2. 地下信息探测技术与仪器教育部重点实验室(中国地质大学, 北京), 北京 100083;
3. 中国地质大学(北京), 北京 100083
2. Key Laboratory of Geo-detection (China University of Geosciences, Beijing), Ministry of Education, Beijing 100083, China;
3. China University of Geosciences (Beijing), Beijing 100083, China
板块边界、不同地质体边界和断裂带等构造边界往往具有一定密度差异,造成重力异常变化较大,根据这一特点可利用重力方法研究区域构造特征,其中一个重要途径是重力异常线性构造分析(或称边缘识别或边缘检测).重力异常线性构造分析主要以重力异常导数为基础,利用异常方向导数、垂直导数、总水平梯度、解析信号的极值点、零点或其他特征点来分析线性构造特征.
当前国际上呈现出了一些重力异常线性构造分析新方法,比如:斜导数及其总水平梯度(Miller and Singh,1994;Verduzco et al.,2004)、Theta图(Wijns et al.,2005)、归一化标准偏差(Cooper and Cowan,2008)、归一化总水平梯度垂直导数(Wang et al.,2009;王万银等,2010)、增强总水平梯度(Fedi and Florio,2001;Fedi,2002)、梯级带滤波增强(杨高印,1995;严良俊等,2006)等.垂直导数的零值线一般对应着地质体的构造边界.总水平梯度极大值在划分规模较大的线性构造线时具有明显的优势,但对规模较小的线性构造来说,往往会被规模较大的线性构造淹没.斜导数就像一个自动增益滤波器,使淹没在强异常下的弱异常得到“相对放大”,从而能增强更多的隐伏线性构造信息.归一化总水平梯度垂直导数对不同规模大小的线性构造都能有所增强.增强总水平梯度则可用于多尺度分析线性构造特征.
曲率属性是现今地震资料解释的一种常用方法(Robert,2001; Chopra and Marfurt,2007; Klein et al.,2008),它通过量度地震反射层曲线或曲面的弯曲程度来描述地层构造的几何变化,指示地层构造变化引起的横向起伏和中断,对断层、裂缝等地质构造比较敏感.该方法简单,分辨率高,在地震勘探领域应用较广泛.地下密度的横向不均匀能引起重力异常,产生异常曲线或曲面弯曲,而曲率可描述曲线或曲面的弯曲程度,因此,理论上重力异常曲率可用于分析线性构造特征.近年来国外一些学者开展了曲率属性在重磁领域的应用试验.Rybakov et al.(2003)将地震勘探的多种曲率属性应用于重力领域,以描述断层模式,发现其中的倾向曲率提供了相对最丰富的浅层线性构造特征.Hansen和deRidder(2006)研究基于总水平梯度的主分量曲率分析航磁数据的线性构造特征.Phillips等(2007)提出了基于曲率(最大正曲率和最小负曲率)的位场场源估计方法,用于估计场源的空间位置及走向.Li(2008)分析了地震属性和重磁异常转换的异同点,并阐明仅有最大正曲率、最小负曲率、等值线曲率可适用于重磁领域.Cooper(2009)提出了均衡剖面曲率法,用于增强位场异常线性构造特征.Lee等(2013)介绍了全曲率、剖面曲率和平面曲率,用于描述磁源的空间位置和类型.Cevallos等(2013)将地震勘探的不同曲率属性应用于航空重力梯度数据,分析了平均曲率、微分曲率、高斯曲率和形状指数曲率的特征及它们在地质解释中各自发挥的作用.然而,曲率方法在重磁异常线性构造分析中至今未能广泛应用.
本文首先给出最大正曲率和最小负曲率计算原理,通过理论模型数据试验,分析其表征的线性构造特征及问题.然后综合这两种曲率的各自优点而改进提出新的正负混合曲率,以增强线性构造特征,同样通过理论模型数据试验分析其表征的线性构造特征及效果.最后,利用正负混合曲率法开展了绍兴-萍乡断裂带及邻区布格重力异常数据试验,并与常规最大正曲率、最小负曲率和总水平梯度法作了对比分析.
