绕太阳系公共质心运动,当太阳质心和太阳系质心近似重合时,太阳参考系就由非惯性系转化为惯性系(刘复刚和王建,2013c),见图 2中M、N、O、P、Q处所标识的太阳质心近似和太阳系质心重合.这时行星对太阳的作用只有引力而不存在引潮力.我们认为这可能是任振球(1989)指出的:“行星对于太阳活动的影响,显然不是经典引力或经典引潮力的作用”的情况.这也说明引潮力的极大值只有在行星会合时求算才是合理的,说明I指数的使用也是有条件的.因此,在分析行星系统对太阳造成的引潮力问题时,还需考虑行星系统相对太阳形成怎样的背景条件.其最佳的背景条件就是处在KJ-N具有极大值的时段.
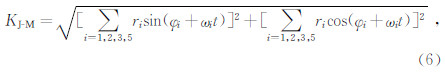
另外,I指数的求算要在不同时刻分别计算出各行星相互间的日心夹角,分别求出Ix值后再进行比较,其工作量很大,而且不可能做到客观准确.这方面行星会合指数(K)运动学方程,可以就影响太阳引潮力的4颗行星给出会合指数的连续变化过程.因为就引潮力而言,土星、天王星和海王星的贡献可以忽略,因此可将这种情况下的K指数定义为行星引潮力会合指数KJ-M为
![]() | 图 3 木星、地球、金星、水星半径皆为1的行星会合指数KJ-M图(单位时间步长n=0.01年) Fig. 3 Jupiter(1)/ Earth(1)/Venus(1)/Mercury(1)and planets-conjunction KJ-M state image(unit time step 0.01a) |
如果将金星、地球和木星的引潮力权重半径分别设定为2、1和3单位,那么三者的最大程度会合指数则是K=6;最大程度相背离时K=0,这样就可以严格分出行星会合与相背离的极值状态.设单位时间步长n=1年,得到图 4,小周期就是平均11.87年周期(该周期和木星的周期一样),这和Wood K. D.(1972)获得的结论基本一致.而且由11.87年周期又集合成了534年的周期.这就得到了行星会合指数指代行星系统对太阳造成的引潮力周期主要有11.87年、14.5年和534年.如上所述,它们只有在KJ-N具有极大值的时段背景下才能更加凸显出太阳引潮力的周期规律.而KJ-N极大值的显著周期是19.8585年、179年和2400年.
![]() | 图 4 木星(3)/金星(2)/地球(1)的行星会合与相背离的极值状态图像 Fig. 4 Jupiter(3)/Venus(2)/earth(1)and planets conjunction and phase deviation extreme state image |
如果想要获得8行星整体会合水平,可以将8大行星轨道半径都设定为1个单位,通过方程(4)就可以得到如图 5的图像.图中的单位时间步长皆为n=0.01年,坐标原点是2000AD,纵坐标是行星会合指数K,横坐标时间单位是年(B.P.).
![]() | 图 5 8大行星绕转半径皆为1的行星会合指数K图 Fig. 5 The planets-conjunction index K of eight planets orbiting radius are all unit one |
从图 5到图 11依次看来:前6幅图像的总体波动皆呈现图 11的特征,图 11的会合指数曲线很像是前6幅图的滑动平均趋势线.图 11是距太阳最远的天王星和海王星的周期得到的会合周期图像.因为二者的周期是第2和第1大,因此二者形成的会合周期最稳定(波动最小),会合指数最大值是2个单位.图 11的会合周期具有准确的171.3865年,这与刘复刚等(2013b)和杨志根等(1988)通过傅里叶频谱检测到的170.67年周期基本一致.
