2. 中国石油集团测井有限公司, 西安 710077;
3. 海洋地质国家重点实验室(同济大学), 上海 200092
2. China Petroleum Logging CO. LTD., Xi'an 710077, China;
3. Key State Lab of Marine Geology (Tongji University), Shanghai 200092, China
一直以来测井评价地层油气含量的核心是含油气饱和度计算,阿尔奇公式及诸多改进的饱和度度公式较好的解决了纯砂岩和泥质砂岩饱和度的评价问题(孙建国,2007).但是随着复杂孔隙结构油藏成为勘探开发的主要对象,大量此类储层的岩电物理实验表明存在非阿尔奇现象(孙德明等1994;张明禄等,2005;王克文等,2007;石玉江等2008;李奎周等,2009).研究表明复杂的孔隙结构导致了这种非阿尔奇现象(毛志强等,1997;覃豪等,2011;刘堂晏等,2013;刘忠华等,2013),因此在饱和度模型中引入反映孔隙结构的参数,就成为解决复杂孔隙结构地层饱和度评价的关键.Shang将组成孔隙空间的孔隙和喉道分成并联和串联孔隙,推导出等效岩石组分模型(Equivalent Rock Element Model)(Shang et al., 2003;Shang et al., 2004; Shang et al., 2008).等效岩石组分模型精确地描述了由复杂孔隙结构引起的非阿尔奇特性,对利用测井资料精确计算流体饱和度具有重要意义,但是其没有明确孔隙结构系数、饱和度因子等关键参数的确定方法,实际应用存在困难.针对以上问题,文章重点对岩石组分模型的孔隙结构系数等关键参数确定方法进行研究,形成了一套完整的基于孔隙结构的饱和度评价方法. 1 孔隙结构与岩石导电性关系分析
地层中孔隙空间及孔隙空间中所含流体的成分及分布形态决定了地层的导电特性.阿尔奇公式是最早提出描述地层导电特性与孔隙度、饱和度和流体电阻率关系的模型,奠定了定量评价地层流体饱和度的基础.其评价地层含油饱和度的基础是地层水电阻率一定时,地层的导电性仅与孔隙度大小和含油饱和度有关,公式中胶结指数m隐含了孔隙结构信息,但却没有明确给出其物理意义(贾自力等,2010;沈金松等,2010).
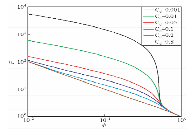
然而,近年大量的岩电实验结果及数值模拟的结果都表明,无论是孔隙型地层还是缝洞型地层,相同孔隙度和含油 饱和度条件下,其孔隙结构都对岩石导电性有明显的影响(赵辉等,2012;宋延杰等,2012;宋延杰等,2014).如果定义Cd为喉道半径(或是裂缝宽度半值)与孔洞半径的比值,那么Cd的大小即反映孔隙结构的复杂程度,Cd越小反映孔隙结构越复杂.我们针对孔隙型地层和缝洞型地层分别用球管模型和球板模型进行地层导电特性模拟(见图 1和图 2),模拟结果说明,即使在孔隙度相同的情况下,孔隙结构的变化(Cd不同),也会引起电阻率的变化,即相同孔隙度条件下,不同的喉孔(缝)半径比,地层具有不同的电阻率;另外,Cd值越小,即孔隙结构越复杂,孔隙度(Ф)与地层因素(F)非线性现象越明显.