1 最大正曲率和最小负曲率曲面的曲率可通过基于滑动窗口(比如图 1所示的3×3窗口)的趋势面拟合来计算(Evans,1972; Roberts,2001; Hansen and deRidder,2006).首先,任意网格节点周边的重力异常曲面利用下式的二元二次方程最小二乘拟合(Evans,1972)
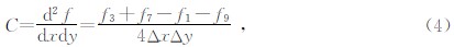
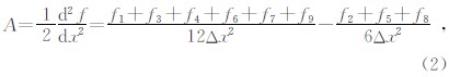
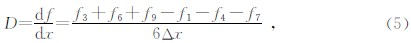
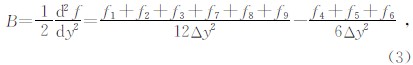
式中,f(x,y)是重力异常数据,A、B、C、D、E和F为系数.
上式中的6个系数可分别用下列公式计算(Roberts, 2001)
式中,f1~f9是图 1中所示曲面网格节点的重力异常值,Δx和Δy分别是x和y方向的网格节点距离.
根据上面的6个系数,Roberts(2001)为地震资料解释定义了11种曲面曲率属性,即极大曲率、极小曲率、高斯曲率、平均曲率、最大正曲率、最小负曲率、形态指数曲率、倾向曲率、走向曲率、等值线曲率、弯曲度等.每种曲率属性都有其特定的计算式,在地质方面都有其不同的构造含义,实际应用中经常综合多种曲率属性特征来作地质解释.
其中,最大正曲率和最小负曲率分别定义为(Roberts,2001)
在地震资料解释中,最大正曲率和最小负曲率的作用都是放大曲面中的线性构造信息和一些小的线性构造,两者通常是结合起来综合解释.
下面以理论模型重力异常数据试验来揭示最大正曲率和最小负曲率表征的重力异常线性构造特征.理论模型由一个铅垂台阶A、一个走向北东、水平无限延伸的铅垂岩脉B、一个大而深的长方体C、一个小而浅的长方体D和一个小而浅的球体E组合而成.图 2a显示了各几何体在水平面上的投影分布.其中,台阶的断面可模拟断裂或不同岩性的接触带,岩脉可模拟侵入岩等,长方体和球体则可模拟局部岩体或矿体等,小长方体D为低密度体,而其余几何形体均为高密度体.图 2b显示了正演得到的理论模型重力异常.然后,
![]() | 图 2(a)理论模型各几何体在水平面位置分布;(b)理论重力异常Fig. 2(a)theoretical model the geometry distribution in horizontal position;(b)The theory of gravity anomaly |
分别按照公式(8)和(9)计算理论重力异常的最大正曲率和最小负曲率,并作归一化处理,结果见图 3a和b所示.
![]() | 图 3(a)和(b)分别显示了理论模型重力异常最大正曲率、最小负曲率.其中,最大正曲率和最小负曲率均作了归一化处理.(绿色虚线-各几何体的真实水平位置和轮廓)Fig. 3(a) and (b)shows the theoretical model of gravity anomaly respectively the most-positive curvature,minimum negative curvature. Among them,the most dazheng and curvature Minimum negative curvature are normalized processing.(the green dotted line-real level location and geometry contour) |
从图 3可见,最大正曲率和最小负曲率在密度横向较均匀部位变化平缓,而在密度横向不均匀部位(各几何体边界附近)变化明显,密度低的方向曲率呈正值,而密度高的方向曲率呈负值,而密度的高、低分界线(各几何体边界,图 3中的绿色虚线)曲率为正负值交接处(最大正曲率分布在0~0.1,最小负曲率分布在-0.1~0),也即接近零值.因此,在一定程度上,这两种曲率的正负值可定性区分岩性的密度低高,而正负值交接处可大致描绘断裂或场源边界或不同岩性接触带等线性构造特征.然而,最大正曲率主体呈正值,即主要区分低密度分布,而最小负曲率主体呈负值,即主要区分高密度分布,单从其中一种曲率难以直观、全面区分岩性的密度低高分布.再者,这两种曲率正负值交接处描绘的线性构造特征与台阶A和岩脉B的真实边界线吻合较好,但与长方体C、长方体D和球体E的真实边界线有一定的偏差,各角点处伴有明显的高正值或高负值干扰现象,使得线性构造特征不明显且发生扭曲.因此,单独依据最大正曲率或最小负曲率都难以直观、全面地区分岩性高低分布和分析线性构造特征,需要综合这两种曲率共同分析推断.
