2. 中国石油大学(华东)地球科学与技术学院, 青岛 266580;
3. 成都理工大学地球物理学院, 成都 610059
2. School of Geosciences, China University of Petroleum, Qingdao 266580, China;
3. College of Geophysics, Chengdu University of Technology, Chengdu 610059, China
棱柱波也称为“三元反射波”,特点是含有三段主要反射路径和两个反射点,一个反射点位于反射界面上,另一个反射点位于陡倾角反射层上.尽管可以在地震记录中观察到棱柱波,但是人们对棱柱波并不熟悉,通常认为棱柱波太复杂并将其视为噪音去除(Hawkins,1994).实际上,棱柱波也包含了很多一次波不能到达的地下反射界面的信息,例如断层或是盐体悬伸侧翼等陡倾角构造.折射可产生回折波现象,回折波的传播路径呈圆弧状,不是仅上行传播或仅下行传播,因此回折波可以照明盐体内部和盐体遮挡下等一次波不能到达的区域.
Cavalca和Lailly(2005)研究了棱柱波的运动学特征并探索了在旅行时反演中加入棱柱波进行盐丘侧翼位置定位的可能性;为了在成像中加入振幅,Marmalyevskyy等(2005)利用基于科希霍夫的方法对棱柱波成像以描述盐丘侧翼,过程中需要利用之前成像结果中规定的水平反射边界;Malcolm等(2009)提出一种基于改进的单程波方程偏移方法的迭代方法逐步包括棱柱波和多次波偏移,其中每个阶段都通过数据拟合过程独立开来,每一步中,计算不同部分的成像去照明不同的构造,例如,棱柱波照明盐丘侧翼.随后他们用北海数据测试了他们的方法,利用了反演里面的规则化项(Malcolm et al.,2011);逆时偏移中,通过将地下反射边界插入速度模型中,棱柱波偏移可适应整个偏移过程(Jones et al.,2007).然而,将陡边界插入速度模型中是很重要的,并且复杂的偏移速度会产生复杂的波场,进而在RTM成像中产生假象(Liu et al.,2011);Li等人(2011)改进常规的逆时偏移,提出了复杂盐丘构造下的棱柱波成像流程; Dai(2012)提出一种新的利用棱柱波成像盐丘侧翼的逆时偏移方法,这种方法偏移棱柱波时不需要提前拾取水平反射层.同时它在不同的步骤里分别对垂直构造进行成像,减少了相关干涉,但它的运算时间是传统逆时偏移的两倍.若是由于缺少很强的速度梯度或是记录孔径有限导致回转波不明显,可成像棱柱波以得到垂直反射层的成像.
Hale等(1992)指出一次反射波通常无法照明盐丘侧翼等垂直构造,因此常规偏移算法不能很好地成像垂直构造.他通过改进DMO方法在CMP叠加时尽量保留回折波成分,然后改进传统的相移偏移方法成像回折波;Whitmore(1983)利用逆时偏移成像悬伸盐丘产生的回折波;McMechan(1983)提出,零偏移距波场的偏移可以看作是求解地震数据逆时外推时的边界值问题,这种概念通过二维声波方程的有限差分解来实现,即逆时偏移可对任何倾角(包括接近垂直)的构造进行正确成像;Baysal等(1983,1984)阐述了逆时偏移成像回折波的原理,也阐述了成像倾角大于90度构造的技术可行性,他将逆时偏移技术应用到合成地震记录上,当速度变化剧烈或速度梯度变化大时几何射线会发生回转形成回折波,此时双程无反射波动方程可以追踪超越回折点的射线从而对陡倾角构造正确成像;刘文卿等(2013)结合地质、测井信息采用层控多信息约束地震速度建模技术,将速度建模与逆时偏移相结合,解决了盐下、盐丘侧翼的成像问题,实现了盐丘边界及盐丘侧翼的准确归位.
我们的目的是将棱柱波和回折波作为有用的信息来对待,结合成像精度高和能够处理强横向速度变化的双程波动方程偏移方法—逆时偏移,充分利用棱柱波和回折波的信息,用棱柱波来描述盐丘侧翼的垂直边界并用回折波成像盐体内部和盐体遮挡下构造.