![]() | 图 1 孔隙型地层球管模型导电特性模拟结果Fig. 1 Electric conduction modeling result of the sphere-cylinder model in porous formation |
![]() | 图 2 缝洞型地层球板模型导电特性模拟结果Fig. 2 Electric conduction modeling result of the sphere-plate model in fractured porous formation |
孔隙结构对地层导电特性存在影响的事实,表明必须在饱和度模型中引入能准确描述地层孔隙结构特性的参数,从而从根本上改变阿尔奇公式无法描述复杂孔隙结构地层导电特性的现状,使饱和度模型适用于复杂孔隙结构的地层. 2 基于孔隙结构的饱和度模型 2.1 等效岩石组分模型
岩石是由骨架、泥质、储集空间(孔隙、喉道、裂缝等)构成.复杂的沉积成岩和后生改造作用导致了岩石孔隙结构、流体分布形式的复杂性,进而使岩石的电性呈现明显的非均质性.等效岩石组分模型将岩石等效为规则的 圆柱体,由众多的串联孔隙体积Vc、并联孔隙体积Vs、骨架体积构成(图 3),并由许多这样大小不一的孔隙分量并联/串联构成整个岩石的导电体系(葛新民等,2011).为了定量描述各孔隙体积构成,引入孔隙结构系数C0,表示不同孔隙的体积比,即



为孔隙度,小数;Sw为含水饱和度,小数;Cw为部分含水时(或导电相)的孔隙结构系数,无量纲.
![]() |
图 3 等效岩石组分物理二维模型 (棕色部分代表骨架、蓝色部分代表水)Fig. 3 Physical two-dimensional model of equivalent rock element(Brown-matrix,blue-water) |
![]() | 图 4 岩石部分含水时导电二维模型(综色部分代表骨架、红色部分代表非导电流体、蓝色部分代表水)Fig. 4 Electric conduction two-dimensional model of partly water-bearing rock(Brown-matrix,red-nonconductive fluid,blue-water) |
当地层孔隙中的水均匀分布时,各部分孔隙的含水体积与孔隙度、总含水饱和度成正比例关系.由式1可知,令Vc=C0则Vs就等于1,当储层中存在部分非导电流体且水的分布比较均匀时,串联部分的导电体积Vwc就变为C0Sw,并联部分的导电体积Vws就变为Sw.但是由于岩石孔隙尺寸、连通性、流体性质及骨架矿物及岩石颗粒的润湿性等因素的影响,孔隙水的分布通常不均匀,因此有必要引入饱和度刻度因子r(反映含烃量和分布形态对岩石导电特性的影响).设串联孔隙体积含水饱和度为rSw,则有


由式4和5可得

由式4和式6可得

Shang等人对来自世界不同地区、不同储层及不同实验测得的岩电数据进行研究发现,饱和度刻度因子与饱和度之间的存在关系为

式中,e、f分别代表与含烃饱和度和分布有关的系数.
由式1、2、3、7和8共同构成了等效岩石组分饱和度模型(EREM). 2.3 模型特性分析
电阻定律是物理学中的基本定律之一,在具有均匀直线管状导电孔隙的岩石中应用电阻定律,得到的结果相当于m=1,a=1的阿尔奇公式的特例.图 5中为单位体积的岩石,根据电阻定律,可以写出其电阻表达式为

![]() | 图 5 具有均匀直线管状导电孔隙的单位岩石电阻模型Fig. 5 Unit rock resistivity model of uniform straight-line cylinder electric conduction pores |
假设图 5中含有一层平直状态的“油带”,含水饱和度为Sw.这样假设的目的,是岩石含油不改变岩石的导电路径的形态和分布,只是减小了岩石导电的截面积.此时,岩石的电阻率为Rt,岩石导电的截面积为Sw.运用电阻定律,可以得到


将EREM模型中式2与平直孔隙的岩石电阻定律对比(式9),它们都包含(1/)项,即平直孔隙的导电项,前面的参数已经说明,EREM模型式2的第一项,刻画弯曲导电路径对岩石导电能力的影响.因此,可以认为,EREM模型的导电路径由平直导电路径和复杂导电路径叠加而成.需要指出的是,如果岩石中存在孤立孔隙,由于孔隙度不为零,由经典Archie公式并不能得出岩石不能导电的结论.而EREM模型适用于这种情况,对于孤立孔隙,相当于C0=0,可以得出F→∞的结论,即岩石没有导电能力,由此可见基于孔隙结构的等效岩石组分饱和度模型更全面的描述了地层的导电特性.3 基于孔隙结构饱和度评价方法
以上分析表明基于孔隙结构的饱和度模型具有理论上的先进性,但如何确定模型中的孔隙结构系数和分别代表与含烃饱和度和分布有关的系数e、f,成为该模型能否成功应用、能否准确评价地层饱和度的关键. 3.1 基本孔隙结构饱和度模型评价方法路线
通过对比等效岩石组分模型的理论模型(图 3和图 4)和球管模型,可以发现该模型与球管模型对储层孔隙空间的简化分类方法可以相互对应,储层的两类孔隙空间中,可以将模型中的串联导电部分体积等同于管型孔体积,并联导电部分体积等同于球型孔体积.而利用球管模型可计算得到地层球孔体积和管孔体积(刘堂晏等,2004;何雨丹等,2005;周灿灿等,2006),从而确定孔隙结构系数.