2 正负混合曲率为了促进曲率属性在重力异常线性构造分析发挥出作用,增强线性构造特征,本文综合最大正曲率和最小负曲率的优点,对两者算法作改进,进而提出新的正负混合曲率,具体算法如下:
(1)按照下式去除最大正曲率的负值,以发挥最大正曲率正值揭示低密度分布的功能:
(2)按照下式去除最小负曲率的正值,以发挥最小负曲率负值揭示高密度分布的功能:
(3)对步骤①和②更新后的最大正曲率和最小负曲率加权求和并归一化处理,得到新的曲率,定义为正负混合曲率,如下式,以发挥最大正曲率正值揭示低密度分布和最小负曲率负值揭示高密度分布的功能,并发挥和改善最大正曲率与最小负曲率表征线性构造特征的功能:
式中,wp和wn分别是更新后最大正曲率和最小负曲率的权系数,wp+ws=1,max(abs(kpn))指kpn的绝对值的最大值.wp越大则最大正曲率所占的分量越大,而wn越大则最小负曲率所占的分量越大.
下面再以理论模型重力异常数据试验来揭示正负混合曲率表征的重力异常线性构造特征.同时利用常规总水平梯度法作理论重力异常的线性构造特征分析以对比.图 4和图 5分别显示了理论重力异常的正负混合曲率和总水平梯度,图 6显示了最大正曲率、最小负曲率、正负混合曲率和总水平梯度不同方法在Y=5.2 km剖面的结果.这里公式(12)的加权系数wp和wn均取为0.5.
从图 4和图 6可见,正负混合曲率同样在密度横向较均匀部位变化平缓,而在密度横向不均匀部位(各几何体边界附近)变化明显,密度低的方向(比如小长方体D)曲率为正值,而密度高的方向(比如台阶A、岩脉B、大长方体C和球体E)曲率为负值,密度的高、低分界线处(各几何体边界)曲率为正负值交接处,也即零值或接近零值(图 4中的黑色实线).因此,正负混合曲率的正负值同样可定性区分岩性的密度低高,而正负值交接处同样可描绘断裂或场源边界或不同岩性接触带等线性构造特征.但是,与最大正曲率和最小负曲率不同的是,由于正负混合曲率有机融合最大正曲率和最小负曲率的优点,其正、负值特征鲜明且幅值相当,由正负值交接处描绘的线性构造特征得到明显增强,与各几何体的真实边界线吻合较好,且各几何体角点处的干扰现象明显削弱,因此,正负混合曲率更有利于识别追踪线性构造特征及直观、较全面(多尺度)区分岩石密度低、高分布,效果优于常规的最大正曲率和最小负曲率.