1 逆时偏移对棱柱波的成像效果分析
1.1 逆时偏移成像棱柱波的理论基础分析
Dai(2012)详细分析了逆时偏移成像棱柱波的基础原理,并提出了棱柱波逆时偏移.图 1a为包含一个水平反射层和一个垂直反射层的L速度模型,其中背景速度场为2000 m/s,反射层的速度为2500 m/s,图中黑色箭头代表激发点位于(x,z)=(4600,10)m且接收点位于(x,z)=(2500,10)m的棱柱波的反射传播路径,图 1b为三角形检波点处的单炮记录,其炮记录中包含棱柱波,其中红色窗口为水平反射层的反射记录和棱柱波记录.为了利用棱柱波的信息,将记录道中的直达波和绕射波切除,只保留红色窗口中的部分,用d(xg|xs)=d1(xg|xs)+d2(xg|xs)来表示,其中d1(xg|xs)和d2(xg|xs)分别表示一次反射波和二次散射棱柱波.
![]() |
图 1 L速度模型中的棱柱波反射路径图及其单道记录 (a)包含一个水平反射层和一个垂直反射层的L速度模型,黑色箭头表示棱柱波的反射路径;(b)接收点处的单道记录. Fig. 1 The ray path of prism wave and its trace recorded at the triangle for L velocity model (a)L velocity model containing a horizontal reflector and a vertical reflector,the black arrows indicate the reflection path of the prism waves.(b)Single trace. |
Jones等(2007)指出,当在偏移成像中提取出水平反射层并将其插入偏移速度模型中(图 2a),传统RTM可以正确偏移棱柱波成像垂直构造.在这种情况下,利用图 2a中的偏移速度计算出的格林函数 G(x|xs)(是震源点xs在点x处的格林函数,可通过波动方程的有限差分解求取)包含两个初至:直达波初至(图 2b中黄色箭头所示)和水平反射层的反射波初至(图 2b中蓝色箭头所示).因此,格林函数G(x|xs)可分解为两部分:
![]() |
图 2 格林函数的射线路径图示 (a)只包含一个水平反射层的速度模型,背景速度场为2000 m/s,水平反射层的速度为2500 m/s;(b)L速度模型,爆炸图形和蓝色椭圆分别代表了震源和检波点位置,蓝色箭头表示直达波的射线路径,黑色箭头表示反射波的射线路径; (c)蓝色椭圆检波点处的单道记录,震源子波为30 Hz. Fig. 2 Ray diagrams for the Green’s functions (a)a two-layer velocity model;(b)L velocity model.The explosion graphics and blue ellipse indicate the source and receiver locations.The blue arrow is the ray path for the direct wave and the black arrows show the ray path for the reflected waves;(c)The trace recorded at the blue ellipse.It is simulated with a 30 Hz Ricker wavelet. |
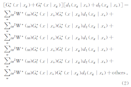
Dai(2012)指出,在频率域,炮集d(xg|xs)的逆时偏移可表示为
按照Jones(2007)时提出的原理,将图 1b红色方框内的炮记录利用图 2a只包含一个水平反射层的速度模型进行逆时偏移后,得到的偏移结果如图 3所示.
![]() | 图 3 非均匀速度模型逆时偏移成像结果:利用图 1b中红色方框中的数据和图 2a中的速度模型逆时偏移得到的偏移结果 Fig. 3 RTM imaging result with non-homogeneous velocity model(Fig. 2a): the migration image of the data within the red window in Fig. 1(b)with the velocity model in Fig. 2(a) |
结合上面的分析,图 3的偏移结果可用数学公式表示(Dai,2012):
图 3包含了两个椭圆.第一个与公式(2)中的偏移核相对应,振幅阶数为O(r).当棱柱波作为一次反射波(公式(3)中的一项)进行偏移时,它显示为图 3中的第二个椭圆,振幅阶数为O(r2),这个椭圆是假象.公式(4)和(5)中的偏移核对应于两个“兔耳”,振幅阶数为O(r2).公式(6)和(7)包含棱柱波的偏移核,对应于图 3中的近似垂直曲线,它们的振幅阶数均为O(r3),弱于其它的偏移核,因此在偏移成像中,与水平反射层相比,垂直反射层的振幅要弱很多(Dai,2012).