上文分析中提到岩石的导电特性与孔隙结构具有密切的关系,在孔隙结构背景一致的前提下,才可以认为岩石的导电性与含油性之间才存在直接的对应关系.为此,应按照孔隙结构背景基本一致的原则,可以分类确定模型中与含烃饱和度和分布有关的系数e、f.实际应用中可首先分析地层孔隙结构,并与已有的类型进行匹配,然后可根据孔隙结构分类结果选取以上系数.
基于以上思路,提出基于孔隙结构评价饱和度的流程如下图 6所示.
![]() | 图 6 基于孔隙结构储层饱和度评价流程Fig. 6 Flow chart of the saturation evaluating method based on pore structure |
在球管模型中,Cd是管形孔半径与球形孔半径的比值,数据点分组划分的依据是球管模型确定的Cd路径.这个路径分组Cd表达了各组内部管形孔半径和球形孔半径之间的比值关系,所以,Cd路径,以及路径的分布方式,刻画了岩石内部孔隙结构的特征.因此,研究中利用储层Cd的路径进行分类.例如,按照Cd路径的划分方法,环江油田地层可以划分为5类(图 7),分组确定各类所对应的EREM参数. 3.3 模型参数确定
从式3和7可以看出,基于孔隙结构的等效岩石组分模型,放弃了胶结指数和饱和度指数为定值概念,转而使用函数关系反映孔隙结构和油气分布对岩石导电特性的影响,具有了明确的物理含义.其核心参数就是C0、e和f等3个系数.以下分别介绍3个参数的计算方法.
首先,确定C0值.C0的确定方法有两种,一种是利用核磁共振资料通过球管模型计算,另一种是由岩电实验数据得到.核磁资料计算方法,是由球管模型对核磁测井资料进行最优路径的寻优和孔隙结构参数的计算,寻优的结果是找出球形孔和管形孔的最佳比例关系,利用此比例关系即可把总的核磁T2谱剥离为球形孔谱和管形孔谱,而球形孔谱和管形孔谱总面积分别为球形孔和管形孔孔隙体积,二者的比值即为C0值.该方法的优点是可逐点计算地层孔隙结构系数C0和孔隙Cd路径.
实际应用中,在没有核磁测井资料时,也可通过岩电实验数据计算得到.利用分类后的岩电实验数据(孔隙度—地层因子)由式2反推计算得到.但是此方法应用的前提是:取同样C0参数的地层具有相同的孔隙结构.因此这种方法适用于相对均质的地层,饱和度处理时只能按层位获取参数值计算.
第二步,将式3除以式2,可得到

然后将式7带入计算式中,得到r的计算公式为

式13中,Sw及Rt/R0(即电阻增大率)来自岩电实验数据,
为实验室测试孔隙度值,根据以上关系可以计算得到岩电实验每个测试点对应的r值.
第三步,根据r及其岩电实验所对应的Sw值,利用阻尼最小二乘法(式14)计算e和f值(表 1为据以上步骤计算的C0、e和f值).

|
|
表 1 EREM模型参数计算表Table 1 EREM model parameters calculation table |
式3中所描述的改进EREM模型,电阻增大系数(I)的方程是一个关于 Sw的一元二次方程,其中的Cw又是Sw的函数,所以,电阻增大系数方程实际上是关于Sw的隐含参数方程,无法得到解析解,因此需要使用迭代方法计算Sw(图 4).