![]() | 图 4 理论模型重力异常正负混合曲率(黑色实线-正负混合曲率零值线;绿色虚线-各几何体的真实水平位置和轮廓)Fig. 4 Theoretical model of gravity anomaly of plus or minus mix curvature(black Mix solid line-plus or minus zero line curvature. The green dotted line-real level location and geometry contour) |
![]() | 图 6(a)Y=5.2 km剖面的不同方法线性构造特征:蓝色-最大正曲率,绿色-最小负曲率,红色-正负混合曲率,黑色-总水平梯度.其中,最大正曲率和最小负曲率均作了归一化处理;(b)各几何体的真实轮廓 Fig. 6(a)y=5.2 km section of different methods for linear structure features:Blue-the most-positive curvature,green-minimum negative curvature,red-Positive and negative mixed curvature,black-total level gradient. Among them,The most-positive curvature and minimum negative curvature are normalized processing;(b)the geometry of the real contour |
从图 5和图 6可见,总水平梯度的高值带描绘了线性构造特征,与各几何体的真实边界线吻合较好,但高值带较宽阔,受大长方体C边界的强线性构造特征干扰影响,小长方体D和球体E边界的线性构造特征较弱而不明显、不完整.正负混合曲率在各几何体边界的线性构造特征均较明显完整.
![]() | 图 5 理论模型重力异常总水平梯度(绿色虚线-各几何体的真实水平位置和轮廓)Fig. 5 Theoretical model of gravity anomaly total level gradient(the green dotted line-real level location and geometry contour) |
绍兴-萍乡深大断裂带横贯浙江省和江西省全境,东起浙江省绍兴市,经金华市、衢州市、江山市、上饶市、鹰潭市、临川市、新余市、宜春市,西至江西省萍乡市,全长约700余公里,是中国南方大陆最重要的构造带之一.以绍兴-萍乡深大断裂带为界,划分了中国东南大陆两大构造单元,以北为扬子地块(江南造山带),以南为华夏地块.该断裂带及邻区地质背景复杂,新元古代以来不同地质时期构造运动和岩浆活动强烈并叠置,发育了一系列不同规模的断裂构造和侵入岩体、火山岩体等(见图 7).其中,低密度的酸性侵入岩和火山岩居多,规模偏大,呈面状分布(尤其在华夏地块),而中等密度的中基性、超基性侵入岩居少,规模较小,在绍兴-萍乡断裂带、德兴-东乡断裂带等处零星分布.发育在大别造山带及赣东南、闽西北的变质岩密度偏高,而其他元古宙、显生宙地层平均密度也偏高.这些丰富的断裂构造和不同密度岩体接触分布为测试重力异常线性构造特征方法创造了天然的有利条件.
![]() | 图 7 绍兴-萍乡断裂带及邻区地质略图(参考任纪舜,2013)Fig. 7 Shaoxing-pingxiang fault zone and its adjacent area geological sketch(reference ji-shun ren,2013) |
绍兴-萍乡断裂带及邻区的布格重力异常数据来源于世界地质图委员会(CGMW)公布的世界重力图网格数据库WGM2012.该数据库含全球自由空气重力异常、完全布格重力异常和均衡重力异常三幅异常图,是由国际重力测量局依据高分辨率的地球重力模型EGM2008和高程模型ETOPO1采用球谐方法计算得到的(Balmino et al.,2012),计算中考虑了实际的地球模型和大多数地表物质质量分布(空气、陆地、海洋、内陆海洋、湖泊、冰盖和冰架),数据网度达到2′×2′.该数据库可用于区域尺度和全球尺度的地质构造与深部结构研究.图 8a显示了研究区的布格重力异常图,
可见布格重力异常含有明显的高频噪音,这一方面是由原始地球重力模型EGM2008携带的高频噪音遗留下来的,另一方面是由布格重力异常计算次生的.显然,高频噪音干扰对后续的重力异常线性构造特征分析产生严重影响,应首先对布格重力异常数据进行去噪处理.为此,本文采用优化滤波法(郭良辉等,2012;Guo et al.,2013)对研究区布格重力异常数据进行了去噪处理,在去噪的同时对异常信号有效保留,结果见图 8b所示.布格重力异常呈现出丰富的区域场和局部场特征,反映了研究区不同地质时期构造和岩浆活动形成的深浅密度横向不均匀分布.其中,侵入岩、火山岩地带重力异常偏低,而变质岩地带和元古宙、显生宙地层地带重力异常偏高,绍兴-萍乡断裂带沿线重力异常偏高.