![]() | 图 6 7大行星(去掉水星)绕转半径皆为1的行星会合指数K图 Fig. 6 The planets-conjunction index K of seven planets orbiting radius are all unit one (remove mercury) |
![]() | 图 7 6大行星(去掉水星、金星)绕转半径皆为1的行星会合指数K图 Fig. 7 The planets-conjunction index K of six planets orbiting radius are all unit one (remove mercury,Venus) |
![]() | 图 8 5大行星(去掉水、金、地)绕转半径皆为1的行星会合指数K图 Fig. 8 The planets-conjunction index K of five planets orbiting radius are all unit one (remove Mercury, Venus, Earth) |
![]() | 图 9 4大行星(去掉水、金、地、火)绕转半径皆为1的行星会合指数K图 Fig. 9 The planets-conjunction index K of four planets orbiting radius are all unit one(remove Mercury, Venus, Earth, Mars) |
![]() | 图 10 土星、天王星和海王星绕转半径皆为1的行星会合指数K图 Fig. 10 The planets-conjunction index K of Saturn, Uranus and Neptune orbiting radius are all unit one |
![]() | 图 11 天王星和海王星绕转半径皆为1的行星会合指数K图 Fig. 11 The planets-conjunction index K of Uranus and Neptune orbiting radius are all unit one |
图 9和图 5图像的基本形态和周期相位基本一致.图 9的K最大值3.6~3.7左右没有超过4.图 5中K的最大值是6.5~7.0左右,同样没有超过理论最大值8.因为图 9是4颗大质量行星的会合,图 5是8颗行星的会合,这说明在增加木星之内的行星个数的同时,整个行星会合指数图像的振幅得到相应增大,平均增幅3.0~3.5左右.这表明小行星增加只造成会合周期在保持大周期形态特征基础上的增幅变化,对整个行星系统大尺度会合周期影响不大.
3 结论与探讨I指数指代行星排成直列是以太阳绕太阳系质心运动处于非惯性系为前提的.而根据K指数图像发现:太阳质心与太阳系质心距离(C-S)的极小值变化存在准20年周期.C-S间极小值距离约为0时,太阳质心和太阳系质心近似重合,致使太阳轨道运动处在惯性系中,这时太阳只受到引力作用而没有产生引潮力.行星系统对太阳造成的引潮力是随C-S间距离(与K值正比例变化)的变化而变化,即K值越大则引潮力越大,K值越小则引潮力越小直至消失.说明I指数应用是有条件的.K指数含盖了I指数的指代意义.KJ-M比I指数的求算更科学有效,可以反映出4颗行星会合的连续变化过程.把8颗行星质量权重视为相等,就可得到了8个行星的整体会合指数.从图 5-图 11发现,距日最远和次远的海王星和天王星的会合周期,就如同8颗行星的滑动平均趋势一样.近日行星的增加只造成会合周期在保持大周期形态特征基础上的增幅变化,对整个行星系统大尺度会合周期影响不大.KJ-N指数更重大的意义是揭示了行星系质心绕太阳的运动规律,并间接指代太阳绕太阳系质心的轨道运动规律.KJ-M指数同时指代对太阳表层产生极大引潮力和对太阳产生极大引力的时间分布规律.
致 谢 感谢审稿专家和编辑部的鼓励和支持.| [1] | Ching C H. 2007. Apparent Relations Between Solar Activity and Solar Tides Caused by the Planets[J]. National Aeronautics and Space Administration,Glenn Research Center, Cleveland, Ohio, 44135, NASA/TM, 214817. |
| [2] | De J C., Versteegh J M. 2005. Do planetary motion drive solar variability?[J]. SoPh, 229: 175-179. |
| [3] | Dingle L A., Van Hoven G and Sturrock P A., 1973. Test for Planetary Influences on Solar-Activity[J]. Solar Phys., Vol.31, No.1, pp.243-246. |
| [4] | Fang Tsǖn.1980. The studies of earth-tides-its relations to astronomy and space science. Chinese J. Geophys.(in Chinese), Vol 23 (01): 103-116. |
| [5] | Gribbin J. 1973. Planetary alignments, solar activity, and climatic change[J]. Nature, 246: 453-454. |
| [6] | Hantzsche E. 1978. On the tidal theory of solar activity[J]. Astron. Nachr., 299: 259-267. |
| [7] | Li X M, Hu H. 1998. Analysis for positional characteristics of celestial objects of major earthquakes in China. Chinese J. Geophys.(in Chinese), 41(06): 780-786. |