第一步,根据经典Archie公式及参数,计算Sw的初值(S′w).
![]() | 图 7 岩石孔隙结构决定的Cd>路径(环江油田,共48块样品)Fig. 7 Cd paths determined by rock pore structures(Huanjiang oil-field,48 samples) |
第二步,把Cw看成常数,得到Sw的解析表达式

第三步,根据S′w,依次计算Cw、r、e和f,并把这些数据带入到式15,重新计算Sw.
第四步,比较Sw,Sw0之间的误差,误差小于给定范围时,迭代过程结束;否则,重新开始迭代计算.
需要指出的是,式15中计算含水饱和度的公式有正负号两个计算结果.实际的计算数据表明,正号计算的含水饱和度大于100%,没有实际意义.所以,实际应用中饱和度取负号的计算结果. 4 方法效果分析 4.1 实验数据分析
图 8和图 9分别为环江油田的孔隙度(
)—地层因素(F)和含水饱和度(Sw)—电阻增大率(I)数据,对两组数据进行了地层因素和电阻率增大指数拟合.图 8中可以看出,基于孔隙结构的饱和度模型孔隙度—地层因素拟合曲线与实验数据吻合效果较好.图 9的Sw—I数据拟合中,基于孔隙结构的饱和度模型(当λ=0.004时)含水饱和度—电阻增大率拟合曲线与实验室数据的对比吻合较好.理论模拟结果与实验数据对比分析表明,基于孔隙结构的饱和度模型很好的描述了地层岩电特性.
![]() |
图 8 理论模拟与实验F- 关系对比(环江油田数据)Fig. 8 F- relation comparison of theoretical modeling and experiment results(Huanjiang oil-field data) |
需要说明的是,由于等效岩石组分模型中出现了2次项,在拟合确定模型参数的时候,必须使用阻尼最小二乘法(王玉玲等,2012).使用一般意义上的最小二乘法(图 9中对应于λ=0),实验数据拟合得不到合理的结果,图 9中拟合结果为一拱形的曲线(蓝色线),即在特定的饱和度下,电阻率达到极大值,高于此饱和度或低于此饱和度,岩石的电阻率均下降,而此结果与实际规律不符.实际应用中调整阻尼因子,当λ=0.004时,拟合曲线与实验规律基本一致.对低孔、低渗岩心,由于驱替难度大,大部分含水饱和度都集中在0.6~1.0之间,如果不使用阻尼最小二乘法,将得不到合理的参数结果.对中高孔、渗地层,由于存在低含水饱和度岩心数据,阻尼最小二乘法的拟合结果对阻尼系数的敏感程度显著降低.如当阻尼因子分别取0.0和0.001时,它们的拟合结果基本一致.这也提示我们,为了能得到更准确的饱和度模型参数,需要在岩电分析实验中,应该尽可能获取低含水饱和度的实验数据,而低含水饱和度也是油气层的主要特征.
![]() |
图 9 理论模拟与实验数据I-Sw关系对比 (环江油田数据)Fig. 9 I-Sw relation comparison of theoretical modeling and experiment results(Huanjiang oil-field data) |
经典Archie公式在双对数坐标中为直线方程,把直线方程的F作为测量值,把EREM模型计算的F值作为实际值,这样,可以计算经典Archie公式与改进EREM模型之间的相对误差(图 10).计算结果表明:(1)随着C0的降低,两者之间的相对误差急剧增大.即在孔隙结构相对简单时(具有较大的C0值),经典Archie公式的计算结果与EREM模型计算结果差别不大,而当孔隙结构变得复杂时(C0值变小时),经典Archie公式与EREM模型之间的计算结果误差急剧增大;(2)对于小孔隙地层,EREM模型可以显著改善饱和度的计算精度;(3)对于复杂孔隙结构地层,利用基本孔隙结构的饱和度模型,可以提高电测井计算饱和度的精度.