1.2 逆时偏移成像棱柱波对速度场精度的依赖性分析
依据前一部分的理论分析,用一个简单的L模型测试逆时偏移对棱柱波的成像效果,并与传统常规逆时偏移进行对比,分析棱柱波逆时偏移成像对速度场精度的依赖性.
图 4a中的简单L模型网格划分为601×301,网格间距为10 m.在x轴上平均分布31炮,第一炮位x=0 m处,炮点深度为10 m,炮间距为200 m.对于一个固定分布的观测系统,每一炮有601道,检波点深度为10 m,间距为10 m.正演模拟中采样率为0.5 ms,采样总时间为6 s.图 4b为炮点在x=4600 m处的炮记录,炮记录中清晰地显示了直达波、来自垂直反射层顶部的绕射波、水平反射层的反射波和棱柱波,棱柱波用红色箭头显示.
![]() | 图 4 L速度模型(a)和炮点位于(x,z)=(4600,10)m处的单炮记录(b).单炮记录包含直达波、来自垂直反射层顶部的绕射波、水平反射层的反射波和棱柱波.其中红色箭头表示棱柱波 Fig. 4 L velocity model and a shot gather with the source at(x,z)=(4600,10)m.The shot gather contains the direct wave,the reflection off the horizontal reflector,and the diffraction from the top of the vertical reflector. The red arrow points out the prism wave |
首先,用常规RTM对这31炮的炮记录和原始速度场(如图 4a所示)进行偏移,成像结果如图 5a所示,可以看到水平反射层和垂直反射层都被成像出来了,这说明了常规逆时偏移相对于单程波偏移方法的优越性,即可以对陡倾角和垂直断层进行正确成像,但是这种优越性建立在偏移速度场精确的前提下,对速度场的精度要求很高.在实际中,在偏移成像前很难得到如此精确的速度场,这是制约常规RTM发展的瓶颈之一,而棱柱波逆时偏移在某种程度上减小了RTM对速度场的依赖性.
![]() |
图 5 偏移成像结果对比 (a)原始速度场的常规RTM成像结果,原始速度场中包含一个水平反射层和一个垂直反射层;(b)均匀速度场的常规RTM成像结果,均匀速度场中不包含任何反射层,介质速度为2000 m/s;(c)只含有水平反射层速度场的常规RTM成像结果,背景速度场为2 000 m/s,水平反射层介质速度为2500 m/s;(d)均匀速度场棱柱波RTM成像结果,均匀速度场介质速度为2000 m/s Fig. 5 Contrast of the migration imaging results (a)Conventional RTM result with the original velocity model containing a horizontal reflector and a vertical reflector; (b)Conventional RTM result with the homogeneous velocity model without any reflectors,the medium speed is 2 000 m/s;(c)Conventional RTM result with the velocity model containing only a horizontal reflector,the background velocity field is 2000 m/s,the medium speed of the horizontal reflector is 2500 m/s;(d)Prism RTM result with the homogeneous velocity model without any reflectors,the medium speed is 2000 m/s. |
下面测试常规RTM对速度场精度的依赖程度.用常规RTM对这31炮的炮记录和一个均匀速度场(2000 m/s)进行偏移,成像结果如图 5b所示,可以看到只有水平反射层被成像出来了,垂直反射层只有两个散射点可见.然后,在均匀速度场z=2000 m深度处插入一个介质速度为2500 m/s的水平反射层,用此速度模型和相同的31炮炮记录进行常规RTM,成像结果如图 5c所示,可见此时常规RTM可正确成像棱柱波来显示垂直断层.
最后测试棱柱波逆时偏移的成像效果.对相同的31炮炮记录、相同的均匀速度场和常规RTM成像结果(图 5b)运用棱柱波逆时偏移,结果如图 5d所示,图中可以清晰看到垂直反射层的成像结果.在棱柱波逆时偏移过程中,水平反射层相当于二次震源所在的位置,如在图 5d中所示.棱柱波逆时偏移对速度场的依赖度降低,只需要一个均匀速度场即可正确成像陡倾角和垂直断层,这也是棱柱波逆时偏移的优势所在.