| [8] | Liu F G, Wang J. 2013a. Changes of the planet conjunction index and solar revolution cycle around the mass center of the solar system[J]. Chinese J. Geophys.(in Chinese), 56(5): 1457-1466, doi: 10.6038/cjg20130504. |
| [9] | Liu F G, Wang J. 2013c. Relations of the planets revolution, sun tidal force and Gravitation deriving from the planets with the solar activity periodicity[J]. Progress in Geophysics, 28(5): 2229-2240,doi: 10.6038/pg20130504. |
| [10] | Liu F G, Wang J. 2014b. 22 years cycle of the solar revolution round the solar mass center and its relation with the solar activity[J]. Chinese J. Geophys.(in Chinese), 57(11): 3834-3840,doi: 10.6038/cjg20141137. |
| [11] | Liu F G, Wang J, Bao K S, Li G W, Wang Z L. 2014a. Hallstatt cycle and variation prediction of the solar activity cycle[J]. Progress in Geophysics, 29(4): 1503-1511,DOI: 10.6038/pg20140404. |
| [12] | Liu F G, Wang J, Shang Z Y, Zheng Y. 2013b. Study on long-term cyclical rhythm of solar activity[J]. Chinese Journal of progress in Geophysics. (2): 570-578, doi: 10.6038/pg20130205. |
| [13] | Ren Z Q. 1989. Study on the relationship between the planets and climate are reviewed. Meteorological science and technology[J], (1) 7-13. |
| [14] | Wood, K.D. 1972. Sunspots and Planets[J]. Nature, vol. 240, 91-93. |
| [15] | Yang Z G, Zhao M. 1988.An investigation for the cause of formation of the major period of the relative sunspot numbers with bipolarity[J]. Acta Astronomica Sinica, 29(3):297-304 |
| [16] | Zhang J, Xi Q W, Yang L Z, et al. 2007. A study on tidal force/stress triggering of strong earthquakes. Chinese J. Geophys.(in Chinese), 50(2): 448-454. |
| [17] | Zhao J. Han Y B, Li Z A. 1999.Variation of lunisolar tidal force and the earthquakes in north China. Chinese J. Geophys.(in Chinese), 42(S1): 24-29. |
| [18] | 方俊. 1980. 固体潮研究——它对地学、天文学和空间科学的关系. 地球物理学报, 23 (01): 103-116. |
| [19] | 李晓明,胡辉. 1998. 中国大地震的天体位置特征分析. 地球物理学报, 41(06): 780-786. |
| [20] | 刘复刚,王建.2013a. 行星会合指数变化与太阳绕太阳系质心运转的周期[J].地球物理学报, 56(5): 1457-1466, doi: 10.6038/cjg20130504. |
| [21] | 刘复刚,王建. 2013c.行星系统运动、太阳引潮力和引力的变化与太阳运动周期律的关系[J].地球物理学进展, 28(5): 2229-2240, doi: 10.6038/pg20130504. |
| [22] | 刘复刚,王建. 2014b. 太阳绕太阳系质心运动22年周期及其与太阳活动的联系[J].地球物理学报, 57(11): 3834-3840,doi: 10.6038/cjg20141137. |
| [23] | 刘复刚,王建,鲍锟山,等. 2014a. 太阳活动Hallstatt周期及太阳活动周强弱变化的预测[J]. 地球物理学进展, 29(4): 1503-1511, DOI: 10.6038/pg20140404. |
| [24] | 刘复刚,王建,商志远,等. 2013b. 太阳轨道运动长周期性韵律的成因[J].地球物理学进展, 28(2): 0570-0578, doi: 10.6038/pg20130205. |
| [25] | 任振球. 1989. 行星与气候关系研究评述.气象科技[J]. 第1期7-13. |
| [26] | 许厚泽等著. 2010. 固体地球潮汐[M]. 湖北科学技术出版社,1-4. |
| [27] | 杨志根,赵铭. 1988.太阳极性黑子相对数主周期的成因探讨 天文学报[J], 29(3):297-304. |
| [28] | 张三慧. 1999. 大学物理学(力学,第一册,第二版)[M]. 清华大学出版社, 96-104. |
| [29] | 张晶,郗钦文,杨林章,等. 2007. 引潮力与潮汐应力对强震触发的研究. 地球物理学报,50(2): 448-454. |
| [30] | 赵娟,韩延本,李志安. 1999. 日月引潮力与华北地区的地震. 地球物理学报,42(S1): 24-29. |
2015, Vol. 30