![]() | 图 10 与阿尔奇公式计算误差分析Fig. 10 Calculation error analysis with Archie’s formulation result |
鄂尔多斯盆地环江油田长环江油田长81储层孔隙类型以粒间孔隙为主,其次发育少量的长石溶孔、岩屑溶孔,储层孔隙结构复杂,物性差,渗透率大都小于0.3×10-3 μm2,属于低孔、超低渗储层,岩电实验结果表明存在非阿尔奇特性(杨艳芳等,2011).
采用以上饱和度评价方法对环江油田部分井进行了评价,评价结果表明基于孔隙结构的饱和度模型与阿尔奇公式计算的饱和度相比更为准确地反映了地层的含油性,图 11中油层含油饱和度略高于阿尔奇含油饱和度(图中右起第三道为饱和度结果,其蓝色为基于孔隙结构的饱和度模型含油饱和度,红色为阿尔奇公式饱和度),试油段为2564~2567、2570~2573 m,日产油50.24吨.图 12中根据阿尔奇含油饱和度解释为差油层,而基于孔隙结构的饱和度模型含油饱和度明显低于阿尔奇含油饱和度,指示含水,试油段为2948~2952 m,日产水5.9方,基于孔隙结构的饱和度模型计算得到含油饱和度更符合实际试油结果.
![]() | 图 11 环江油田油层饱和度对比Fig. 11 Saturation calculation results comparison of oil layer in Huanjiang oil-field |
![]() | 图 12 环江油田水层饱和度对比Fig. 12 Saturation calculation results comparison of water layer in Huanjiang oil-field |
| [1] | Ge X M, Fan Y R, Yang D G, et al. 2011. Study on the influential factors of saturation exponent based on the equivalent rock element theory[J]. Oil Geophysical Prospecting (in Chinese), 46(3): 478-481, 488. |
| [2] | He Y D, Mao Z Q, Xiao L Z, et al. 2005. An improved method of using NMR T2 distribution to evaluate pore size distribution[J]. Chinese J. Geophys. (in Chinese), 48(2): 373-378. |
| [3] | Jia Z L, Chen W W, Fang Y J, et al. 2010. Computation of the formation cementation factor m and the saturation exponent n and its application to shaly sand formation with low porosity and low permeability[J]. Well Logging Technology (in Chinese), 34(2): 108-114. |
| [4] | Li K H, Fan Y R, Wang X C, et al. 2009. On water saturation model for complex sand reservoir in Nanpu Sag[J]. Well Logging Technology (in Chinese), 33(3): 322-327. |
| [5] | Liu T Y, Xiao L Z, Fu R S, et al. 2004. Applications and characterization of NMR relation derived from sphere-capillary model[J]. Chinese J. Geophys. (in Chinese), 47(4): 663-671. |
| [6] | Liu T Y, Tang T Z, Du H H, et al. 2013. Study of rock conductive mechanism based on pore structure[J]. Chinese Journal of Geophysics (in Chinese), 56(8): 2818-2826, doi: 10.6038/cjg20130830. |
| [7] | Liu Z H, Wu S Q, Du B H, et al. 2013. Experimental study on the relationship between reservoir permeability and its formation resistivity factor[J]. Chinese Journal of Geophysics (in Chinese), Vol.56 (6): 2088-2097, doi: 10.6038/cjg20130629 |
| [8] | Mao Z Q, Tan T D, Lin C Z, et al. 1997. The laboratory studies on pore structure and electrical properties of core samples fully saturated with brine water[J]. Acta Petrolei Sinica (in Chinese), 18(3): 51-55. |
| [9] | Qin H, Li H J, Yang X F, et al. 2011. A study on the fluid identification method of acidic volcanic reservoirs based on the pore structure[J]. Chinese J. Geophys. (in Chinese), 54(2): 422-427, doi: 10.3969/j.issn.0001-5733.2011.02.019. |