![]() | 图 8 绍兴-萍乡断裂带及邻区布格重力异常(a)及其优化滤波法去噪结果(b)Fig. 8 Shaoxing-Pingxiang fault zone and its adjacent area of bouguer gravity anomaly(a)(b) and its optimal filtering method of denoising results |
下面分别计算研究区去噪后布格重力异常的最大正曲率、最小负曲率和正负混合曲率,揭示和对比它们各自表征的线性构造特征,结果见图 9所示.其中,公式(12)的加权系数wp和wn均取为0.5;对最大正曲率和最小负曲率结果作了归一化处理.
从图 9a~c可见,这三种曲率均给出了详细的线性构造特征和岩性分布特征,其中,曲率正值应指示岩性密度低,负值则指示岩性密度高,而正负值交接处(即接近零值)应指示密度高低分界线(或带).然而,最大正曲率主要呈现正值,最小负曲率主要呈现负值,而正负混合曲率则有效均衡了曲率的正负值,更有利于直观、较全面(多尺度)区分岩性密度高低分布和分析断裂或场源边界或不同岩性接触带等线性构造特征.
![]() | 图 9 去噪后布格重力异常的最大正曲率(a)、最小负曲率(b)和正负混合曲率(c)特征,及它们叠合在地质略图上(d,e,f)Fig. 9 After denoising of the most-positive curvature of the bouguer gravity anomaly(a),negative curvature minimum curvature(c)(b) and the positive and negative mixed characteristics,and their composite on geological sketch(d,e,f) |
从图 9d的最大正曲率与地质略图的叠合图可见,低密度的酸性侵入岩上多数呈现曲率正值,中高密度的变质岩上呈现微弱的负值,而火山岩及元古宙、显生宙地层等岩类上既有正值也有微弱的负值;岩浆岩体边界、不同岩体接触线多数处于正负交接处或附近,而断裂线只有部分或间断地处于正负值交接处.总体上,由于最大正曲率主要呈现正值,其给出的线性构造特征和岩性分布特征很不明显,不利于岩性分区和线性构造特征分析.从图 9e的最小负曲率与地质略图的叠合图可见,中高密度的变质岩和元古宙、显生宙地层上多数呈现曲率负值,而低密度的酸性侵入岩、火山岩上既有微弱的正值也有负值;断裂线多数处于正负值交接处或附近,绍兴-萍乡断裂带沿线呈现显眼的负值带,而岩浆岩体边界、不同岩体接触线只有少部分处于正负交接处.总体上,由于最小负曲率主要呈现负值,其给出的线性
构造特征和岩性分布特征有利于断裂构造推测,但不利于其他类型线性构造特征分析和岩性分区.从图 9f的正负混合曲率与地质略图的叠合图可见,低密度的酸性侵入岩上大多数呈现曲率正值,中高密度的变质岩上呈现负值,火山岩上多数呈现正值但伴有负值,元古宙、显生宙地层等岩类上既有正值也有负值;岩浆岩体边界、不同岩体接触线多数处于正负交接处或附近,而断裂线多数或间断地处于正负值交接处或附近,绍兴-萍乡断裂带沿线呈现显眼的负值带.总体上,正负混合曲率正、负值特征鲜明且幅值相当,其给出的线性构造特征和岩性分布特征明显增强,有利于直观、较全面(多尺度)的岩性分区和线性构造特征分析,效果明显优于常规的最大正曲率和最小负曲率.