2 逆时偏移对回折波的成像效果分析
均匀介质中的直达波从震源出发后,传播过程中没有遇到界面,直接传播到地面各接收点,其传播路径是直线.而当地震波的速度随着深度线性增加时,地震波的射线路径是圆弧.此时在地面各观测点可接收到一种与均匀介质中的直达波类似的一种波,都是从震源出发没有遇到界面就直接传到地面各观测点的,这种波沿着一条圆弧形的射线传播,先向下到达某一深度,在不接触反射界面的条件下接着向上拐回地面,被检波点接收,一般把这种“直达波”称为回折波(陆基孟,2001).
回折波的传播路径呈圆弧状,不是仅上行传播或仅下行传播,因此,折射可产生回折波现象,如果速度梯度很大,单程波偏移方法无法模拟此现象,也无法模拟倾角较大的波传播问题(张春燕,2011).
逆时偏移使用全程波方程延拓波场而不是近似波动方程,以包含震源位置的震源信号为前提条件,波场时间上正向传播,利用前一时刻的波场预测后一时刻的波场,将每个反射层上的入射波场进行预测,逆时偏移的震源波场正向外推过程是一个标准的正演过程.相反地,依据波动方程在时间上逆向外推波场也是可行的,利用后一时刻的波场预测前一时刻的波场,检波点的接收波场可重构从最大时刻到零时刻的波场.通过以上正推和外推过程得到了地下每个反射点所有时刻的波场,然后在每个反射点上应用成像条件得到该点成像值.因此,逆时偏移没有振幅近似,对波场的传播方向也没有限制,理论上可以成像任何传播路径的地震波(张春燕,2011).
我们以BP模型为例,详细分析逆时偏移成像陡倾角盐体侧翼产生的回折波的效果.
BP模型的中间部分是单程波偏移方法的成像难点,只有地震波高角度传播或是存在回折波才能对盐丘边界尤其是陡倾角侧翼和反转边界处成像.利用逆时偏移对BP模型进行成像,主要成像其盐体部分.互相关成像条件一般被应用在逆时偏移中,而互相关成像条件又可以分为三类,分别为互相关成像条件、震源归一化互相关成像条件和检波归一化互相关成像条件.
图 6a是互相关成像条件得到的BP模型盐体部分原始成像滤波后的结果,图 6b利用的是震源归一化互相关成像条件,图 6c是利用检波归一化互相关成像条件得到的.由三图对比可以看出,BP模型的盐体部分都可正确成像,包括盐体的顶界面、盐体内部构造和盐体的陡倾角侧翼成像效果都很好,也很好地展示了地下地质层位的特征,可见逆时偏移可以正确成像陡倾角构造和回折波.
![]() |
图 6 逆时偏移结果 (a)互相关成像条件;(b)震源归一化互相关成像条件;(c)检波器归一化互相关成像条件. Fig. 6 The RTM results (a)Cross-correlation imaging condition;(b)Source normalization imaging condition;(c)Receiver normalization imaging condition. |
具体分析不同成像条件的成像效果,可以看出互相关成像条件成像噪音较少,但是分辨率不高,深部构造的成像振幅较弱;振幅比互相关成像条件的成像分辨率要高于前者,经过震源归一化后,浅层的成像噪音有了一定的衰减;在检波归一化互相关成像条件的成像结果中,深部构造的同相轴更为清晰连续,且盐体陡倾角侧翼的成像更为清晰,说明深部构造的照明可以经检波归一化来加强,深部的基本构造特征可以在经过拉普拉斯滤波后的成像剖面上清晰看到.
3 讨论与结论
常规逆时偏移也可以成像棱柱波,但是需要非常精确的速度场.若是在偏移成像中提取出水平反射层并将其插入偏移速度模型中,传统逆时偏移可以正确偏移棱柱波成像垂直构造.对简单L模型,在均匀速度场条件下,常规逆时偏移不能成像垂直反射层,只有几个散射点可见,而棱柱波逆时偏移可以准确清晰地成像垂直反射层.可见棱柱波逆时偏移对初始速度场的精度具有较低的依赖性,在描述盐丘侧翼的垂直边界方面,棱柱波逆时偏移可发挥很大的作用.