| [10] | Shang B Z, Hamman J G, Caldwell D H. 2003. A Physical Model to Explain the First Archie Relationship and Beyond [C].//SPE Annual Technical Conference and Exhibition. Denver, Colorado: Society of Petroleum Engineers. |
| [11] | Shang B Z, Hamman J G, Caldwell D H. 2004. Water Saturation Estimation Using Equivalent Rock Element Model[C].//SPE Annual Technical Conference and Exhibition. Houston, Texas: Society of Petroleum Engineers. |
| [12] | Shang B Z, Hamman J, Caldwell D. 2008. Improved water saturation estimation using equivalent rock element model and applications to different rock types[C].//70th EAGE Conference & Exhibition. Rome, Italy: SPE. |
| [13] | Shen J S, Liu Z X, Wang S H, et al. 2010. Analysis of the mechanism of the effects of secondary porosities on the cementation factor and saturation index in reservoir formation with vuggs and fractures[J]. Well Logging Technology (in Chinese), 34(1): 9-15. |
| [14] | Shi Y J, Li G R, Zhou J Y. 2008. Study on litho-electric character and saturation model of argillaceous low-permeability sandstone reservoir[J]. Well Logging Technology (in Chinese), 32(3): 203-206. |
| [15] | Song Y J, Wang N, Tang X M. 2012. Application of tortuosity resistivity model in low permeability reservoirs in G area of Daqing oilfield[J]. Progress in Geophysics (in Chinese), 27(5): 2008-2015, doi: 10.6038/j.issn.1004-2903.2012.05.023. |
| [16] | Song Y J, Zhang X, Song Y, et al. 2014. On effective medium conductivity model based on non-efficient electrical pore for tight sandy conglomerate reservoirs[J]. Progress in Geophysics (in Chinese), 29(1): 209-216, doi: 10.6038/pg20140129. |
| [17] | Sun D M, Chu R J. 1994. A theoretical and experimental study for saturation exponent, n[J]. Acta Petrolei Sinica (in Chinese), 15(4): 66-72. |
| [18] | Sun J G. 2007. Archie's formula: historical background and earlier debates[J]. Progress in Geophysics (in Chinese), 22(2): 472-486. |
| [19] | Wang K W, Sun J M, Guan J T, et al. 2007. Percolation network modeling of electrical properties of reservoir rock[J]. Acta Petrolei Sinica (in Chinese), 28(1): 101-106. |
| [20] | Wang Y L, Neng C X, Wang Y W, et al. 2012. Comparison of two inversion methods in soil contamination detection using Resistivity method[J]. Progress in Geophysics (in Chinese), 27(4): 1775-1781, doi: 10.6038/j.issn.1004-2903.2012.04.060. |
| [21] | Yang Y F, Luo J L, Yang J L, et al. 2011. Analysis of the percolation characteristics and their influence factors on the Chang-8 Sandstone Reservoir in Jiyuan Area[J]. Geological Journal of China Universities (in Chinese), 17(2): 231-239. |