下面再以常规总水平梯度法的线性构造特征作对比分析,结果见图 10所示.从图可见,总水平梯度的高值带给出不同规模的线性构造特征,其中规模大的线性构造特征强度大、较明显,而规模较小的线性构造特征强度较弱,往往被规模大的线性构造特征干涉淹没.与地质略图对比可见,总水平梯度在区域大面积、大规模的断裂、不同岩体接触带上或附近呈现明显的线性构造特征,而在中小面积、中小规模的断裂、不同岩体接触带上没有呈现线性构造特征,或呈现不明显、不完整的线性构造特征.因此,总水平梯度法有利于大尺度线性构造特征分析,但不利于中小尺度线性构造特征分析,其给出的线性构造特征没有正负混合曲率的详细丰富.
![]() | 图 10 去噪后布格重力异常的总水平梯度(a)及其叠合在地质略图上(b)Fig. 10 After denoising bouguer gravity anomaly(a) and the total level of gradient composite on geological sketch(b) |
4.1 首先分析了最大正曲率和最小负曲率表征的重力异常线性构造特征及问题,然后对最大正曲率和最小负曲率作算法改进而给出了新的正负混合曲率,它对最大正曲率和最小负曲率有机融合,以增强重力异常线性构造特征,并揭示岩性分布特征.文中给出了正负混合曲率法的具体算法流程,并利用理论模型重磁数据和实际航磁数据作了试验验证.数据试验结果表明正负混合曲率有效增强线性构造特征和岩性分布特征,有利于直观区分岩性密度高低分布和分析不同尺度线性构造特征,效果优于最大正曲率和最小正曲率.本文方法可促进曲率方法在重力领域的实际应用与推广.
4.2 与行业内其他基于导数的边缘检测方法类似,正负混合曲率法对高频噪音、异常叠加干涉效应较敏感,因此,在该方法的实际应用中,适当的去噪和异常分离是必要的.重力异常的正确解释仍然需要充足的地质认识和多方法结合、稳健的异常特征分析.
致 谢 感谢两位评审专家的宝贵意见与建议.
| [1] | Balmino G, Vales N, Bonvalot S, et al. 2012. Spherical harmonic modelling to ultra-high degree of Bouguer and isostatic anomalies [J]. Journal of Geodesy, 86(7): 499-520. |
| [2] | Cevallos C, Kovac P, Lowe S J. 2013. Application of curvatures to airborne gravity gradient data in oil exploration [J]. Geophysics, 78(4): G81-G88. |
| [3] | Chopra S, Marfurt K. 2007. Curvature attribute applications to 3D surface seismic data [J]. The Leading Edge, 26(4): 404-414. |
| [4] | Cooper G R J, Cowan D R. 2008. Edge enhancement of potential-field data using normalized statistics [J]. Geophysics, 73(3): H1-H4. |
| [5] | Cooper G R J. 2009. Balancing images of potential-field data [J]. Geophysics, 74(3): L17-L20. |
| [6] | Evans I S. 1972. General geomorphometry, derivatives of altitude and descriptive statistics [A].// Chorley R J ed. Spatial Analysis in Geomorphology [M]. London: Methuen, 36. |
| [7] | Fedi M, Florio G. 2001. Detection of potential fields source boundaries by enhanced horizontal derivative method [J]. Geophysical Prospecting, 49(1): 40-58. |
| [8] | Fedi M. 2002. Multiscale derivative analysis: A new tool to enhance detection of gravity source boundaries at various scales[J]. Geophysical Research Letters, 29(2): 16-1-16-4. |
| [9] | Guo L H, Meng X H, Shi L, et al. 2012. Preferential filtering method and its application to Bouguer gravity anomaly of Chinese continent [J]. Chinese J. Geophys. (in Chinese), 55(12): 4078-4088, doi: 10.6038/j.issn.0001-5733.2012.12.020. |
| [10] | Guo L H, Meng X H, Chen Z X, et al. 2013. Preferential filtering for gravity anomaly separation [J]. Computers & Geosciences, 51: 247-254. |
| [11] | Hansen R O, deRidder E. 2006. Linear feature analysis for aeromagnetic data [J]. Geophysics, 71(6): L61-L67. |
| [12] | Klein P, Richard L, James H. 2008. 3D curvature attributes: A new approach for seismic interpretation [J]. First Break, 26: 105-112. |