利用常规逆时偏移对产生回折波的BP模型进行成像并对其成像效果进行了定性分析,得出的结论是逆时偏移可正确成像回折波,对盐体的顶界面、盐体内部构造和盐体的陡倾角侧翼成像清晰,是解决盐丘和盐丘遮挡下构造成像的一个有力的成像技术.但是盐丘构造复杂,速度变化大,逆时偏移对其进行成像时耗时较多且低频噪音严重,今后应进一步提高逆时偏移的运算效率和研究更好的噪音压制技术.
致 谢 感谢SWPI课题组的老师和同学对本文提供的帮助,感谢中国海洋石油总公司技术发展项目(CNOOC-KJ 125 ZDXM 06 LTD NFCJF 2012-01)和国家自然科学基金(41374122,41274124)资助.
| [1] | Baysal E, Kosloff D D, Sherwood J W C. 1983. Reverse time migration[J]. Geophysics, 48(11): 1514-1524. |
| [2] | Baysal E., Kosloff D D, Sherwood J W C. 1984. A two-way nonreflecting wave equation[J]. Geophysics, 49(2): 132-141. |
| [3] | Cavalca M, Lailly P. 2005. Prismatic reflections for the delineation of salt bodies[C]. SEG Technical Program Expanded Abstracts, 2350-2354. |
| [4] | Dai W. 2012. Multisource Least-Squares Migration and Prism Wave Reverse Time Migration[D]. America: The University of Utah. |
| [5] | Hale D, Hill N R, Stefani J. 1992. Imaging salt with turning seismic waves[J]. Geophysics, 57(11): 1453-1462. |
| [6] | Hawkins K. 1994. The challenge presented by North Sea Central Graben salt domes to all DMO algorithms[J]. First Break, 12(6): 327-343. |
| [7] | Jones I F, Goodwin M C, Berranger I D, et al. 2007. Application of anisotropic 3D reverse time migration to complex North Sea imaging[C]. SEG Technical Program Expanded Abstracts, 2140-2144. |
| [8] | Li Y F, Agnihotri Y, Dy T. 2011. Prismatic wave imaging with dual flood RTM[C]. SEG Expanded Abstracts 994: 3290-3294. |
| [9] | Liu F Q, Zhang G Q, Morton S A, et al. 2011. An effective imaging condition for reverse-time migration using wavefield decomposition[J]. Geophysics, 76(1): S29-S39. |
| [10] | Liu W Q, Wang X W, Liu H, et al. 2013. Application of velocity modeling and reverse time migration to subsalt structure[J]. Chinese J. Geophys. (in Chinese), 56(2): 616-625, doi: 10.6038/cjg20130225. |
| [11] | Lu J M. 2001. Principle of Seismic Exploration(volume one) (in Chinese)[M]. Dongying: University of Petroleum Press, 164-172. |
| [12] | Marmalyevskyy N, Roganov Y, Gornyak Z, et al. 2005. Migration of duplex waves[C]. SEG Technical Program Expanded Abstracts, 2025-2029. |
| [13] | Malcolm A E, Ursin B, de Hoop M V. 2009. Seismic imaging and illumination with internal multiples[J]. Geophysical Journal International, 176(3): 847-864. |
| [14] | Malcolm A E, de Hoop M V, Ursin B. 2011. Recursive imaging with multiply scattered waves using partial image regularization: A North Sea case study[J]. Geophysics, 76(2): B33-B42. |
| [15] | McMechan G A. 1983. Migration by extrapolation of time-dependent boundary values[J]. Geophysical Prospecting, 31(3): 413-420. |
| [16] | Whitmore N D. 1983. Iterative depth migration by backward time propagation[C]. SEG Technical Program Expanded Abstracts, 2(1): 382-385. |
| [17] | Zhang C Y. 2011. Reverse-time migration method study with high efficiency under complex conditions (in Chinese)[D]. Qingdao: China University of Petroleum(Eastern China). |
| [18] | 刘文卿, 王西文, 刘洪,等. 2013. 盐下构造速度建模与逆时偏移成像研究及应用[J]. 地球物理学报, 56(2): 616-625, doi: 10.6038/cjg20130225. |
| [19] | 陆基孟. 2001. 地震勘探原理(上)[M]. 东营: 石油大学出版社, 164-172. |
| [20] | 张春燕. 2011. 复杂条件下高效逆时偏移方法研究[D]. 青岛: 中国石油大学(华东). |
2015, Vol. 30