| [22] | Zhang M L, Shi Y J. 2005. On Archie's electrical parameters of sandstone reservoir with complicated pore structures[J]. Well Logging Technology (in Chinese), 29(5): 148-150. |
| [23] | Zhao H, Shi X, Sima L Q. 2012. Study on porosity exponent, saturation and fracture porosity for fractured reservoirs[J]. Progress in Geophysics (in Chinese), 27(6): 2639-2645, doi: 10.6038/j.issn.1004-2903.2012.06.043. |
| [24] | Zhou C C, Liu T Y, Ma Z T, et al. 2006. Evaluation of pore structure using sphere-cylinder model[J]. Acta Petrolei Sinica (in Chinese), 27(1): 92-96. |
| [25] | 葛新民, 范宜仁, 杨东根,等. 2011. 基于等效岩石组分理论的饱和度指数影响因素[J]. 石油地球物理勘探, 46(3): 478-481, 488. |
| [26] | 何雨丹, 毛志强, 肖立志,等. 2005. 核磁共振T2分布评价岩石孔径分布的改进方法[J]. 地球物理学报, 48(2): 373-378. |
| [27] | 贾自力, 陈文武, 房育金,等. 2010. 低孔隙度低渗透率泥质砂岩储层中胶结指数m和饱和度指数n的计算和应用[J]. 测井技术, 34(2): 108-114. |
| [28] | 李奎周, 范宜仁, 王晓畅,等. 2009. 南堡凹陷复杂砂岩储层含水饱和度模型的研究[J]. 测井技术, 33(3): 322-327. |
| [29] | 刘堂晏, 肖立志, 傅容珊,等. 2004. 球管孔隙模型的核磁共振(NMR)弛豫特征及应用[J]. 地球物理学报, 47(4): 663-671. |
| [30] | 刘堂晏, 汤天知, 杜环虹,等. 2013. 考虑储层孔隙结构的岩石导电机制研究[J]. 地球物理学报, 56(8): 2818-2826, doi: 10.6038/cjg20130830. |
| [31] | 刘忠华, 吴淑琴, 杜宝会,等. 2013. 储层渗透性与地层因素关系的实验研究与分析[J]. 地球物理学报, 56 (6): 2088-2097, doi: 10.6038/cjg20130629. |
| [32] | 毛志强, 谭廷栋, 林纯增,等. 1997. 完全含水多孔岩石电学性质及其孔隙结构实验研究[J]. 石油学报, 18(3): 51-55. |
| [33] | 覃豪, 李洪娟, 杨学峰,等. 2011. 基于孔隙结构的酸性火山岩储层流体识别方法研究[J]. 地球物理学报, 54(2): 422-427, doi: 10.3969/j.issn.0001-5733.2011.02.019. |
| [34] | 沈金松, 刘子煊, 王素红,等. 2010. 缝洞型储层中次生孔隙类型对胶结指数和饱和度指数影响的机理分析[J]. 测井技术, 34(1): 9-15. |
| [35] | 石玉江, 李高仁, 周金昱. 2008. 泥质型低渗砂岩储层岩电性质研究及饱和度模型的建立[J]. 测井技术, 32(3): 203-206. |
| [36] | 宋延杰, 王楠, 唐晓敏. 2012. 曲折度电阻率模型在大庆G地区低渗储层评价中的应用[J]. 地球物理学进展, 27(5): 2008-2015, doi: 10.6038/j.issn.1004-2903.2012.05.023. |
| [37] | 宋延杰, 张啸, 宋杨,等. 2014. 基于无效导电孔隙概念的致密砂砾岩有效介质导电模型[J]. 地球物理学进展, 29(1): 209-216, doi: 10.6038/pg20140129. |
| [38] | 孙德明, 褚人杰. 1994. 含水饱和度指数n的理论及实验[J]. 石油学报, 15(4): 66-72. |
| [39] | 孙建国. 2007. 阿尔奇(Archie)公式: 提出背景与早期争论[J]. 地球物理学进展, 22(2): 472-486. |
| [40] | 王克文, 孙建孟, 关继腾,等. 2007. 储层岩石电性特征的逾渗网络模型[J]. 石油学报, 28(1): 101-106. |
| [41] | 王玉玲, 能昌信, 王彦文,等. 2012. 电阻率法污染探测中两种反演算法比较[J]. 地球物理学进展, 27(4): 1775-1781, doi: 10.6038/j.issn.1004-2903.2012.04.060. |
| [42] | 杨艳芳, 罗静兰, 杨金龙,等. 2011. 姬塬地区长8砂岩储层渗流曲线特征及其影响因素分析[J]. 高校地质学报, 17(2): 231-239. |
| [43] | 张明禄, 石玉江. 2005. 复杂孔隙结构砂岩储层岩电参数研究[J]. 测井技术, 29(5): 148-150. |
| [44] | 赵辉, 石新, 司马立强. 2012. 裂缝性储层孔隙指数、饱和度及裂缝孔隙度计算研究[J]. 地球物理学进展, 27(6): 2639-2645, doi: 10.6038/j.issn.1004-2903.2012.06.043. |
| [45] | 周灿灿, 刘堂晏, 马在田,等. 2006. 应用球管模型评价岩石孔隙结构[J]. 石油学报, 27(1): 92-96. |
2015, Vol. 30