| [13] | Lee M, Morris W, Leblanc G, et al. 2013. Curvature analysis to differentiate magnetic sources for geologic mapping [J]. Geophysical Prospecting, 61(Suppl. 1): 572-585. |
| [14] | Li X. 2008. Seismic attributes and gravity and magnetic transformations: The same mathematics under different names for different geophysical data sets[C].// 78th Annual Meeting, SEG. Expanded Abstracts, 9-14. |
| [15] | Miller H G, Singh V. 1994. Potential field tilt - A new concept for location of potential field sources [J]. Journal of Applied Geophysics, 32(2-3): 213-217. |
| [16] | Phillips J D, Hansen R O, Blakely R J. 2007. The use of curvature in potential-field interpretation [J]. Exploration Geophysics, 38(2): 111-119. |
| [17] | Ren J S. 2013. International Geological Map of Asia [M]. Beijing: Geological Press. |
| [18] | Roberts A. 2001. Curvature attributes and their application to 3D interpreted horizons [J]. First Break, 19(2): 85-100. |
| [19] | Shu L S. 2012. An analysis of principal features of tectonic evolution in South China Block [J]. Geological Bulletin of China (in Chinese), 31(7): 1035-1052. |
| [20] | Verduzco B, Fairhead J D, Green C M, et al. 2004. New insights into magnetic derivatives for structural mapping [J]. The Leading Edge, 23(2): 116-119. |
| [21] | Wang W Y, Pan Y, Qiu Z Y. 2009. A new edge recognition technology based on the normalized vertical derivative of the total horizontal derivative for potential field data [J]. Applied Geophysics, 6(2): 226-233. |
| [22] | Wang W Y, Qiu Z Y, Yang Y, et al. 2010. Some advances in the edge recognition of the potential field [J]. Progress in Geophysics (in Chinese), 25(1): 196-210, doi: 10.3969/j.issn.1004-2903.2010.01.027. |
| [23] | Wijns C, Perez C, Kowalczyk P. 2005. Theta map: Edge detection in magnetic data [J]. Geophysics, 70(4): L39-L43. |
| [24] | Yan L J, Hu W B, Yao C L. 2006. Filtering enhancement of gravity and magnetic data in the dense ladder-like zone [J]. Progress in Exploration Geophysics (in Chinese), 29(2): 102-103. |
| [25] | Yang G Y. 1995. A new technique for potential-field data processing: Small subdomain filtering [J]. Oil Geophysical Prospecting (in Chinese), 30(2): 240-244. |
| [26] | Zhang G W, Guo A L, Wang Y J, et al. 2013. Tectonics of South China continent and its implications [J]. Science China Earth Sciences, 56(11): 1804-1828. |
| [27] | 郭良辉, 孟小红, 石磊,等. 2012. 优化滤波方法及其在中国大陆布格重力异常数据处理中的应用[J]. 地球物理学报, 55(12): 4078-4088, doi: 10.6038/j.issn.0001-5733.2012.12.020. |
| [28] | 任纪舜. 2013. 国际亚洲地质图[M]. 北京: 地质出版社. |
| [29] | 舒良树. 2012. 华南构造演化的基本特征[J]. 地质通报, 31(7): 1035-1052. |
| [30] | 王万银, 邱之云, 杨永,等. 2010. 位场边缘识别方法研究进展[J]. 地球物理学进展, 25(1): 196-210, doi: 10.3969/j.issn.1004-2903.2010.01.027. |
| [31] | 严良俊, 胡文宝, 姚长利. 2006. 重磁资料面积处理中的滤波增强技术与应用[J]. 勘探地球物理进展, 2006, 29(2): 102-103. |
| [32] | 杨高印. 1995. 位场数据处理的一项新技术——小子域滤波法[J]. 石油地球物理勘探, 30(2): 240-244. |
2015, Vol. 30










